Exhibit 4.1 KODIAK GAS SERVICES, LLC and EACH OF THE GUARANTORS PARTY HERETO INDENTURE Dated as of March 20, 2026 U.S. BANK TRUST COMPANY, NATIONAL ASSOCIATION Trustee 5.875% Senior Notes due 2031


 
TABLE OF CONTENTS Page Article I. DEFINITIONS AND INCORPORATION BY REFERENCE; MEASURING COMPLIANCE ............................................................................................................................... 1 Section 1.01 Definitions ............................................................................................................. 1 Section 1.02 Other Definitions ................................................................................................. 31 Section 1.03 Incorporation by Reference of Trust Indenture Act ............................................. 32 Section 1.04 Rules of Construction .......................................................................................... 32 Section 1.05 Limited Condition Transactions; Measuring Compliance ................................... 32 Article II. THE NOTES .............................................................................................................................. 34 Section 2.01 Form and Dating .................................................................................................. 34 Section 2.02 Execution and Authentication .............................................................................. 34 Section 2.03 Registrar and Paying Agent ................................................................................. 34 Section 2.04 Paying Agent to Hold Money in Trust ................................................................. 35 Section 2.05 Holder Lists ......................................................................................................... 35 Section 2.06 Transfer and Exchange ........................................................................................ 35 Section 2.07 Replacement Notes .............................................................................................. 46 Section 2.08 Outstanding Notes................................................................................................ 46 Section 2.09 Treasury Notes ..................................................................................................... 47 Section 2.10 Temporary Notes ................................................................................................. 47 Section 2.11 Cancellation ......................................................................................................... 47 Section 2.12 Defaulted Interest ................................................................................................. 47 Article III. REDEMPTION AND PREPAYMENT ................................................................................... 48 Section 3.01 Notices to Trustee ................................................................................................ 48 Section 3.02 Selection of Notes to Be Redeemed..................................................................... 48 Section 3.03 Notice of Redemption .......................................................................................... 48 Section 3.04 Effect of Notice of Redemption ........................................................................... 50 Section 3.05 Deposit of Redemption Price ............................................................................... 50 Section 3.06 Notes Redeemed in Part ....................................................................................... 50 Section 3.07 Optional Redemption ........................................................................................... 50 Section 3.08 Mandatory Redemption ....................................................................................... 51 Section 3.09 Offer to Purchase by Application of Excess Proceeds ......................................... 51 Article IV. COVENANTS .......................................................................................................................... 53 Section 4.01 Payment of Notes ................................................................................................. 53 Section 4.02 Maintenance of Office or Agency........................................................................ 53 Section 4.03 Reports ................................................................................................................. 54 Section 4.04 Compliance Certificate ........................................................................................ 55 Section 4.05 Taxes .................................................................................................................... 56 Section 4.06 Stay, Extension and Usury Laws ......................................................................... 56 Section 4.07 Restricted Payments ............................................................................................. 56 Section 4.08 Dividend and Other Payment Restrictions Affecting Restricted Subsidiaries .......................................................................................................... 60


 
Page ii Section 4.09 Incurrence of Indebtedness and Issuance of Preferred Stock .............................. 62 Section 4.10 Asset Sales ........................................................................................................... 66 Section 4.11 Transactions with Affiliates ................................................................................. 68 Section 4.12 Liens .................................................................................................................... 70 Section 4.13 [Reserved] ............................................................................................................ 70 Section 4.14 Parent Existence ................................................................................................... 70 Section 4.15 Offer to Repurchase Upon Change of Control .................................................... 70 Section 4.16 [Reserved] ............................................................................................................ 73 Section 4.17 Additional Note Guarantees ................................................................................. 73 Section 4.18 Designation of Restricted and Unrestricted Subsidiaries ..................................... 73 Section 4.19 Covenant Termination ......................................................................................... 73 Article V. SUCCESSORS .......................................................................................................................... 74 Section 5.01 Merger, Consolidation or Sale of Assets ............................................................. 74 Section 5.02 Successor Corporation Substituted ...................................................................... 76 Article VI. DEFAULTS AND REMEDIES ............................................................................................... 76 Section 6.01 Events of Default ................................................................................................. 76 Section 6.02 Acceleration ......................................................................................................... 79 Section 6.03 Other Remedies.................................................................................................... 80 Section 6.04 Waiver of Past Defaults ....................................................................................... 80 Section 6.05 Control by Majority ............................................................................................. 80 Section 6.06 Limitation on Suits............................................................................................... 80 Section 6.07 Rights of Holders of Notes to Receive Payment ................................................. 81 Section 6.08 Collection Suit by Trustee ................................................................................... 81 Section 6.09 Trustee May File Proofs of Claim ....................................................................... 81 Section 6.10 Priorities ............................................................................................................... 82 Section 6.11 Undertaking for Costs .......................................................................................... 82 Article VII. TRUSTEE ............................................................................................................................... 82 Section 7.01 Duties of Trustee .................................................................................................. 82 Section 7.02 Rights of Trustee .................................................................................................. 83 Section 7.03 Individual Rights of Trustee ................................................................................ 84 Section 7.04 Trustee’s Disclaimer ............................................................................................ 84 Section 7.05 Notice of Defaults ................................................................................................ 85 Section 7.06 [Reserved] ............................................................................................................ 85 Section 7.07 Compensation and Indemnity .............................................................................. 85 Section 7.08 Replacement of Trustee ....................................................................................... 86 Section 7.09 Successor Trustee by Merger, etc. ....................................................................... 86 Section 7.10 Eligibility; Disqualification ................................................................................. 87 Section 7.11 Preferential Collection of Claims Against Issuer ................................................. 87 Article VIII. LEGAL DEFEASANCE AND COVENANT DEFEASANCE ............................................ 87 Section 8.01 Option to Effect Legal Defeasance or Covenant Defeasance .............................. 87 Section 8.02 Legal Defeasance and Discharge ......................................................................... 87 Section 8.03 Covenant Defeasance ........................................................................................... 88 Section 8.04 Conditions to Legal or Covenant Defeasance ...................................................... 88


 
Page iii Section 8.05 Deposited Money and Government Securities to be Held in Trust; Other Miscellaneous Provisions .................................................................................... 89 Section 8.06 Repayment to Issuer............................................................................................. 90 Section 8.07 Reinstatement....................................................................................................... 90 Article IX. AMENDMENT, SUPPLEMENT AND WAIVER .................................................................. 90 Section 9.01 Without Consent of Holders of Notes .................................................................. 90 Section 9.02 With Consent of Holders of Notes ....................................................................... 91 Section 9.03 [Reserved] ............................................................................................................ 93 Section 9.04 Revocation and Effect of Consents ...................................................................... 93 Section 9.05 Notation on or Exchange of Notes ....................................................................... 93 Section 9.06 Trustee to Sign Amendments, etc. ....................................................................... 93 Article X. NOTE GUARANTEES ............................................................................................................. 93 Section 10.01 Guarantee ............................................................................................................. 93 Section 10.02 Limitation on Guarantor Liability ........................................................................ 94 Section 10.03 Execution and Delivery of Note Guarantee ......................................................... 95 Section 10.04 Guarantors May Consolidate, etc., on Certain Terms .......................................... 95 Section 10.05 Releases ............................................................................................................... 96 Article XI. SATISFACTION AND DISCHARGE .................................................................................... 97 Section 11.01 Satisfaction and Discharge ................................................................................... 97 Section 11.02 Application of Trust Money; Miscellaneous ....................................................... 98 Article XII. MISCELLANEOUS ................................................................................................................ 98 Section 12.01 [Reserved] ............................................................................................................ 98 Section 12.02 Notices ................................................................................................................. 99 Section 12.03 [Reserved] .......................................................................................................... 100 Section 12.04 Certificate and Opinion as to Conditions Precedent .......................................... 100 Section 12.05 Statements Required in Certificate or Opinion .................................................. 100 Section 12.06 Rules by Trustee and Agents ............................................................................. 100 Section 12.07 No Personal Liability of Directors, Officers, Employees and Unitholders........ 100 Section 12.08 Governing Law; Waiver of Jury Trial ............................................................... 100 Section 12.09 No Adverse Interpretation of Other Agreements ............................................... 101 Section 12.10 Successors .......................................................................................................... 101 Section 12.11 Severability ........................................................................................................ 101 Section 12.12 Counterpart Originals ........................................................................................ 101 Section 12.13 Table of Contents, Headings, etc. ...................................................................... 102 Section 12.14 Payment Date Other Than a Business Day ........................................................ 102 Section 12.15 Evidence of Action by Holders .......................................................................... 102 Section 12.16 Force Majeure .................................................................................................... 102 Section 12.17 U.S.A. PATRIOT Act ........................................................................................ 102 EXHIBITS Exhibit A FORM OF NOTE


 
Page iv Exhibit B FORM OF CERTIFICATE OF TRANSFER Exhibit C FORM OF CERTIFICATE OF EXCHANGE Exhibit D FORM OF CERTIFICATE OF ACQUIRING INSTITUTIONAL ACCREDITED INVESTOR Exhibit E FORM OF NOTATION OF GUARANTEE Exhibit F FORM OF SUPPLEMENTAL INDENTURE


 
1 THIS INDENTURE dated as of March 20, 2026 is among Kodiak Gas Services, LLC, a Delaware limited liability company (the “Issuer”), Kodiak Gas Services, Inc., a Delaware corporation (“Parent”), the other Guarantors (as defined) and U.S. Bank Trust Company, National Association, as Trustee. The Issuer, the Parent, the other Guarantors and the Trustee agree as follows for the benefit of each other and for the equal and ratable benefit of the Holders (as defined) of the 5.875% Senior Notes due 2031 (the “Notes”): ARTICLE I. DEFINITIONS AND INCORPORATION BY REFERENCE; MEASURING COMPLIANCE Section 1.01 Definitions. “144A Global Note” means a Global Note substantially in the form of Exhibit A hereto, bearing the Global Note Legend and the Private Placement Legend and deposited with or on behalf of, and registered in the name of, the Depositary or its nominee that will be issued in a denomination equal to the outstanding principal amount of the Notes sold in reliance on Rule 144A. “2029 Notes” means the 7.250% Senior Notes due 2029 initially issued by the Issuer on February 2, 2024. “2033 Notes” means the 6.500% Senior Notes due 2033 initially issued by the Issuer on September 5, 2025. “2035 Notes” means the 6.750% Senior Notes due 2035 initially issued by the Issuer on September 5, 2025. “Acquired Debt” means, with respect to any specified Person: (1) Indebtedness or Disqualified Stock of any other Person existing at the time such other Person was merged with or into or became a Subsidiary of such specified Person, whether or not such Indebtedness is incurred or Disqualified Stock is issued in connection with, or in contemplation of, such other Person merging with or into, or becoming a Subsidiary of, such specified Person; and (2) Indebtedness secured by a Lien encumbering any asset acquired by such specified Person. “Additional Notes” means additional Notes (other than the Initial Notes) issued under this Indenture in accordance with Sections 2.02 and 4.09 hereof, as part of the same series as the Initial Notes. “Affiliate” of any specified Person means any other Person directly or indirectly controlling or controlled by or under direct or indirect common control with such specified Person. For purposes of this definition, “control,” as used with respect to any Person, means the possession, directly or indirectly, of the power to direct or cause the direction of the management or policies of such Person, whether through the ownership of voting securities, by agreement or otherwise. For purposes of this definition, the terms “controlling,” “controlled by” and “under common control with” have correlative meanings. “Agent” means any Registrar or Paying Agent.


 
2 “Applicable Procedures” means, with respect to any transfer or exchange of or for beneficial interests in any Global Note, the rules and procedures of the Depositary, Euroclear and Clearstream that apply to such transfer or exchange. “Asset Sale” means: (1) the sale, lease, conveyance or other disposition of any properties or assets (including by way of a sale and leaseback transaction); provided, however, that the disposition of all or substantially all of the properties or assets of the Parent and its Restricted Subsidiaries taken as a whole will be governed by Section 4.15 and/or by Section 5.01 and not by the provisions of Section 4.10; and (2) the issuance of Equity Interests in any of the Parent’s Restricted Subsidiaries or the sale of Equity Interests by the Parent or any of its Restricted Subsidiaries in any of its Subsidiaries. Notwithstanding the preceding, the following items will not be deemed to be Asset Sales: (1) any single transaction or series of related transactions that involves properties or assets having a Fair Market Value of less than $50.0 million; (2) a transfer of properties or assets between or among any of the Parent and its Restricted Subsidiaries; (3) an issuance or sale of Equity Interests by a Restricted Subsidiary of the Parent to the Parent or to another Restricted Subsidiary; (4) the sale, lease or other disposition of products, services, equipment, inventory or accounts receivable in the ordinary course of business or consistent with industry practice and any sale or other disposition of damaged, worn-out, uneconomic, obsolete, non-core or surplus properties, equipment or assets in the ordinary course of business or consistent with industry practice; (5) the sale or other disposition of cash or Cash Equivalents, Hedging Contracts or other financial instruments in the ordinary course of business or consistent with past practice; (6) a Restricted Payment that is permitted by Section 4.07 or a Permitted Investment; (7) the creation or perfection of a Lien that is not prohibited by Section 4.12; (8) dispositions in connection with Permitted Liens; (9) surrender or waiver of contract rights or the settlement, release or surrender of contract, tort or other claims of any kind; (10) the grant in the ordinary course of business of any non-exclusive license of patents, trademarks, registrations therefor and other similar intellectual property; (11) any expropriation, taking, sale or other disposition of assets (including any receipt of proceeds related thereto) by any foreign government or any of its political subdivisions, agencies or controlled entities;


 
3 (12) foreclosure, condemnation, expropriation, forced disposition or any similar action with respect to any property or other assets or the granting of Liens not prohibited by this Indenture; and (13) an Asset Swap. “Asset Swap” means any substantially contemporaneous (and in any event occurring within 180 days of each other) purchase and sale or exchange of any assets or properties used or useful in a Permitted Business between the Parent or any of its Restricted Subsidiaries and another Person; provided that any cash received must be applied in accordance with Section 4.10 as if the Asset Swap were an Asset Sale. “Attributable Debt” in respect of a sale and leaseback transaction means, at the time of determination, the present value of the obligation of the lessee for net rental payments during the remaining term of the lease included in such sale and leaseback transaction including any period for which such lease has been extended or may, at the option of the lessor, be extended. Such present value shall be calculated using a discount rate equal to the rate of interest implicit in such transaction, determined in accordance with GAAP. As used in the preceding sentence, the “net rental payments” under any lease for any such period shall mean the sum of rental and other payments required to be paid with respect to such period by the lessee thereunder, excluding any amounts required to be paid by such lessee on account of maintenance and repairs, insurance, taxes, assessments, water rates or similar charges. In the case of any lease that is terminable by the lessee upon payment of penalty, such net rental payment shall also include the amount of such penalty, but no rent shall be considered as required to be paid under such lease subsequent to the first date upon which it may be so terminated. “Bankruptcy Law” means Title 11, U.S. Code or any similar federal or state law for the relief of debtors. “Beneficial Owner” has the meaning assigned to such term in Rule 13d-3 and Rule 13d-5 under the Exchange Act, except that in calculating the beneficial ownership of any particular “person” (as that term is used in Section 13(d)(3) of the Exchange Act), such “person” will be deemed to have beneficial ownership of all securities that such “person” has the right to acquire by conversion or exercise of other securities, whether such right is currently exercisable or is exercisable only upon the occurrence of a subsequent condition. The terms “Beneficially Owns,” “Beneficially Owned” and “Beneficial Ownership” have correlative meanings. “Board of Directors” means: (1) with respect to a corporation, the board of directors of the corporation or any committee thereof duly authorized to act on behalf of such board; (2) with respect to a partnership, the board of directors, board of managers or other governing body of the general partner of the partnership, or any committee thereof duly authorized to act on behalf of such board; (3) with respect to a limited liability company, the board of directors or board of managers, the managing member or members or any controlling committee of managing members or other governing body; and (4) with respect to any other Person, the board or committee of such Person serving a similar function.


 
4 “Board Resolution” means a copy of a resolution certified by the Secretary or an Assistant Secretary of the applicable Person to have been duly adopted by the Board of Directors of such Person and to be in full force and effect on the date of such certification, and delivered to the Trustee. “Business Day” means each day that is not a Saturday, Sunday or other day on which banking institutions in New York, New York or another place of payment are authorized or required by law to close. “Burro Merger Agreement” means the Agreement and Plan of Merger, dated as of December 19, 2023 by and among Parent, Issuer, Kick Stock Merger Sub LLC, Delaware limited liability company and an indirect wholly-owned Subsidiary of Kodiak Gas Services, Inc., Kick LP Merger Sub LLC, Delaware limited liability company and an indirect wholly-owned Subsidiary of Kodiak Gas Services, Inc., Kick GP Merger Sub LLC, a Delaware limited liability company and an indirect wholly-owned Subsidiary of Kodiak Gas Services, Inc., CSI Compressco LP, a Delaware limited partnership, and CSI Compressco GP LLC, a Delaware limited liability company and general partner of CSI Compressco LP. “Capital Lease Obligation” means, at the time any determination is to be made, the amount of the liability in respect of a finance lease that would at that time be required to be capitalized on a balance sheet prepared in accordance with GAAP, and the Stated Maturity thereof shall be the date of the last payment of rent or any other amount due under such lease prior to the first date upon which such lease may be prepaid by the lessee without payment of a penalty; provided that all obligations of the Parent and its Restricted Subsidiaries that are or would be characterized as an operating lease as determined in accordance with GAAP as in effect on the Issue Date (whether or not such operating lease was in effect on such date) shall continue to be accounted for as an operating lease (and not as a Capital Lease Obligation) for purposes of this Indenture regardless of any change in GAAP following the Issue Date (that would otherwise require such obligation to be recharacterized as a Capital Lease Obligation). “Capital Stock” means: (1) in the case of a corporation, corporate stock; (2) in the case of an association or business entity, any and all shares, interests, participations, rights or other equivalents (however designated) of corporate stock; (3) in the case of a partnership or limited liability company, partnership interests (whether general or limited) or membership interests; and (4) any other interest or participation that confers on a Person the right to receive a share of the profits and losses of, or distributions of assets of, the issuing Person; but excluding from all of the foregoing any debt securities convertible into Capital Stock, whether or not such debt securities include any right of participation with Capital Stock. “Cash Equivalents” means: (1) securities issued or directly and fully guaranteed or insured by (i) the United States government or any agency or instrumentality of the United States government (provided that the full faith and credit of the United States is pledged in support of those securities) or (ii) any foreign country whose sovereign debt has a rating of at least “A3” from Moody’s and at least “A-” from S&P or Fitch or any agency or instrumentality of such foreign country (provided


 
5 that the full faith and credit of such foreign country is pledged in support of those securities), in each case having maturities of not more than 12 months from the date of acquisition; (2) marketable general obligations issued by any state of the United States of America or any political subdivision of any such state or any public instrumentality thereof maturing within one year from the date of acquisition thereof and, at the time of acquisition thereof, having a credit rating of “A” or better from either S&P, Fitch or Moody’s; (3) certificates of deposit, demand deposits and Eurodollar time deposits with maturities of one year or less from the date of acquisition, bankers’ acceptances with maturities not exceeding six months and overnight bank deposits routinely offered by commercial banks, in each case, with any domestic commercial bank that (a) has capital and surplus in excess of $250.0 million (or the equivalent thereof in any other currency or currency units) and (b) has either (i) a Thomson Bank Watch Rating of “B” or better or (ii) issues long-term debt securities with a rating of at least “A−” (or then equivalent grade, in each case with a stable outlook) by S&P or Fitch and at least “A3” (or then equivalent grade, in each case with a stable outlook) by Moody’s; (4) repurchase obligations with a term of not more than seven days for underlying securities of the types described in clauses (1), (2) and (3) of this definition entered into with any financial institution meeting the qualifications specified in clause (3) of this definition; (5) commercial paper having one of the two highest ratings obtainable from Moody’s, S&P or Fitch, or carrying an equivalent rating by any other Rating Agency, if Moody’s, S&P or Fitch cease publishing ratings, and in each case maturing within 270 days after the date of acquisition; (6) deposits available for withdrawal on demand with any commercial bank not meeting the qualifications specified in clause (3) of this definition; and (7) money market funds at least 95% of the assets of which constitute Cash Equivalents of the kinds described in clauses (1) through (5) of this definition. “Change of Control” means the occurrence of any of the following: (1) the direct or indirect sale, lease, transfer, conveyance or other disposition (other than by way of merger or consolidation), in one or a series of related transactions, of all or substantially all of the properties or assets (including Capital Stock of the Restricted Subsidiaries) of the Parent or the Issuer and their Restricted Subsidiaries taken as a whole, to any “person” (as that term is used in Section 13(d)(3) of the Exchange Act) other than one or more Permitted Holders; and (2) the consummation of any transaction (including, without limitation, any merger or consolidation) the result of which is that any “person” (as that term is used in Section 13(d)(3) of the Exchange Act), other than one or more Permitted Holders, becomes the Beneficial Owner, directly or indirectly, of more than 50% of the Voting Stock of the Parent or the Issuer, measured by voting power rather than number of shares, units or the like, unless the Permitted Holders have, at such time, the right or the ability by proxy, voting power, contract or otherwise to directly or indirectly elect, designate, nominate or appoint Persons holding a majority of votes of the Board of Directors of the Parent. Notwithstanding the preceding or any provision of Section 13d-3 of the Exchange Act:


 
6 (a) a Person shall not be deemed to have Beneficial Ownership of Voting Stock (i) pursuant to a stock purchase agreement, merger agreement or similar agreement until the consummation of the transactions contemplated by such agreement, (ii) as a result of the right to acquire Voting Stock (so long as such Person does not have the right to direct the voting of the Voting Stock subject to such right) or any veto power in connection with the acquisition or disposition of Voting Stock or (iii) as a result of any veto or approval rights in any joint venture agreement, shareholder agreement or other similar agreement; (b) (i) a conversion of the Parent, the Issuer or any other Restricted Subsidiary from a limited partnership, corporation, limited liability company or other form of entity to a limited liability company, corporation, limited partnership or other form of entity or (ii) an exchange of all of the outstanding Equity Interests in one form of entity for Equity Interests in another form of entity shall not constitute a Change of Control, so long as immediately following such conversion or exchange the “persons” (as that term is used in Section 13(d)(3) of the Exchange Act) who Beneficially Owned the Capital Stock of the Issuer immediately prior to such transactions continue to Beneficially Own in the aggregate more than 50% of the Voting Stock of such new entity; and (c) with respect to any Parent Entity, no person shall be deemed to be or become a Beneficial Owner of more than 50% of the total voting power of the Voting Stock of the Parent or the Issuer unless such person shall be or become a Beneficial Owner of more than 50% of the total voting power of the Voting Stock of such Parent Entity. “Change of Control Triggering Event” means the occurrence of both a Change of Control and Rating Decline. Notwithstanding the foregoing, for the avoidance of doubt, no Change of Control Triggering Event will be deemed to have occurred in connection with any particular Change of Control unless and until such Change of Control has actually been consummated. “Clearstream” means Clearstream Banking, S.A. “Code” means the Internal Revenue Code of 1986, as amended from time to time, and any successor statute. “Commission” or “SEC” means the Securities and Exchange Commission. “Compressor Components” means each of the major serial numbered components of a Compressor Package, including an engine, compressor, compressor cylinders, natural gas and engine jacket cooler, control devices and ancillary piping mounted on a metal skid. “Compressor Packages” means natural gas compression equipment generally consisting of an engineered package of Compressor Components. “Compressor Units” means inventory of the Parent or any of its Restricted Subsidiaries consisting of completed Compressor Packages. “Consolidated Cash Flow” means, with respect to any specified Person for any period, the Consolidated Net Income of such Person for such period plus (a) without duplication and to the extent deducted in determining Consolidated Net Income for such period, the sum of (i) interest expense for such period, (ii) income tax expense for such period, tax expense associated with taxes deemed the equivalent to income taxes pursuant to GAAP (e.g. Texas gross receipts tax) for such period and sales tax expense for such period, in each case net of any tax refunds, (iii) all amounts attributable to depreciation and amortization expense for such period, (iv) any extraordinary, non-recurring or unusual non-cash charges or losses (including any non-cash extraordinary, non-recurring or unusual losses resulting from


 
7 any property, business unit, line of business or asset that is sold, transferred, closed or otherwise disposed of or classified as discontinued operations by such specified Person or any of its Restricted Subsidiaries) for such period, (v) any other non-cash charges for such period, including, for the avoidance of doubt, any non-cash charge that relates to the write-down or write-off of inventory, including, without limitation, Compressor Components or Compressor Units (but excluding any non-cash charge in respect of an item that was included in Consolidated Net Income in a prior period), (vi) any reasonable and documented out-of-pocket fees, costs and expenses incurred in connection with (A) the negotiation and documentation of the loan documents related to the Third Amendment to the Credit Agreement (entered into on January 22, 2024), (B) the consummation of the Transactions, (C) the negotiation and documentation related to the Third Amendment to the Credit Agreement, the Burro Merger Agreement and the issuance of the 2029 Notes and (D) the negotiation and documentation related to the Fourth Amendment to the Credit Agreement, the 2033 Notes, the 2035 Notes and the Notes, (vii) any reasonable and documented out-of-pocket fees, costs and expenses incurred in connection with any of the following transactions (including any such transaction undertaken but not completed): (A) any incurrence, repayment, refinancing, amendment or modification of Indebtedness (including any amortization or write-off of debt issuance or deferred financing costs, premiums and prepayment penalties), (B) any permitted acquisition or other investment or purchase (in one transaction or a series of transactions) of any other interest in any other Person or any assets of any other Person (whether through purchase of assets, merger or otherwise), (C) any disposition of assets outside the ordinary course of business, (D) any issuance or repurchase of Equity Interests or (E) any other transaction outside the ordinary course of business, in each case permitted hereunder, in an amount, when combined with fees, costs and expenses added back pursuant to clause (a)(viii) below, not to exceed $40,000,000 in the aggregate during any consecutive twelve-month period, (viii) fees, costs and expenses incurred or paid in connection with operating improvements, restructurings, cost savings initiatives and/or any similar transactions or initiatives in an amount, when combined with fees, costs and expenses added back pursuant to clause (a)(vii) above, not to exceed $40,000,000 in the aggregate during any consecutive twelve-month period, (ix) equity-based compensation in connection with a long term incentive plan to certain executives and other key employees of such specified Person or any of its Restricted Subsidiaries, and (x) the amount of “run rate” cost savings, operating expense reductions and synergies resulting from acquisitions with total consideration (including the maximum potential total amount of all deferred payment obligations (including earn-outs) and Indebtedness assumed or incurred in connection therewith) exceeding $45,000,000, in each case projected by such Person in good faith to be realized, as a result of actions taken or initiated or expected to be taken, within 18 months of the end of such period (calculated on a pro forma basis as though such “run rate” cost savings, operating expense reductions and synergies had been realized on the first day of such period), net of the amount of actual benefits realized during such period from such actions; provided that (1) such “run rate” cost-savings, operating expense reductions and synergies are reasonably identifiable and factually supportable by a quality of earnings report prepared by a nationally recognized accounting firm or other third party advisor acceptable to the administrative agent, (2) no “run rate” cost-savings, operating expense reductions or synergies may be included pursuant to this clause (a)(x) to the extent duplicative of any expenses or charges relating thereto that are either excluded in computing Consolidated Net Income or included (i.e., added back) in computing Consolidated Net Income for such period, (3) such adjustments may be incremental to (but not duplicative of) pro forma adjustments and (4) the aggregate amount of “run rate” cost savings, operating expense reductions and synergies pursuant to this clause (a)(x) shall not exceed 10% of Consolidated Net Income for such period (without giving effect to any adjustments pursuant to this clause (a)(x)), minus (b) without duplication and to the extent included in determining Consolidated Net Income for such period, (i) any cash payments made during such period in respect of non-cash charges described in clause (a)(v) taken in a prior period and (ii) any extraordinary non-cash gains (excluding gains on asset sales in the ordinary course of business) and any non-cash items of income for such period, all calculated for such specified Person and its Restricted Subsidiaries on a consolidated basis in accordance with GAAP.


 
8 “Consolidated Leverage Ratio” means, as of any date of determination, the ratio of (1) Indebtedness of the type specified in clauses (1), (2), (3), (5) and (6) of the definition thereof of the Parent, the Issuer and each of the Restricted Subsidiaries of the Parent as of such date of determination minus the lesser of (a) the aggregate amount of unrestricted cash and Cash Equivalents on the consolidated balance sheet of Parent and (b) $50.0 million to (2) the Consolidated Cash Flow of the Parent and its Restricted Subsidiaries for the most recent four consecutive fiscal quarters ending prior to the date of determination for which quarterly financial statements in respect thereof are available. For purposes of this definition, Indebtedness and Consolidated Cash Flow shall be determined on a pro forma basis to the same extent as set forth in the definition of “Fixed Charge Coverage Ratio.” “Consolidated Net Income” means, with respect to any specified Person for any period, the net income (or loss) of such Person and its Restricted Subsidiaries for such period, determined on a consolidated basis in accordance with GAAP; provided that there shall be excluded (a) except as otherwise permitted for pro forma adjustments made in connection with any acquisition, the income (or deficit) of any Person accrued prior to the date it becomes a Restricted Subsidiary or is merged into or consolidated with such specified Person or any of its Restricted Subsidiaries, (b) the income (or deficit) of any Person (other than a Restricted Subsidiary) in which such specified Person or any of its Restricted Subsidiaries has an ownership interest, except to the extent that any such income is actually received by such specified Person or a Restricted Subsidiary in the form of dividends or similar distributions, (c) the undistributed earnings of any Restricted Subsidiary to the extent that the declaration or payment of dividends or similar distributions by such Restricted Subsidiary is not at the time permitted by the terms of any contractual obligation (other than under any loan document relating to the Credit Agreement) or requirement of law applicable to such Restricted Subsidiary and (d) any Public Company Costs. “Consolidated Net Tangible Assets” means, with respect to any Person at any date of determination, the aggregate amount of total assets (less applicable reserves reflected in such balance sheet) included in such Person’s most recent quarterly or annual consolidated balance sheet prepared in accordance with GAAP, less applicable reserves reflected in such balance sheet, after deducting (a) all current liabilities of Indebtedness incurred under Credit Facilities and reflected in such balance sheet and (b) all goodwill, trademarks, patents, unamortized debt discounts and expenses and other like intangibles reflected in such balance sheet. For purposes of this definition, Consolidated Net Tangible Assets shall be determined on a pro forma basis in a manner consistent with the adjustments set forth in the definition of “Fixed Charge Coverage Ratio.” “Contingent Obligations” means, with respect to any Person, any obligation of such Person guaranteeing any leases, dividends or other obligations that do not constitute Indebtedness (“primary obligations”) of any other Person (the “primary obligor”) in any manner, whether directly or indirectly, including, without limitation, any obligation of such Person, whether or not contingent, (1) to purchase any such primary obligation or any property constituting direct or indirect security therefor, (a) to advance or supply funds: (b) for the purchase or payment of any such primary obligation, or (2) to maintain working capital or equity capital of the primary obligor or otherwise to maintain the net worth or solvency of the primary obligor, or (3) to purchase property, securities or services primarily for the purpose of assuring the owner of any such primary obligation of the ability of the primary obligor to make payment of such primary obligation against loss in respect thereof.


 
9 “continuing” means, with respect to any Default or Event of Default, that such Default or Event of Default has not been cured or waived. “Corporate Trust Office of the Trustee” means the office of the Trustee in Dallas, Texas at which at any particular time its corporate trust business in relation to the Notes shall be administered, which office on the date hereof is located at 1255 Corporate Drive, 6th Floor, Irving, Texas 75038, Attention: Global Corporate Trust, or in any case such other address as the Trustee may designate from time to time by notice to the Holders and the Issuer, or the principal corporate trust office of any successor Trustee (or such other address as such successor Trustee may designate from time to time by notice to the Holders and the Issuer). “Credit Agreement” means that certain Fourth Amended and Restated Credit Agreement, dated as of March 22, 2023, among Frontier Intermediate Holding, LLC, Kodiak Gas Services, LLC, the other obligors party thereto, the lenders party thereto, and JP Morgan Chase Bank, N.A., as administrative agent, as amended by that certain First Amendment thereto, dated May 31, 2023, that certain Second Amendment thereto, dated June 27, 2023, that certain Third Amendment thereto, dated January 22, 2024, and that certain Fourth Amendment thereto, dated as of September 5, 2025, including any related notes, guarantees, collateral documents, instruments and agreements executed in connection therewith, and in each case as amended, restated, modified, renewed, refunded, replaced or refinanced from time to time. “Credit Facilities” means one or more debt facilities (including, without limitation, the Credit Agreement), or other financing arrangements (including, without limitation, asset backed securities facilities, commercial paper facilities, indentures or other capital markets financings), in each case with banks or other institutional lenders or investors, providing for revolving credit loans, term loans, capital market financings, debt securities, note issuances, private placements, asset backed securitizations, receivables financings (including through the sale of receivables to such lenders or to special purpose entities formed to borrow from such lenders against such receivables) or letters of credit, in each case, as amended, restated, modified, renewed, refunded, replaced or refinanced in whole or in part from time to time. “Custodian” means the Trustee, as custodian with respect to the Notes in global form, or any successor entity thereto. “Customary Recourse Exceptions” means, with respect to any Non-Recourse Debt of an Unrestricted Subsidiary, exclusions from the exculpation provisions with respect to such Non-Recourse Debt for the voluntary bankruptcy of such Unrestricted Subsidiary, fraud, misapplication of cash, environmental claims, waste, willful destruction and other circumstances customarily excluded by lenders from exculpation provisions or included in separate indemnification agreements in non-recourse financings. “Default” means any event that is, or with the passage of time or the giving of notice or both would be, an Event of Default. “Definitive Note” means a certificated Note registered in the name of the Holder thereof and issued in accordance with Section 2.06 hereof, substantially in the form of Exhibit A hereto, except that such Note shall not bear the Global Note Legend and shall not have the “Schedule of Exchanges of Interests in the Global Note” attached thereto. “De Minimis Guaranteed Amount” means a principal amount of Indebtedness equal to (i) in the case of indebtedness incurred in a single or related series of transactions or incurrences, $10 million or (ii) in the aggregate, $25 million.


 
10 “Derivative Instrument” with respect to a Person, means any contract, instrument or other right to receive payment or delivery of cash or other assets to which such Person or any Affiliate of such Person that is acting in concert with such Person in connection with such Person’s investment in the Notes (other than a Screened Affiliate) is a party (whether or not requiring further performance by such Person), the value and/or cash flows of which (or any material portion thereof) are materially affected by the value and/or performance of the Notes and/or the creditworthiness of the Parent and/or any one or more of the Guarantors (the “Performance References”). “Designated Non-cash Consideration” means the Fair Market Value of non-cash consideration received by the Parent or a Restricted Subsidiary of the Parent in connection with an Asset Sale that is designated as Designated Non-cash Consideration pursuant to an Officers’ Certificate, less the amount of cash or Cash Equivalents received in connection with a subsequent sale of such Designated Non-cash Consideration. “Depositary” means, with respect to the Notes issuable or issued in whole or in part in global form, the Person specified in Section 2.03 hereof as the Depositary with respect to the Notes, and any and all successors thereto appointed as depositary hereunder and having become such pursuant to the applicable provision of this Indenture. “Disqualified Stock” means any Capital Stock that, by its terms (or by the terms of any security into which it is convertible, or for which it is exchangeable, in each case at the option of the holder of the Capital Stock), or upon the happening of any event, matures or is mandatorily redeemable, pursuant to a sinking fund obligation or otherwise, or redeemable at the option of the holder of the Capital Stock, in whole or in part, on or prior to the date that is 91 days after the date on which the Notes mature. Notwithstanding the preceding sentence, any Capital Stock that would constitute Disqualified Stock solely because the holders of the Capital Stock have the right to require the Parent to repurchase or redeem such Capital Stock upon the occurrence of a change of control or an asset sale will not constitute Disqualified Stock if the terms of such Capital Stock provide that the Parent may not repurchase or redeem any such Capital Stock pursuant to such provisions unless such repurchase or redemption complies with Section 4.07 hereof. “Domestic Subsidiary” means any Restricted Subsidiary of the Parent that was formed under the laws of the United States or any state of the United States or the District of Columbia and all of whose outstanding Capital Stock is Beneficially Owned by the Parent. “Equity Interests” means Capital Stock and all warrants, options or other rights to acquire Capital Stock (but excluding any debt security that is convertible into, or exchangeable for, Capital Stock). “Equity Offering” means any public or private sale of Capital Stock of the Parent (other than Disqualified Stock and other than to a Subsidiary of the Parent) made for cash on a primary basis by the Parent after the date of this Indenture. “Euroclear” means Euroclear Bank, S.A./N.V., as operator of the Euroclear system. “Exchange Act” means the Securities Exchange Act of 1934, as amended. “Existing Indebtedness” means the aggregate principal amount of Indebtedness of the Parent and its Restricted Subsidiaries (other than (i) Indebtedness under the Credit Agreement, which is considered incurred under Section 4.09(b)(1), (ii) the Notes and the Note Guarantees and (iii) intercompany Indebtedness) in existence on the date of this Indenture, until such amounts are repaid.


 
11 “Excluded Subsidiary” means any Subsidiary that is (i) a Foreign Subsidiary or a direct or indirect Subsidiary of a Foreign Subsidiary, (ii) a FSHCO, (iii) an Immaterial Subsidiary, (iv) not, directly or indirectly, a wholly-owned Subsidiary or (v) an Unrestricted Subsidiary. Notwithstanding anything to the contrary herein, (A) in no event shall the Issuer be an Excluded Subsidiary and (B) clause (iv) of the preceding sentence will only apply if the transaction causing such Subsidiary to not be a wholly-owned Subsidiary is entered into for a bona fide business purpose and, for the avoidance of doubt, not for the primary purpose of causing such Subsidiary to be an Excluded Subsidiary. “Fair Market Value” means the value that would be paid by a willing buyer to an unaffiliated willing seller in a transaction not involving distress or necessity of either party, determined in good faith by the Board of Directors of the Parent in the case of amounts of $50.0 million or more and otherwise by an Officer of the Parent (unless otherwise provided in this Indenture). “Fitch” means Fitch Ratings, Inc. or any successor to the rating agency business thereof. “Fixed Charge Coverage Ratio” means with respect to any specified Person for any four-quarter reference period for which financial statements are available ending on or prior to the date of the transaction giving rise to the need to calculate the Fixed Charge Coverage Ratio (the “Test Period”), the ratio of the (x) Consolidated Cash Flow of such Person for such Test Period to (y) the Fixed Charges of such Person for such Test Period. In the event that the specified Person or any of its Restricted Subsidiaries incurs, assumes, Guarantees, repays, repurchases or redeems any Indebtedness (other than ordinary working capital borrowings) or issues, repurchases or redeems Disqualified Stock subsequent to the commencement of the applicable four-quarter reference period and on or prior to the date on which the event for which the calculation of the Fixed Charge Coverage Ratio is made (the “Calculation Date”), then the Fixed Charge Coverage Ratio will be calculated giving pro forma effect to such incurrence, assumption, Guarantee, repayment, repurchase or redemption of Indebtedness, or such issuance, repurchase or redemption of Disqualified Stock, and the use of the proceeds therefrom as if the same had occurred at the beginning of such period. In addition, for purposes of calculating the Fixed Charge Coverage Ratio: (1) Specified Transactions during the four-quarter reference period or subsequent to such reference period and on or prior to the Calculation Date, will be given pro forma effect as if they had occurred on the first day of the four-quarter reference period, including any Consolidated Cash Flow and any reasonably identifiable and factually supportable pro forma “run-rate” cost savings, expense and cost reductions and synergies that have occurred or are projected in good faith by a responsible financial officer, in her or her capacity as such, of the Parent, to occur within the next 18 months and for which the actions necessary to realize such cost savings, expense and cost reductions and synergies are taken or with respect to which substantial steps have been taken or are expected to be taken (in the good faith determination of such officer) (regardless of whether those cost savings or operating improvements could then be reflected in pro forma financial statements in accordance with Regulation S-X promulgated under the Securities Act or any other regulation or policy of the Commission related thereto), provided that (i) no cost savings, expense and cost reductions and synergies shall be added pursuant to this definition to the extent duplicative of any expenses or charges otherwise added to Consolidated Cash Flow whether through a pro forma adjustment, add back exclusion or otherwise, for such period and (ii) the aggregate amount of any such cost savings, expense and cost reductions and synergies (run-rate or otherwise) to be included pursuant to this clause (1) shall not exceed 20% of Consolidated Cash Flow for such period. For the purposes of this Indenture, “run-rate” means the full recurring benefit for a period that is associated with any action taken or with respect to which substantial steps have been taken or are expected to be taken (including any savings


 
12 expected to result from the elimination of a public target’s compliance costs with public company requirements), net of the amount of actual benefits realized during such period from such actions; (2) the Consolidated Cash Flow attributable to discontinued operations, as determined in accordance with GAAP, and operations or businesses (and ownership interests therein) disposed of prior to the Calculation Date, will be excluded; (3) the Fixed Charges attributable to discontinued operations, as determined in accordance with GAAP, and operations or businesses (and ownership interests therein) disposed of prior to the Calculation Date, will be excluded, but only to the extent that the obligations giving rise to such Fixed Charges will not be obligations of the specified Person or any of its Restricted Subsidiaries following the Calculation Date; (4) any Person that is a Restricted Subsidiary of the specified Person on the Calculation Date will be deemed to have been a Restricted Subsidiary of the specified Person at all times during such four-quarter period; (5) any Person that is not a Restricted Subsidiary of the specified Person on the Calculation Date will be deemed not to have been a Restricted Subsidiary of the specified Person at any time during such four-quarter period; (6) interest income reasonably anticipated by such Person to be received during the applicable four-quarter period from cash or Cash Equivalents held by such Person or any Restricted Subsidiary of such Person, which cash or Cash Equivalents exist on the Calculation Date or will exist as a result of the transaction giving rise to the need to calculate the Fixed Charge Coverage Ratio, will be included; (7) if any Indebtedness bears a floating rate of interest and is being given pro forma effect, the interest expense on such Indebtedness will be calculated as if the average rate in effect from the beginning of the applicable period to the Calculation Date had been the applicable rate for the entire period (taking into account any interest Hedging Contract applicable to such Indebtedness, but if the remaining term of such interest Hedging Contract is less than 12 months, then such interest Hedging Contract shall only be taken into account for that portion of the period equal to the remaining term thereof); (8) if any Indebtedness is incurred under a revolving credit facility and is being given pro forma effect, the interest expense on such Indebtedness shall be calculated based on the average daily balance of such Indebtedness for the four fiscal quarters subject to the pro forma calculation; (9) Interest on Indebtedness that may optionally be determined at an interest rate based upon a factor of a prime or similar rate, a eurocurrency interbank offered rate, or other rate, will be deemed to have been based upon the rate actually chosen, or, if none, then based upon such optional rate chosen as the Parent may designate; and (10) Interest on a Capital Lease Obligations shall be deemed to accrue at an interest rate reasonably determined by a responsible financial or accounting officer of the Parent to be the rate of interest implicit in such Capital Lease Obligation in accordance with GAAP. “Fixed Charges” means, with respect to any specified Person for any period, the sum, without duplication, of:


 
13 (1) the consolidated interest expense of such Person and its Restricted Subsidiaries for such period, whether paid or accrued (including the interest component of all payments associated with Capital Lease Obligations, imputed interest with respect to Attributable Debt, commissions, discounts and other fees and charges incurred in respect of letter of credit or bankers’ acceptance financings, but excluding amortization of debt issuance costs and original issue discount, non-cash interest payments, the interest component of any deferred payment obligations, upfront fees, underwriting fees or similar charges paid in connection with incurrence of Indebtedness where the fees are paid from the proceeds of such financing), and including the effect of all payments made or received pursuant to interest rate Hedging Contracts other than to terminate such Hedging Contracts, but excluding any unrealized mark to market losses and gains under Hedging Contracts (including, without limitation, those resulting from the application of FASB ASC Topic No. 815); plus (2) the consolidated interest expense of such Person and its Restricted Subsidiaries that was capitalized during such period; plus (3) any interest expense on Indebtedness of another Person that is Guaranteed by such Person or one of its Restricted Subsidiaries or secured by a Lien on assets of such Person or one of its Restricted Subsidiaries, whether or not such Guarantee or Lien is called upon; plus (4) all dividends, whether paid or accrued and whether or not in cash, on any series of Disqualified Stock of such Person or on any series of preferred securities of any of its Restricted Subsidiaries, other than dividends payable solely in Equity Interests of the payor (other than Disqualified Stock) or to such Person or a Restricted Subsidiary of such Person, in each case, on a consolidated basis and determined in accordance with GAAP. “Foreign Subsidiary” means any Restricted Subsidiary of the Parent that is not a Domestic Subsidiary. “FSHCO” means a Person substantially all of whose assets (whether held directly or indirectly) consist of Equity Interests and/or indebtedness of one or more Foreign Subsidiaries. “GAAP” means generally accepted accounting principles in the United States, which are in effect from time to time. “Global Note Legend” means the legend set forth in Section 2.06(g)(2) hereof, which is required to be placed on all Global Notes issued under this Indenture. “Global Notes” means, individually and collectively, each of the Restricted Global Notes and the Unrestricted Global Notes deposited with or on behalf of and registered in the name of the Depository or its nominee, substantially in the form of Exhibit A hereto, and that bears the Global Note Legend and that has the “Schedule of Exchanges of Interests in the Global Note” attached thereto, issued in accordance with Section 2.01, 2.06(b)(3), 2.06(b)(4), 2.06(d)(2) or 2.06(f) hereof. “Government Securities” means (1) direct obligations of the United States of America for the timely payment of which its full faith and credit is pledged or (2) obligations of a Person controlled or supervised by and acting as an agency or instrumentality of the United States of America the timely payment of which is unconditionally guaranteed as a full faith and credit obligation by the United States of America, which, in either case, are not callable or redeemable at the option of the Issuer thereof, and shall also include a depository receipt issued by a bank (as defined in Section 3(a)(2) of the Securities


 
14 Act), as custodian with respect to any such Government Securities or a specific payment of principal of or interest on any such Government Securities held by such custodian for the account of the holder of such depository receipt; provided that (except as required by law) such custodian is not authorized to make any deduction from the amount payable to the holder of such depository receipt from any amount received by the custodian in respect of the Government Securities or the specific payment of principal of or interest on the Government Securities evidenced by such depository receipt. “Guarantee” means a guarantee other than by endorsement of negotiable instruments for collection in the ordinary course of business, direct or indirect, in any manner including, without limitation, by way of a pledge of assets, acting as co-obligor or through letters of credit or reimbursement agreements in respect thereof, of all or any part of any Indebtedness, provided that any agreement by the Parent or any of its Restricted Subsidiaries to repurchase equipment at a price not greater than its Fair Market Value shall not be deemed a guarantee of Indebtedness. When used as a verb, “Guarantee” has a correlative meaning. “Guarantors” means each of: (1) the Parent; (2) the Subsidiaries of the Parent, other than the Issuer, executing this Indenture as initial Guarantors; and (3) any other Restricted Subsidiary of the Parent that becomes a Guarantor in accordance with the provisions of this Indenture; and their respective successors and assigns, in each case, until the Note Guarantee of such Person is released in accordance with the provisions of this Indenture. “Hedging Contracts” means, with respect to any specified Person, the obligation of such Person under: (1) interest rate swap agreements interest rate cap agreements and interest rate collar agreements entered into with one or more financial institutions and intended to manage the exposure of the Person or any of its Restricted Subsidiaries entering into the agreement to fluctuations in interest rates with respect to Indebtedness incurred; (2) foreign exchange contracts and currency protection agreements entered into with one or more financial institutions and intended to manage the exposure of the Person or any of its Restricted Subsidiaries entering into the agreement to fluctuations in currency exchanges rates with respect to Indebtedness incurred; (3) any commodity futures contract, commodity option or other similar agreement or arrangement intended to manage exposure to fluctuations in the price of commodities used, produced, processed or sold by that Person or any of its Restricted Subsidiaries at the time; and (4) other agreements or arrangements intended to manage the exposure of such Person or any of its Restricted Subsidiaries to fluctuations in interest rates, commodity prices or currency exchange rates. “Holder” means a Person in whose name a Note is registered.


 
15 “Immaterial Subsidiary” means, at any date of determination, each Restricted Subsidiary of the Parent that has been designated as such by Parent and does not have total assets, total revenue or Consolidated Cash Flow that accounts for more than 5.0% of the total assets, total revenue or Consolidated Cash Flow, respectively, of Parent and its Restricted Subsidiaries measured on a consolidated basis for the most recently ended Test Period; provided that all such Restricted Subsidiaries designated as “Immaterial Subsidiaries” shall not have total assets, total revenue or Consolidated Cash Flow in the aggregate that accounts for more than 10.0% of the total assets, total revenue or Consolidated Cash Flow, respectively, of Parent and its Restricted Subsidiaries measured on a consolidated basis for the most recently ended Test Period. “IAI Global Note” means a Global Note substantially in the form of Exhibit A hereto, bearing the Global Note Legend and the Private Placement Legend and deposited with or on behalf of and registered in the name of the Depositary or its nominee that will be issued in a denomination equal to the outstanding principal amount of the Notes sold to Institutional Accredited Investors. “Indebtedness” means, with respect to any specified Person, any indebtedness of such Person whether or not contingent and without duplication: (1) in respect of borrowed money; (2) evidenced by bonds, notes, debentures or similar instruments; (3) in respect of all outstanding letters of credit issued for the account of such Person that support obligations that constitute Indebtedness (provided that the amount of such letters of credit included in Indebtedness shall not exceed the amount of the Indebtedness being supported) and the unreimbursed amount of all drafts drawn under letters of credit issued for the account of such Person; (4) in respect of bankers’ acceptances; (5) representing Capital Lease Obligations; (6) representing all Attributable Debt in respect of sale and leaseback transactions not involving a Capital Lease Obligation; (7) representing the balance deferred and unpaid of the purchase price of any property, except any such balance that constitutes an accrued expense or trade payable in the ordinary course of business; or (8) representing any obligations under Hedging Contracts, if and to the extent any of the preceding items (other than letters of credit, Attributable Debt and obligations under Hedging Contracts) would appear as a liability upon a balance sheet of the specified Person prepared in accordance with GAAP. In addition, the term “Indebtedness” includes all Indebtedness of others secured by a Lien on any asset of the specified Person (whether or not such Indebtedness is assumed by the specified Person) and, to the extent not otherwise included, the Guarantee by the specified Person of any Indebtedness of any other Person. For the avoidance of doubt, the term “Indebtedness” excludes (i) Contingent Obligations incurred in the ordinary course of business or consistent with past practice, (ii) deferred or prepaid revenues arising in the ordinary course of business, (iii) reimbursement obligations under commercial letters of credit (provided that unreimbursed amounts under commercial letters of


 
16 credit will be counted as Indebtedness three (3) Business Days after such amount is drawn), (iv) asset retirement obligations and obligations in respect of reclamation and workers’ compensation (including pensions and retiree medical care), (v) any amounts payable or other liabilities to trade creditors (including undrawn letters of credit) arising in the ordinary course of business, (vi) Hedging Contracts; provided that such agreements are entered into for bona fide hedging purposes of the Parent or its Restricted Subsidiaries (as determined in good faith by the board of directors or senior management of the Parent, whether or not accounted for as a hedge in accordance with GAAP) and, in the case of any foreign exchange contract, currency swap agreement, futures contract, option contract or other similar agreement, such agreements are related to business transactions of the Parent or its Restricted Subsidiaries entered into in the ordinary course of business and, in the case of any interest rate protection agreement, interest rate futures agreement, interest rate option agreement, interest rate swap agreement, interest rate cap agreement, interest rate collar agreement, interest rate hedge agreement or other similar agreement or arrangement, such agreements substantially correspond in terms of notional amount, duration and interest rates, as applicable, to Indebtedness of the Parent or its Restricted Subsidiaries incurred without violation of this Indenture, (vii) obligations in respect of surety and bonding requirements of the Issuer and its Restricted Subsidiaries, (viii) any obligation arising from any agreement providing for indemnities, purchase price adjustments, holdbacks, contingency payment obligations based on the performance of the acquired or disposed assets or similar obligations (other than Guarantees of Indebtedness) incurred by the specified Person in connection with the acquisition or disposition of assets, (ix) taxes, assessments or other similar governmental charges or claims, (x) any obligation arising from the honoring by a bank or other financial institution of a check, draft or similar instrument drawn against insufficient funds in the ordinary course of business, provided that such obligation is extinguished within five Business Days of its incurrence, and (xi) obligations owed on a short-term basis to banks and other financial institutions incurred in the ordinary course of business that arise in connection with ordinary banking arrangements to manage cash balances of such Person. The term “Indebtedness” also excludes any repayment or reimbursement obligation of such Person or any of its Restricted Subsidiaries with respect to Customary Recourse Exceptions, unless and until an event or circumstance occurs that triggers the Person’s or such Restricted Subsidiary’s direct repayment or reimbursement obligation (as opposed to contingent or performance obligations) to the lender or other Person to whom such obligation is actually owed, in which case the amount of such direct payment or reimbursement obligation shall constitute Indebtedness. The amount of any Indebtedness outstanding as of any date will be: (1) the accreted value of the Indebtedness, in the case of any Indebtedness issued with original issue discount; (2) in the case of obligations under any Hedging Contracts, the termination value of the agreement or arrangement giving rise to such obligations that would be payable by such Person at such date; (3) in the case of any Capitalized Lease Obligations, the amount determined in accordance with the definition thereof; (4) in the case of contingent obligations (other than those specified in clauses (1) and (2) of this paragraph), the maximum liability at such date of such Person; and (5) the principal amount of the Indebtedness, together with any interest on the Indebtedness that is more than 30 days past due, in the case of any other Indebtedness.


 
17 “Indenture” means this Indenture, as amended or supplemented from time to time. “Indirect Participant” means a Person who holds a beneficial interest in a Global Note through a Participant. “Initial Notes” means the first $1.0 billion aggregate principal amount of the Notes issued under this Indenture on the date hereof. “Initial Purchasers” means J.P. Morgan Securities LLC, BofA Securities, Inc., Goldman Sachs & Co. LLC, Barclays Capital Inc., CIBC World Markets Corp., Fifth Third Securities, Inc., MUFG Securities Americas Inc., Academy Securities, Inc., Mizuho Securities USA LLC, PNC Capital Markets LLC, Regions Securities LLC, Truist Securities, Inc. and U.S. Bancorp Investments, Inc.. “Institutional Accredited Investor” means an institution that is an “accredited investor” as defined in Rule 501(a)(1), (2), (3) or (7) under the Securities Act, who are not also QIBs. “Investment Grade Rating” means a rating equal to or higher than Baa3 (or the equivalent) by Moody’s and BBB- (or the equivalent) by Fitch or S&P, or if Moody’s, Fitch or S&P ceases to rate the Notes for reasons outside of the Issuer’s control, the equivalent investment grade rating from any other Rating Agency. “Investments” means, with respect to any Person, all direct or indirect investments by such Person in other Persons (including Affiliates) in the forms of loans (including Guarantees or other obligations), advances or capital contributions (excluding (1) commission, travel and similar advances to officers and employees made in the ordinary course of business or consistent with past practice and (2) accounts receivable, credit card and debit card receivables, trade credit, advances or extensions of credit to customers in the ordinary course of business or consistent with past practice), purchases or other acquisitions of Indebtedness, Equity Interests or other securities, together with all items that are or would be classified as investments on a balance sheet prepared in accordance with GAAP. If the Parent or any Restricted Subsidiary of the Parent sells or otherwise disposes of any Equity Interests of any direct or indirect Restricted Subsidiary of the Parent such that, after giving effect to any such sale or disposition, such Person is no longer a Restricted Subsidiary of the Parent, the Parent will be deemed to have made an Investment on the date of any such sale or disposition in an amount equal to the Fair Market Value of the Equity Interests of such Restricted Subsidiary not sold or disposed of in an amount determined as provided in the final paragraph of Section 4.07(b). The acquisition by the Parent or any Subsidiary of the Parent of a Person that holds an Investment in a third Person will be deemed to be an Investment made by the Parent or such Subsidiary in such third Person in an amount equal to the Fair Market Value of the Investment held by the acquired Person in such third Person on the date of any such acquisition in an amount determined as provided in the final paragraph of Section 4.07(b). The designation by the Parent of any Unrestricted Subsidiary as a Restricted Subsidiary that holds an Investment in a third Person will be deemed to be an Investment made by such Subsidiary in such third Person in an amount equal to the Fair Market Value of the Investment held by the Subsidiary in such third Person on the date of such designation in an amount determined as provided in the final paragraph of Section 4.07(b). The amount of any Investment outstanding at any time shall be reduced by any dividend, distribution, interest payment, return of capital, repayment or other amount received in cash by the Issuer or a Restricted Subsidiary in respect of such Investment. Notwithstanding anything to the contrary herein, purchases or redemptions of Equity Interests of the Issuer or Parent shall be deemed not to be Investments. “Investors” means EQT AB and its Affiliates (including the funds, partnerships or other co-investment vehicles managed, advised or controlled thereby but other than, in each case, any portfolio company of any of the foregoing or the Parent and its Subsidiaries).


 
18 “Issue Date” means March 20, 2026. “Joint Venture” means any Person that is not a direct or indirect Subsidiary of the Parent in which the Parent or any of its Restricted Subsidiaries makes any Investment. “Lien” means, with respect to any asset, any mortgage, lien, pledge, charge, security interest or encumbrance of any kind in respect of such asset, whether or not filed, recorded or otherwise perfected under applicable law, including any conditional sale or other title retention agreement, any lease in the nature thereof, any option or other agreement to sell or give a security interest in and any filing of or agreement to give any financing statement under the Uniform Commercial Code (or equivalent statutes) of any jurisdiction other than a precautionary financing statement respecting a lease not intended as a security agreement. “Long Derivative Instrument” means a Derivative Instrument (i) the value of which generally increases, and/or the payment or delivery obligations under which generally decrease, with positive changes to the Performance References and/or (ii) the value of which generally decreases, and/or the payment or delivery obligations under which generally increase, with negative changes to the Performance References. “Make Whole Premium” means, with respect to a Note at any time, the excess, if any, of (a) the present value at such time of (i) the redemption price of such Note at April 1, 2028, plus (ii) any required interest payments due on such Note through April 1, 2028 (except for currently accrued and unpaid interest), computed using a discount rate equal to the Treasury Rate plus 50 basis points, discounted to the redemption date on a semi-annual basis (assuming a 360-day year consisting of twelve 30 day months), over (b) the principal amount of such Note. “Management Investors” means the former, current or future officers, directors, employees and managers of the Issuer, any Restricted Subsidiary of the Issuer or Parent who are or become direct or indirect investors in the Parent. “Moody’s” means Moody’s Investors Service, Inc. or any successor to the rating agency business thereof. “Net Proceeds” means the aggregate cash proceeds received by the Parent or any of its Restricted Subsidiaries in respect of any Asset Sale (including, without limitation, any cash received upon the sale, exchange, transfer or other disposition of any non-cash consideration received in any Asset Sale), net of: (1) the direct costs relating to such Asset Sale, including, without limitation, legal, accounting and investment banking fees and sales commissions, severance costs and any relocation expenses incurred as a result of the Asset Sale, (2) taxes paid or payable as a result of the Asset Sale, in each case, after taking into account any available tax credits or deductions and any tax sharing arrangements, (3) amounts required to be applied to the repayment of Indebtedness secured by a Lien on the properties or assets that were the subject of such Asset Sale, and (4) any amounts to be set aside in any reserve established in accordance with GAAP or any amount placed in escrow, in either case for adjustment in respect of the sale price of such properties or assets or for liabilities associated with such Asset Sale and retained by the Parent or any of its Restricted Subsidiaries until such time as such reserve is reversed or such escrow


 
19 arrangement is terminated, in which case Net Proceeds shall include only the amount of the reserve so reversed or the amount returned to the Parent or its Restricted Subsidiaries from such escrow arrangement, as the case may be. “Net Short” means, with respect to a Holder or Beneficial Owner, as of a date of determination, either (i) the value of its Short Derivative Instruments exceeds the sum of the (x) the value of its Notes plus (y) the value of its Long Derivative Instruments as of such date of determination or (ii) it is reasonably expected that such would have been the case were a Failure to Pay or Bankruptcy Credit Event (each as defined in the 2014 ISDA Credit Derivatives Definitions) to have occurred with respect to the Parent or any Guarantor immediately prior to such date of determination. “Non-Economic Preferred Securities” means preferred securities that (i) are not Disqualified Stock and (ii) are not entitled to dividends, distributions or other economic rights, other than (x) any liquidation preference, (y) any dividends in connection with the adoption of a “poison pill” or similar shareholder rights plan, and (z) any dividends, distributions or issuances in connection with anti-dilution adjustments contained in the terms of such preferred securities. “Non-Recourse Debt” means Indebtedness: (1) as to which neither the Parent nor any of its Restricted Subsidiaries (a) provides credit support of any kind (including any undertaking, agreement or instrument that would constitute Indebtedness), except for Customary Recourse Exceptions, (b) is directly or indirectly liable as a guarantor or otherwise or (c) is the lender; (2) no default with respect to which (including any rights that the holders of the Indebtedness may have to take enforcement action against an Unrestricted Subsidiary) would permit upon notice, lapse of time or both any holder of any other Indebtedness (other than the Notes) of the Parent or any of its Restricted Subsidiaries to declare a default on such other Indebtedness or cause the payment of the Indebtedness to be accelerated or payable prior to its Stated Maturity; and (3) as to which the lenders will not have any recourse to the Capital Stock or assets of the Parent or any of its Restricted Subsidiaries except (a) as contemplated by clause (9) of the definition of Permitted Liens or (b) for Customary Recourse Exceptions. For purposes of determining compliance with Section 4.09, in the event that any Non-Recourse Debt of any of the Parent’s Unrestricted Subsidiaries ceases to be Non-Recourse Debt of such Unrestricted Subsidiary, such event will be deemed to constitute an incurrence of Indebtedness by a Restricted Subsidiary of the Parent. “Non-U.S. Person” means a Person who is not a U.S. Person. “Note Guarantee” means the Guarantee by any Guarantor of the Issuer’s Obligations under this Indenture and the Notes as provided in Article 10 hereof. “Notes” has the meaning assigned to it in the preamble to this Indenture. The Initial Notes and the Additional Notes shall be treated as a single class for all purposes under this Indenture, including for purposes of waivers, amendments, redemptions and offers to purchase, and unless the context otherwise requires, all references to the Notes shall include the Initial Notes and any Additional Notes.


 
20 “Obligations” means any principal, premium, if any, interest (including interest accruing on or after the filing of any petition in bankruptcy or for reorganization, whether or not a claim for post-filing interest is allowed in such proceeding), penalties, fees, charges, expenses, indemnifications, reimbursement obligations, damages, guarantees, and other liabilities or amounts payable under the documentation governing any Indebtedness or in respect thereto. “Officer” means, with respect to any Person, the Chairman of the Board, the Chief Executive Officer, the President, the Chief Operating Officer, the Chief Financial Officer, the Treasurer, any Assistant Treasurer, the Controller, the Secretary or any Vice-President of such Person. “Officers’ Certificate” means a certificate signed on behalf of the Issuer by two of the Officers of the Issuer, one of whom must be the principal executive officer, the principal financial officer, the treasurer or the principal accounting officer of the Issuer, as the case may be, that meets the requirements of Section 12.05 hereof. “Opinion of Counsel” means an opinion from legal counsel who is reasonably acceptable to the Trustee, that meets the requirements of Section 12.05 hereof. The counsel may be an employee of or counsel to the Parent, any Subsidiary of the Parent or the Trustee. “Parent Entity” means any Person that, with respect to another Person, holds, as its primary asset, 50% or more of the total voting power of the Voting Stock of such other Person having a majority of the aggregate votes on the Board of Directors of such other Person. Unless the context otherwise requires, any references to Parent Entity refer to a Parent Entity of the Issuer and/or Parent. “Participant” means, with respect to the Depositary, Euroclear or Clearstream, a Person who has an account with the Depositary, Euroclear or Clearstream, respectively (and, with respect to DTC, shall include Euroclear and Clearstream). “Permitted Acquisition Indebtedness” means Indebtedness or preferred securities of the Parent or any of its Restricted Subsidiaries to the extent such Indebtedness or preferred securities were Indebtedness or preferred securities of any other Person existing at the time (a) such Person became a Restricted Subsidiary of the Parent, (b) such Person was merged or consolidated with or into the Parent or any of its Restricted Subsidiaries, or (c) properties or assets of such Person were acquired by the Parent or any of its Restricted Subsidiaries and such Indebtedness was assumed in connection therewith, provided that on the date such Person became a Restricted Subsidiary of the Parent or the date such Person was merged or consolidated with or into the Parent or any of its Restricted Subsidiaries, or on the date of such property or asset acquisition, as applicable, either (1) immediately after giving effect to such transaction and any related financing transactions on a pro forma basis as if the same had occurred at the beginning of the applicable four-quarter period, the Parent would be permitted to incur at least $1.00 of additional Indebtedness pursuant to the Fixed Charge Coverage Ratio test set forth in Section 4.09, or (2) immediately after giving effect to such transaction and any related financing transactions on a pro forma basis as if the same had occurred at the beginning of the applicable four-quarter period, the Fixed Charge Coverage Ratio of the Parent would be equal to or greater than the Fixed Charge Coverage Ratio of the Parent immediately prior to such transaction. “Permitted Business” means each business in which the Parent or any of its Restricted Subsidiaries is engaged on the date of this Indenture and any other business that is related or ancillary thereto and reasonable extensions thereof, including, but not limited to, (i) natural gas or other


 
21 hydrocarbon gathering, processing, treating, production and transportation businesses and (ii) providing mobile solutions to oilfield and other industrial operations. “Permitted Holders” means each of the Investors, the Management Investors or any Permitted Parent. Any Person or group (within the meaning of Section 13(d)(3) of the Exchange Act) whose acquisition of Beneficial Ownership constitutes a Change of Control in respect of which a Change of Control Offer is made in accordance with the requirements of this Indenture will thereafter, together with its Affiliates, constitute an additional Permitted Holder. “Permitted Investments” means: (1) any Investment in the Parent (including through purchases of Notes but excluding redemptions, purchases, acquisitions or other retirements of Equity Interests in the Parent) or in a Restricted Subsidiary of the Parent; (2) any Investment in cash and Cash Equivalents; (3) any Investment by the Parent or any Restricted Subsidiary of the Parent in a Person, if as a result of such Investment: (a) such Person becomes a Restricted Subsidiary of the Parent; or (b) such Person is merged, consolidated or amalgamated with or into, or transfers or conveys substantially all of its properties or assets to, or is liquidated into, the Parent or a Restricted Subsidiary of the Parent; (4) any Investment made as a result of the receipt of non-cash consideration from an Asset Sale that was made pursuant to and in compliance with Section 4.10, including pursuant to an Asset Swap; (5) any Investment in any Person solely in exchange for the issuance of Equity Interests (other than Disqualified Stock) of the Parent; (6) any Investments received (a) in compromise of obligations of trade creditors or customers that were incurred in the ordinary course of business, including pursuant to any plan of reorganization or similar arrangement upon the bankruptcy or insolvency of any trade creditor or customer, or (b) as a result of a foreclosure by the Parent or any of its Restricted Subsidiaries with respect to any secured Investment in default; (7) Hedging Contracts entered into in the ordinary course of business and not for speculative purposes; (8) Permitted Joint Venture Investments made by the Parent or any of its Restricted Subsidiaries, in an aggregate amount (measured on the date each such Investment was made and without giving effect to subsequent changes in value), when taken together with all other Investments made pursuant to this clause (8) and then outstanding, that does not exceed the greater of (a) $95.0 million and (b) 2.50% of the Parent’s Consolidated Net Tangible Assets determined at the time of investment; and (9) other Investments in any Person having an aggregate Fair Market Value (measured on the date each such Investment was made and without giving effect to subsequent


 
22 changes in value), when taken together with all other Investments made pursuant to this clause (9) that are at the time outstanding, do not exceed the greater of $190.0 million and 5.00% of the Parent’s Consolidated Net Tangible Assets determined at the time of such Investment; provided, however, that if any Investment pursuant to this clause (9) is made in any Person that is not a Restricted Subsidiary at the date of the making of such Investment and such Person becomes a Restricted Subsidiary after such date, such Investment shall thereafter be deemed to have been made pursuant to clause (1) of this definition and shall cease to have been made pursuant to this clause (9) for so long as such Person continues to be a Restricted Subsidiary. In determining whether any Investment is a Permitted Investment, the Issuer may allocate or reallocate all or any portion of an Investment among the clauses of this definition and any of the provisions of Section 4.07. “Permitted Joint Venture Investment” means, with respect to an Investment by any specified Person, an Investment by such specified Person in any other Person engaged in a Permitted Business (a) in which the Person has significant involvement in the day to day operations and management or veto power over significant management decisions or board or management committee representation and (b) of which at least 20.0% of the outstanding Equity Interests of such other Person is at the time owned directly or indirectly by the specified Person. “Permitted Liens” means: (1) any Lien securing Indebtedness under the Credit Agreement or any other Credit Facilities, in each case incurred pursuant to Section 4.09(b)(1); (2) Liens in favor of the Issuer or the Guarantors; (3) Liens on property or other assets of a Person existing at the time such Person is merged with or into or consolidated with the Parent or any Restricted Subsidiary of the Parent, provided that such Liens were in existence prior to the contemplation of such merger or consolidation and do not extend to any assets (other than improvements thereon, accessions thereto and proceeds thereof) other than those of the Person merged into or consolidated with the Parent or the Restricted Subsidiary; (4) Liens on property or other assets existing at the time of acquisition of the property or other assets by the Parent or any Restricted Subsidiary of the Parent, provided that such Liens were in existence prior to the contemplation of such acquisition and relate solely to such property, accessions thereto or proceeds thereof; (5) any interest or title of a lessor to the property subject to a Capital Lease Obligation; (6) Liens for the purpose of securing the payment of all or a part of the purchase price of, or Capital Lease Obligations, Attributable Debt, purchase money obligations or other payments incurred to finance the acquisition, lease, improvement or construction of or repairs or additions to, assets or property acquired or constructed in the ordinary course of business; provided that: (a) the aggregate principal amount of Indebtedness secured by such Liens is otherwise permitted to be incurred under this Indenture and does not exceed the cost of the assets or property so acquired, leased, improved or constructed; and


 
23 (b) such Liens are created within 180 days of the later of the acquisition, lease, completion of improvements, construction, repairs or additions or commencement of full operation of the assets or property subject to such Lien and do not encumber any other assets or property of the Parent or any Restricted Subsidiary other than such assets or property and assets affixed or appurtenant thereto (except that individual financings otherwise permitted to be secured pursuant to this clause (6) provided by any single Person (or its Affiliates) may be cross collateralized to other such financings provided by such Person (or its Affiliates)); (7) Liens existing on the date of this Indenture; (8) Liens to secure the performance of tenders, bids, statutory obligations, surety or appeal bonds, trade contracts, government contracts, operating leases, performance bonds or other obligations of a like nature incurred in the ordinary course of business; (9) Liens on and pledges of the Equity Interests of any Unrestricted Subsidiary or any Joint Venture owned by the Parent or any Restricted Subsidiary of the Parent to the extent securing Non-Recourse Debt or other Indebtedness of such Unrestricted Subsidiary or Joint Venture; (10) Liens arising under joint venture agreements, partnership agreements and other agreements arising in the ordinary course of business of the Parent and its Restricted Subsidiaries that are customary in any Permitted Business; (11) Liens upon specific items of inventory, receivables or other goods or proceeds of the Parent or any of its Restricted Subsidiaries securing such Person’s obligations in respect of bankers’ acceptances or receivables securitizations issued or created for the account of such Person to facilitate the purchase, shipment or storage of such inventory, receivables or other goods or proceeds and permitted by Section 4.09; (12) Liens securing Obligations of the Issuer or any Guarantor under the Notes or the Note Guarantees, as the case may be; (13) Liens securing any Indebtedness equally and ratably with all Obligations due under the Notes or any Note Guarantee pursuant to a contractual covenant that limits Liens in a manner substantially similar to Section 4.12; (14) Liens to secure performance of Hedging Contracts of the Parent or any of its Restricted Subsidiaries entered into in the ordinary course of business or consistent with past practice and not for speculative purposes; (15) Liens securing (a) any defeasance trust provided that such Liens do not extend to or cover any assets or property that is not part of such defeasance trust or (b) any insurance premium financing under customary terms and conditions, provided that no such Lien may extend to or cover any assets or property other than the insurance being acquired with such financing, the proceeds thereof and any unearned or refunded insurance premiums related thereto; (16) Liens imposed by law, such as carriers’, warehousemen’s, landlord’s, repairman’s, mechanics’ and other like Liens, in each case, incurred in the ordinary course of business or consistent with past practice;


 
24 (17) other Liens incurred by the Parent or any Restricted Subsidiary of the Parent, provided that, after giving effect to any such incurrence, the aggregate principal amount of all Indebtedness then outstanding and secured by any Liens incurred pursuant to this clause (17) does not exceed the greater of $190.0 million and 5.00% of the Parent’s Consolidated Net Tangible Assets; and (18) any Lien renewing, extending, refinancing or refunding a Lien permitted by clauses (2) through (16) above, provided that (a) the principal amount of the Indebtedness secured by such Lien is not increased except by an amount equal to a reasonable premium or other reasonable amount paid, and fees and expenses reasonably incurred, in connection therewith and by an amount equal to any existing commitments unutilized thereunder and (b) no assets encumbered by any such Lien other than the assets permitted to be encumbered immediately prior to such renewal, extension, refinance or refund are encumbered thereby (other than improvements thereon, accessions thereto and proceeds thereof). “Permitted Parent” means any Person that directly or indirectly holds or acquires 100% of the total voting power of the Voting Stock of the Parent or the Issuer, and of which no other Person or group (within the meaning of Section 13(d)(3) of the Exchange Act, or any successor provision), other than any of the Permitted Holders, holds more than 50% of the total voting power of the Voting Stock of such Person. “Permitted Payments to a Parent Entity” means dividends or distributions by the Parent, the Issuer or any Restricted Subsidiary to, or the making of loans or advances to, any Parent Entity in amounts required for the Parent Entity to pay, in each case without duplication, (1) franchise and similar taxes required to maintain its corporate or other legal existence; (2) general corporate or other operating, administrative, compliance and overhead costs and expenses (including expenses relating to auditing and other accounting matters, legal, or engineering) of a Parent Entity; (3) reasonable (as determined in good faith by the Parent) fees and expenses (other than fees and expenses paid to Affiliates of a Parent Entity or Affiliate of the Parent) related to any equity or debt offering of a Parent Entity (whether or not successful); provided that all or substantially all of the proceeds of such offering are or are intended to be permanently contributed to the capital of the Parent; (4) for any taxable period (or portion thereof) for which the Parent or any of its Restricted Subsidiaries are members of a consolidated, combined, unitary or similar income tax group for U.S. federal or applicable foreign, state or local income tax purposes of which a Parent Entity is the common parent (a “Tax Group”) or for which the Issuer is a partnership or disregarded entity for U.S. federal or applicable foreign, state or local income tax purposes in any applicable taxing jurisdiction that is wholly-owned (directly or indirectly) by an entity that is taxable as a corporation for such income tax purposes, the portion of any U.S. federal, foreign, state or local income taxes (as applicable) of such Tax Group or such Parent Entity for such taxable period that are attributable to the net taxable income of the Parent and/or the applicable Restricted Subsidiaries (and, to the extent permitted below, the applicable Unrestricted Subsidiaries); provided that for each taxable period, (A) the amount of such payments made in respect of such taxable period in the aggregate will not exceed the amount that the Parent and the applicable Restricted Subsidiaries (and, to the extent permitted below, the applicable Unrestricted


 
25 Subsidiaries), as applicable, would have been required to pay in respect of such net taxable income as stand-alone taxpayers or a stand-alone Tax Group (taking into account net losses from prior periods to the extent not previously taken into account pursuant to this clause (4) and subject to any limitations on the utilization of such losses to reduce such taxes) calculated as if the Parent and its Restricted Subsidiaries (and to the extent permitted below, the applicable Unrestricted Subsidiaries) had paid tax on a consolidated, combined, group, affiliated or unitary basis on behalf of an affiliated group consisting only of the Parent and its Restricted Subsidiaries (and, to the extent permitted below, the applicable Unrestricted Subsidiaries) and (B) the amount of such payments made in respect of an Unrestricted Subsidiary will be permitted only to the extent that cash distributions were made by such Unrestricted Subsidiary to the Parent or any Restricted Subsidiary for such purpose; provided that, for the avoidance of doubt, taxable income for any period shall include any increases thereto as a result of any tax examination, audit or adjustment, whether for taxable periods ending prior to or after the Issue Date; (5) salary, bonus, severance and other benefits payable to, and indemnities provided on behalf of, employees, directors, officers, members of management, consultants and independent contractors of any Parent Entity and any payroll, social security or similar taxes thereof; and (6) amounts that would be permitted to be paid directly by the Parent or its Restricted Subsidiaries under the covenant described under Section 4.11(b) (other than clauses (2), (3) and (6)(b) thereof). “Permitted Tax Distributions” means for any taxable year (or portion thereof) for which the Issuer is a pass-through entity for U.S. federal income tax purposes, payments and distributions in an amount sufficient to permit each direct or indirect holder of Equity Interests in the Issuer to satisfy its tax liability arising from allocations of income, gain, loss, deduction and credit of the Issuer and its subsidiaries, assuming such items were the only such items entering into the computation of tax liability of such equity holder for the taxable year in respect of which the Permitted Tax Distribution is made, in an amount not to exceed (i) the highest marginal rate applicable to federal and state or local income tax liability of such equity holders (after taking into account the character of the income and the deductibility of U.S. state and local income tax for U.S. federal income tax purposes (and any limitations thereon), but without regard to any deduction permitted under Section 199A of the Code) and (ii) the taxable income (taking into account any net losses of the Issuer from prior periods to the extent not previously taken into account in the computation of Permitted Tax Distributions and subject to any limitations on the utilization of such losses to reduce such taxes) of the Issuer and its subsidiaries that are pass-through entities for such taxable year (or portion thereof); provided that, for the avoidance of doubt, taxable income of the Issuer and its subsidiaries for any period shall include any increases thereto as a result of any tax examination, audit or adjustment, whether for taxable periods ending prior to or after the Issue Date. “Permitted Refinancing Indebtedness” means any Indebtedness of the Parent or any of its Restricted Subsidiaries issued in exchange for, or the net proceeds of which are used to extend, refinance, renew, replace, defease or refund other Indebtedness of the Parent or any of its Restricted Subsidiaries (other than intercompany Indebtedness), provided that: (1) the principal amount of such Permitted Refinancing Indebtedness does not exceed the principal amount of the Indebtedness being extended, refinanced, renewed, replaced, defeased or refunded (plus all accrued interest on the Indebtedness and the amount of all expenses and premiums incurred in connection therewith);


 
26 (2) such Permitted Refinancing Indebtedness has a final maturity date later than the final maturity date of, and has a Weighted Average Life to Maturity equal to or greater than the Weighted Average Life to Maturity of, the Indebtedness being extended, refinanced, renewed, replaced, defeased or refunded; (3) if the Indebtedness being extended, refinanced, renewed, replaced, defeased or refunded is subordinated in right of payment to the Notes or the Note Guarantees, such Permitted Refinancing Indebtedness is subordinated in right of payment to the Notes or the Note Guarantees on terms at least as favorable to the Holders of Notes as those contained in the documentation governing the Indebtedness being extended, refinanced, renewed, replaced, defeased or refunded; and (4) such Indebtedness is not incurred by a Restricted Subsidiary of the Parent (other than the Issuer or any Guarantor) if the Issuer or any Guarantor is the issuer or other primary obligor on the Indebtedness being extended, refinanced, renewed, replaced, defeased or refunded. Notwithstanding the preceding, any Indebtedness incurred under the Credit Agreement pursuant to Section 4.09 shall be subject only to the refinancing provisions in the definition of Credit Agreement and Section 4.09(b)(1) and not pursuant to the requirements set forth in this definition of Permitted Refinancing Indebtedness. “Person” means any individual, corporation, partnership, joint venture, association, joint-stock company, trust, unincorporated organization, limited liability company or government or other entity. “Private Placement Legend” means the legend set forth in Section 2.06(g)(1) hereof to be placed on all Notes issued under this Indenture except where otherwise permitted by the provisions of this Indenture. “Public Company Costs” means one-time costs associated with commencing compliance with the requirements of the Sarbanes-Oxley Act of 2002 and the rules and regulations promulgated in connection therewith, the provisions of the Securities Act and the Exchange Act, and the rules of national securities exchange listed companies (in each case, as applicable to companies with equity or debt securities held by the public), including procuring directors’ and officers’ insurance, legal and other professional fees, and listing fees. “Purchase Agreement” means that certain purchase agreement, dated March 11, 2026, among the Issuer, the Guarantors and J.P. Morgan Securities LLC, as representative of the Initial Purchasers, relating to the issuance and sale by the Issuer, and the purchase by the Initial Purchasers, of the Notes. “QIB” means a “qualified institutional buyer” as defined in Rule 144A. “Rating Agency” means each of S&P, Moody’s and Fitch, or if S&P, Moody’s or Fitch shall not make a rating on the Notes publicly available, a nationally recognized statistical rating agency or agencies, as the case may be, selected by the Issuer (as certified by a Board Resolution of the Board of Directors of the Parent) which shall be substituted for S&P, Moody’s or Fitch, as the case may be. “Rating Category” means: (1) with respect to S&P, any of the following categories: AAA, AA, A, BBB, BB, B, CCC, CC, C and D (or equivalent successor categories);


 
27 (2) with respect to Moody’s, any of the following categories: Aaa, Aa, A, Baa, Ba, B, Caa, Ca, C and D (or equivalent successor categories); and (3) with respect to Fitch, any of the following categories: AAA, AA, A, BBB, BB, B, CCC, CC, C and D (or equivalent successor categories). “Rating Decline” means a decrease in the rating of the Notes by Moody’s, S&P or Fitch by one or more gradations (including gradations within Rating Categories as well as between Rating Categories) within 60 days following the occurrence of a Change of Control; provided, however, that a downgrade of the Notes by the applicable Rating Agency shall not be deemed to have occurred in respect of a particular Change of Control (and thus shall not be deemed a downgrade for purposes of this definition of Rating Decline) if such Rating Agency making the downgrade in rating does not publicly announce or confirm or inform the Parent or the Trustee in writing at the request of the Parent that the downgrade is a result of the transactions constituting or occurring simultaneously with the applicable Change of Control (whether or not the applicable Change of Control has occurred at the time of such downgrade). In determining whether the rating the Notes has decreased by one or more gradations, gradations within Rating Categories, namely + or – for S&P or Fitch, and 1, 2, and 3 for Moody’s, will be taken into account; for example, in the case of S&P or Fitch, a rating decline either from BB+ to BB or BB− to B+ will constitute a decrease of one gradation. “Regulation S” means Regulation S promulgated under the Securities Act. “Regulation S Global Note” means a Global Note substantially in the form of Exhibit A hereto, bearing the Global Note Legend and the Private Placement Legend and deposited with or on behalf of and registered in the name of the Depositary or its nominee, issued in a denomination equal to the outstanding principal amount of the Notes sold in reliance on Rule 903 of Regulation S. “Reporting Default” means a Default described in Section 6.01(4). “Responsible Officer,” when used with respect to the Trustee, means any officer of the Trustee within the corporate trust department of the Trustee (or any successor group of the Trustee), including any Vice President, assistant secretary, assistant treasurer, trust officer, assistant trust officer or assistant controller assigned to the corporate trust office, or any other officer of the Trustee customarily performing functions similar to those performed by any of the above designated officers and also means, with respect to a particular corporate trust matter, any other officer to whom such matter is referred because of his knowledge of and familiarity with the particular subject, and, in each case, who shall have direct responsibility for the administration of this Indenture. “Restricted Definitive Note” means a Definitive Note bearing the Private Placement Legend. “Restricted Global Note” means a Global Note bearing the Private Placement Legend. “Restricted Investment” means an Investment other than a Permitted Investment. “Restricted Subsidiary” of a Person means any Subsidiary of the referent Person that is not an Unrestricted Subsidiary. Notwithstanding anything in this Indenture to the contrary, the Issuer shall be a Restricted Subsidiary of the Parent. Unless specified otherwise, references herein to a Restricted Subsidiary refer to a Restricted Subsidiary of the Parent. “Rule 144” means Rule 144 promulgated under the Securities Act.


 
28 “Rule 144A” means Rule 144A promulgated under the Securities Act. “Rule 903” means Rule 903 promulgated under the Securities Act. “Rule 904” means Rule 904 promulgated under the Securities Act. “S&P” means S&P Global Ratings, a division of S&P Global, Inc., or any successor to the rating agency business thereof. “Screened Affiliate” means any Affiliate of a Holder (i) that makes investment decisions independently from such Holder and any other Affiliate of such Holder that is not a Screened Affiliate, (ii) that has in place customary information screens between it and such Holder and any other Affiliate of such Holder that is not a Screened Affiliate and such screens prohibit the sharing of information with respect to the Parent or its Subsidiaries, (iii) whose investment policies are not directed by such Holder or any other Affiliate of such Holder that is acting in concert with such Holder in connection with its investment in the Notes, and (iv) whose investment decisions are not influenced by the investment decisions of such Holder or any other Affiliate of such Holder that is acting in concert with such Holders in connection with its investment in the Notes. “Securities Act” means the Securities Act of 1933, as amended. “Senior Debt” means: (1) all Indebtedness of the Parent or any of its Restricted Subsidiaries outstanding under the Credit Agreement and all obligations under Hedging Contracts with respect thereto; (2) any other Indebtedness of the Parent or any Restricted Subsidiary permitted to be incurred under the terms of this Indenture, unless the instrument under which such Indebtedness is incurred expressly provides that it is subordinated in right of payment to the Notes or any Note Guarantee; and (3) all Obligations with respect to the items listed in the preceding clauses (1) and (2). Notwithstanding anything to the contrary in the preceding sentence, Senior Debt will not include: (a) any intercompany Indebtedness of the Parent or any of its Restricted Subsidiaries to the Parent or any of its Affiliates; or (b) any Indebtedness that is incurred in violation of this Indenture. For the avoidance of doubt, “Senior Debt” will not include any trade payables or taxes owed or owing by the Parent or any Restricted Subsidiary. “Short Derivative Instrument” means a Derivative Instrument (i) the value of which generally decreases, and/or the payment or delivery obligations under which generally increase, with positive changes to the Performance References and/or (ii) the value of which generally increases, and/or the payment or delivery obligations under which generally decrease, with negative changes to the Performance References.


 
29 “Significant Subsidiary” means any Subsidiary that would be a “significant subsidiary” as defined in Article 1, Rule 1-02 of Regulation S-X, promulgated pursuant to the Securities Act, as such Regulation is in effect on the date of this Indenture. “Specified Transaction” means (i) solely for the purposes of determining the applicable cash balance, any contribution of capital, including as a result of an Equity Offering, to the Parent, in each case, in connection with an acquisition or Investment, (ii) any designation of operations or assets of the Parent or a Restricted Subsidiary as discontinued operations (as defined under GAAP), (iii) any Investment that results in a Person becoming a Restricted Subsidiary, (iv) any designation of a Subsidiary as a Restricted Subsidiary or an Unrestricted Subsidiary in compliance with this Indenture, (v) any purchase or other acquisition of (a) assets used in a Permitted Business or (b) a business of any Person, or assets constituting a business unit, line of business or division of any Person, (vi) any Asset Sale (without regard to any de minimis thresholds set forth therein) or (vii) any Restricted Payment or other transaction that by the terms of this Indenture requires a financial ratio to be calculated on a pro forma basis. “Stated Maturity” means, with respect to any installment of interest or principal on any series of Indebtedness, the date on which the payment of interest or principal was scheduled to be paid in the original documentation governing such Indebtedness, and will not include any contingent obligations to repay, redeem or repurchase any such interest or principal prior to the date originally scheduled for the payment thereof. “Subsidiary” means, with respect to any specified Person: (1) any corporation, association or other business entity (other than a partnership or limited liability company) of which more than 50% of the total voting power of Voting Stock is at the time owned or controlled, directly or indirectly, by that Person or one or more of the other Subsidiaries of that Person (or a combination thereof); and (2) any partnership (whether general or limited) or limited liability company (a) the sole general partner or member of which is such Person or a Subsidiary of such Person, or (b) if there is more than a single general partner or member, either (x) the only managing general partners or managing members of which are such Person or one or more Subsidiaries of such Person (or any combination thereof) or (y) such Person owns or controls, directly or indirectly, a majority of the outstanding general partner interests, member interests or other Voting Stock of such partnership or limited liability company, respectively. “TIA” means the Trust Indenture Act of 1939, as amended (15 U.S.C. §§ 77aaa-77bbbb). “Transactions” means the transactions contemplated by the Burro Merger Agreement, including without limitation, (a) the mergers and other transactions contemplated thereby, (b) any reorganization transactions undertaken in connection therewith, (c) the establishment, designation and issuance of securities of the Parent and the Issuer contemplated thereby and the performance of obligations and the exercise of rights contained in instruments or governing documents establishing such securities, (d) the entry into and performance of obligations and the exercise of rights contemplated by the Burro Merger Agreement and such other agreements contemplated by the Burro Merger Agreement that are entered into at the closing of the mergers thereunder and (e) the payment of fees and expenses in connection with the foregoing. “Treasury Rate” means the yield to maturity at the time of computation of United States Treasury securities with a constant maturity (as compiled and published in the most recent Federal Reserve Statistical Release H.15 that has become publicly available at least two Business Days prior to the date


 
30 fixed for redemption (or, if such Statistical Release is no longer published, any publicly available source of similar market data)) most nearly equal to the period from the redemption date to April 1, 2031; provided, however, that if such period is not equal to the constant maturity of a United States Treasury security for which a weekly average yield is given, the Issuer shall obtain the Treasury Rate by linear interpolation (calculated to the nearest one-twelfth of a year) from the weekly average yields of United States Treasury securities for which such yields are given, except that if the period from the redemption date to April 1, 2031, is less than one year, the weekly average yield on actually traded United States Treasury securities adjusted to a constant maturity of one year shall be used. The Issuer will (a) calculate the Treasury Rate on the second Business Day preceding the applicable redemption date and (b) prior to such redemption date file with the Trustee an Officers’ Certificate setting forth the Make Whole Premium and the Treasury Rate and showing the calculation of each in reasonable detail. “Trustee” means the party named as such above until a successor replaces it in accordance with the applicable provisions of this Indenture and thereafter means the successor serving hereunder. “Unrestricted Definitive Note” means a Definitive Note that does not bear and is not required to bear the Private Placement Legend. “Unrestricted Global Note” means a Global Note that does not bear and is not required to bear the Private Placement Legend. “Unrestricted Subsidiary” means any Subsidiary of the Parent (other than the Issuer) that is designated by the Board of Directors of the Parent as an Unrestricted Subsidiary pursuant to a Board Resolution (and each Subsidiary of such Unrestricted Subsidiary), but only to the extent that such Subsidiary so designated: (1) has no Indebtedness other than Non-Recourse Debt owing to any Person other than the Parent or any of its Restricted Subsidiaries; (2) except as permitted under Section 4.11 hereof, is not party to any agreement, contract, arrangement or understanding with the Parent or any Restricted Subsidiary of the Parent unless the terms of any such agreement, contract, arrangement or understanding are no less favorable to the Parent or such Restricted Subsidiary than those that might be obtained at the time from Persons who are not Affiliates of the Parent; (3) is a Person with respect to which neither the Parent nor any of its Restricted Subsidiaries has any direct or indirect obligation (a) to subscribe for additional Equity Interests or (b) to maintain or preserve such Person’s financial condition or to cause such Person to achieve any specified levels of operating results; and (4) has not Guaranteed or otherwise directly or indirectly provided credit support for any Indebtedness of the Parent or any of its Restricted Subsidiaries. All Subsidiaries of an Unrestricted Subsidiary (other than the Issuer) shall also be Unrestricted Subsidiaries. “U.S. Person” means a U.S. Person as defined in Rule 902(k) promulgated under the Securities Act.


 
31 “Voting Stock” of any Person as of any date means the Capital Stock of such Person that is at the time entitled (without regard to the occurrence of any contingency) to vote in the election of the Board of Directors of such Person. “Weighted Average Life to Maturity” means, when applied to any Indebtedness at any date, the number of years obtained by dividing: (1) the sum of the products obtained by multiplying (a) the amount of each then remaining installment, sinking fund, serial maturity or other required payments of principal, including payment at final maturity, in respect of the Indebtedness, by (b) the number of years (calculated to the nearest one-twelfth) that will elapse between such date and the making of such payment; by (2) the then outstanding principal amount of such Indebtedness. “Wholly-Owned Subsidiary” of any Person means a Subsidiary of such Person, 100% of the outstanding Equity Interests of which is at the time owned by such Person and/or by one or more Wholly-Owned Subsidiaries of such Person. “Wholly-Owned Restricted Subsidiary” is any Wholly-Owned Subsidiary that is a Restricted Subsidiary. Section 1.02 Other Definitions. Defined in Term Section “Affiliate Transaction” ................................................................................ 4.11 “Alternate Offer” ......................................................................................... 4.15 “Applicable Premium Default” .................................................................... 11.01 “Asset Sale Offer” ........................................................................................ 3.09 “Authentication Order” ............................................................................... 2.02 “Change of Control Offer” .......................................................................... 4.15 “Change of Control Settlement Date” ......................................................... 4.15 “Covenant Defeasance” ............................................................................... 8.03 “Covenant Termination Event”.................................................................... 4.19 “Directing Holder” ...................................................................................... 6.01 “DTC” .......................................................................................................... 2.03 “Event of Default” ....................................................................................... 6.01 “Excess Proceeds” ....................................................................................... 4.10 “incur” ......................................................................................................... 4.09 “Legal Defeasance” ..................................................................................... 8.02 “Limited Condition Transaction” ................................................................ 1.05 “Noteholder Direction” ............................................................................... 6.01 “Offer Amount” ............................................................................................ 3.09 “Offer Period” ............................................................................................. 3.09 “Paying Agent” ............................................................................................ 2.03 “Payment Default” 6.01 “Permitted Debt” ......................................................................................... 4.09


 
32 Defined in Term Section “Position Representation” ........................................................................... 6.01 “Qualifying Reporting Subsidiary” .............................................................. 4.03(c) “Registrar”................................................................................................... 2.03 “Restricted Payments” ................................................................................. 4.07 “Transaction Agreement Date” ................................................................... 1.05 “Verification Covenant” .............................................................................. 6.01 Section 1.03 Incorporation by Reference of Trust Indenture Act. Except as required by law and except for provisions of the TIA expressly referenced or incorporated herein, this Indenture is not subject to the TIA. Section 1.04 Rules of Construction. Unless the context otherwise requires: (1) a term has the meaning assigned to it; (2) an accounting term not otherwise defined has the meaning assigned to it in accordance with GAAP; (3) “or” is not exclusive; (4) words in the singular include the plural, and in the plural include the singular; (5) “will” shall be interpreted to express a command; (6) provisions apply to successive events and transactions; and (7) references to sections of or rules under the Securities Act will be deemed to include substitute, replacement of successor sections or rules adopted by the SEC from time to time. Section 1.05 Limited Condition Transactions; Measuring Compliance. (a) With respect to any (x) Investment or acquisition, in each case, the consummation by the Parent, the Issuer or any Subsidiary of which is not conditioned on the availability of, or on obtaining, third-party financing for such Investment or acquisition (whether by merger, amalgamation, consolidation or other business combination or the acquisition of Capital Stock or otherwise) as applicable and (y) redemption, repurchase, defeasance, satisfaction and discharge or repayment of Indebtedness, Disqualified Stock or preferred stock requiring irrevocable notice in advance of such redemption, repurchase, defeasance, satisfaction and discharge or repayment (any transaction described in this Section 1.05(a)(x) or (y), a “Limited Condition Transaction”), in each case for purposes of determining: (1) whether any Indebtedness (including Acquired Debt), Disqualified Stock or preferred stock that is being incurred or issued in connection with such Limited Condition Transaction is permitted to be incurred in compliance with the Section 4.09;


 
33 (2) whether any Lien being incurred in connection with such Limited Condition Transaction or to secure any such Indebtedness, Disqualified Stock or preferred stock is permitted to be incurred in accordance with the covenant described under Section 4.12; (3) whether any other transaction (including any Investment or Restricted Payment) undertaken or proposed to be undertaken in connection with such Limited Condition Transaction complies with the covenants or agreements contained in this Indenture or the Notes; and (4) any calculation of the Consolidated Leverage Ratio, Fixed Charge Coverage Ratio, Consolidated Net Income, Consolidated Cash Flow and/or Consolidated Net Tangible Assets and, whether a Default or Event of Default exists in connection with the foregoing, at the option of the Parent, the date that the definitive agreement (or other relevant definitive documentation) for such Limited Condition Transaction is entered into (the “Transaction Agreement Date”) may be used as the applicable date of determination, as the case may be, in each case with such pro forma adjustments as are appropriate and consistent with the pro forma adjustment provisions set forth in the definition of “Fixed Charge Coverage Ratio” and if the Parent or the Restricted Subsidiaries could have taken such action on the relevant Transaction Agreement Date in compliance with the applicable ratios or other provisions, such provisions shall be deemed to have been complied with. For the avoidance of doubt, if the Parent elects to use the Transaction Agreement Date as the applicable date of determination in accordance with the foregoing, (a) such election may not be revoked, (b) any fluctuation or change in the Consolidated Leverage Ratio, Fixed Charge Coverage Ratio, Consolidated Net Income, Consolidated Cash Flow or Consolidated Net Tangible Assets of the Parent, the target business, or assets to be acquired subsequent to the Transaction Agreement Date and prior to the consummation of such Limited Condition Transaction, will not be taken into account for purposes of determining whether any Investment, Restricted Payment, Indebtedness, Disqualified Stock, preferred stock or Lien that is being made, incurred or issued in connection with such Limited Condition Transaction is permitted to be made, incurred or issued or in connection with compliance by the Parent or any of the Restricted Subsidiaries with any other provision of this Indenture or the Notes or any other action or transaction undertaken in connection with such Limited Condition Transaction and (c) until such Limited Condition Transaction is consummated or the definitive agreements related thereto are terminated, such Limited Condition Transaction and all transactions proposed to be undertaken in connection therewith (including the making of any Restricted Payment, or Investments, or the incurrence of Indebtedness and Liens) will be given pro forma effect when determining compliance of other transactions (including the making of any Restricted Payment, or Investments, or the incurrence or issuance of Indebtedness, Disqualified Stock, preferred stock and Liens unrelated to such Investment, acquisition or repayment, repurchase or refinancing of Indebtedness) that are consummated after the Transaction Agreement Date and on or prior to the consummation of such Limited Condition Transaction and any such transactions (including any incurrence or issuance of Indebtedness, Disqualified Stock or preferred stock and the use of proceeds thereof) will be deemed to have occurred on the Transaction Agreement Date and outstanding thereafter for purposes of calculating any baskets or ratios under this Indenture after the date of such agreement and before the consummation of such Limited Condition Transaction; provided that for purposes of any such calculation of the Fixed Charge Coverage Ratio, consolidated interest expense will be calculated using an assumed interest rate for the Indebtedness to be incurred in connection with such Limited Condition Transaction based on the indicative interest margin contained in any financing commitment documentation with respect to such Indebtedness or, if no such indicative interest margin exists, as reasonably determined by the Parent in good faith.


 
34 ARTICLE II. THE NOTES Section 2.01 Form and Dating. (a) General. The Notes and the Trustee’s certificate of authentication will be substantially in the form of Exhibit A hereto. The Notes may have notations, legends or endorsements required by law, stock exchange rule or usage. Each Note will be dated the date of its authentication. The Notes shall be in minimum denominations of $2,000 and integral multiples of $1,000 in excess thereof. The terms and provisions contained in the Notes will constitute, and are hereby expressly made, a part of this Indenture and the Issuer, the Guarantors and the Trustee, by their execution and delivery of this Indenture, expressly agree to such terms and provisions and to be bound thereby. However, to the extent any provision of any Note conflicts with the express provisions of this Indenture, the provisions of this Indenture shall govern and be controlling. (b) Global Notes. Notes issued in global form will be substantially in the form of Exhibit A hereto (including the Global Note Legend thereon and the “Schedule of Exchanges of Interests in the Global Note” attached thereto). Notes issued in definitive form will be substantially in the form of Exhibit A hereto (but without the Global Note Legend thereon and without the “Schedule of Exchanges of Interests in the Global Note” attached thereto). Each Global Note will represent such of the outstanding Notes as will be specified therein and each shall provide that it represents the aggregate principal amount of outstanding Notes from time to time endorsed thereon and that the aggregate principal amount of outstanding Notes represented thereby may from time to time be reduced or increased, as appropriate, to reflect exchanges and redemptions. Any endorsement of a Global Note to reflect the amount of any increase or decrease in the aggregate principal amount of outstanding Notes represented thereby will be made by the Trustee or the Custodian, at the direction of the Trustee, in accordance with instructions given by the Holder thereof as required by Section 2.06 hereof. Section 2.02 Execution and Authentication. At least one Officer must sign the Notes for the Issuer by manual or facsimile signature. If an Officer whose signature is on a Note no longer holds that office at the time a Note is authenticated, the Note will nevertheless be valid. A Note will not be valid until authenticated by the manual signature of the Trustee. The signature will be conclusive evidence that the Note has been authenticated under this Indenture. The Trustee will, upon receipt of a written order of the Issuer signed by an Officer of the Issuer (an “Authentication Order”), authenticate Notes for original issue that may be validly issued under this Indenture, including any Additional Notes. The aggregate principal amount of Notes outstanding at any time may not exceed the aggregate principal amount of Notes authorized for issuance by the Issuer pursuant to one or more Authentication Orders, except as provided in Section 2.07 hereof. The Trustee may appoint an authenticating agent acceptable to the Issuer to authenticate Notes. An authenticating agent may authenticate Notes whenever the Trustee may do so. Each reference in this Indenture to authentication by the Trustee includes authentication by such agent. An authenticating agent has the same rights as an Agent to deal with Holders or an Affiliate of the Issuer. Section 2.03 Registrar and Paying Agent.


 
35 The Issuer will maintain an office or agency where Notes may be presented for registration of transfer or for exchange (“Registrar”) and an office or agency where Notes may be presented for payment (“Paying Agent”). The Registrar will keep a register of the Notes and of their transfer and exchange. The Issuer may appoint one or more co-registrars and one or more additional paying agents. The term “Registrar” includes any co-registrar and the term “Paying Agent” includes any additional paying agent. The Issuer may change any Paying Agent or Registrar without notice to any Holder. The Issuer will notify the Trustee in writing of the name and address of any Agent not a party to this Indenture. If the Issuer fails to appoint or maintain another entity as Registrar or Paying Agent, the Trustee shall act as such. The Parent or any of the Parent’s Subsidiaries may act as Paying Agent or Registrar. The Issuer initially appoints The Depository Trust Company (“DTC”) to act as Depositary with respect to the Global Notes. The Issuer initially appoints the Trustee to act as the Registrar and Paying Agent (at its offices indicated in the definition of Corporate Trust Office of the Trustee in Section 1.01 hereof) and to act as Custodian with respect to the Global Notes. Section 2.04 Paying Agent to Hold Money in Trust. The Issuer will require each Paying Agent other than the Trustee to agree in writing that the Paying Agent will hold in trust for the benefit of Holders or the Trustee all money held by the Paying Agent for the payment of principal of, premium on, if any, or interest on, the Notes, and will notify the Trustee of any default by the Issuer in making any such payment. While any such default continues, the Trustee may require a Paying Agent to pay all money held by it to the Trustee. The Issuer at any time may require a Paying Agent to pay all money held by it to the Trustee. Upon payment over to the Trustee, the Paying Agent (if other than the Issuer or a Subsidiary) will have no further liability for the money. If the Issuer or a Subsidiary acts as Paying Agent, it will segregate and hold in a separate trust fund for the benefit of the Holders all money held by it as Paying Agent. Upon any bankruptcy or reorganization proceedings relating to the Issuer, the Trustee will serve as Paying Agent for the Notes. Section 2.05 Holder Lists. The Trustee will preserve in as current a form as is reasonably practicable the most recent list available to it of the names and addresses of all Holders. If the Trustee is not the Registrar, the Issuer will furnish to the Trustee at least seven Business Days before each interest payment date and at such other times as the Trustee may request in writing, a list in such form and as of such date as the Trustee may reasonably require of the names and addresses of the Holders of Notes. Section 2.06 Transfer and Exchange. (a) Transfer and Exchange of Global Notes. A Global Note may not be transferred except as a whole by the Depositary to a nominee of the Depositary, by a nominee of the Depositary to the Depositary or to another nominee of the Depositary, or by the Depositary or any such nominee to a successor Depositary or a nominee of such successor Depositary. All Global Notes will be exchanged by the Issuer for Definitive Notes if: (1) the Depositary (A) notifies the Issuer that it is unwilling or unable to continue to act as Depositary or has ceased to be a clearing agency registered under the Exchange Act and, in either case, a successor Depositary is not appointed by the Issuer within 90 days after the date of such notice from the Depositary;


 
36 (2) the Issuer, at its option but subject to the Depositary’s requirements, notifies the Trustee in writing that it elects to cause the issuance of the Definitive Notes; or (3) there has occurred and is continuing an Event of Default, and the Depositary notifies the Trustee of its decision to exchange such Global Note for Definitive Notes. Upon the occurrence of any of the preceding events in (1), (2) or (3) above, Definitive Notes shall be issued in such names as the Depositary shall instruct the Trustee. Global Notes also may be exchanged or replaced, in whole or in part, as provided in Sections 2.07 and 2.10 hereof. Every Note authenticated and delivered in exchange for, or in lieu of, a Global Note or any portion thereof, pursuant to this Section 2.06 or Section 2.07 or 2.10 hereof, shall be authenticated and delivered in the form of, and shall be, a Global Note. A Global Note may not be exchanged for another Note other than as provided in this Section 2.06(a), however, beneficial interests in a Global Note may be transferred and exchanged as provided in Section 2.06(b) or (c) hereof. (b) Transfer and Exchange of Beneficial Interests in the Global Notes. The transfer and exchange of beneficial interests in the Global Notes will be effected through the Depositary, in accordance with the provisions of this Indenture and the Applicable Procedures. Beneficial interests in the Restricted Global Notes will be subject to restrictions on transfer comparable to those set forth herein to the extent required by the Securities Act. Transfers of beneficial interests in the Global Notes also will require compliance with either subparagraph (1) or (2) below, as applicable, as well as one or more of the other following subparagraphs, as applicable: (1) Transfer of Beneficial Interests in the Same Global Note. Beneficial interests in any Restricted Global Note may be transferred to Persons who take delivery thereof in the form of a beneficial interest in the same Restricted Global Note in accordance with the transfer restrictions set forth in the Private Placement Legend; provided, however, that prior to the expiration of the 40th day after the Issue Date (such period through and including such 40th day, the “Restricted Period”), transfers of beneficial interests in the Regulation S Global Note may not be made to a U.S. Person or for the account or benefit of a U.S. Person (other than an Initial Purchaser). Beneficial interests in any Unrestricted Global Note may be transferred to Persons who take delivery thereof in the form of a beneficial interest in an Unrestricted Global Note. No written orders or instructions shall be required to be delivered to the Registrar to effect the transfers described in this Section 2.06(b)(1). (2) All Other Transfers and Exchanges of Beneficial Interests in Global Notes. In connection with all transfers and exchanges of beneficial interests that are not subject to Section 2.06(b)(1) above, the transferor of such beneficial interest must deliver to the Registrar either: (A) both: (i) a written order from a Participant or an Indirect Participant given to the Depositary in accordance with the Applicable Procedures directing the Depositary to credit or cause to be credited a beneficial interest in another Global Note in an amount equal to the beneficial interest to be transferred or exchanged; and (ii) instructions given in accordance with the Applicable Procedures containing information regarding the Participant account to be credited with such increase; or


 
37 (B) both: (i) a written order from a Participant or an Indirect Participant given to the Depositary in accordance with the Applicable Procedures directing the Depositary to cause to be issued a Definitive Note in an amount equal to the beneficial interest to be transferred or exchanged; and (ii) instructions given by the Depositary to the Registrar containing information regarding the Person in whose name such Definitive Note shall be registered to effect the transfer or exchange referred to in (1) above; Upon satisfaction of all of the requirements for transfer or exchange of beneficial interests in Global Notes contained in this Indenture and the Notes or otherwise applicable under the Securities Act, the Trustee shall adjust the principal amount of the relevant Global Note(s) pursuant to Section 2.06(h) hereof. (3) Transfer of Beneficial Interests to Another Restricted Global Note. A beneficial interest in any Restricted Global Note may be transferred to a Person who takes delivery thereof in the form of a beneficial interest in another Restricted Global Note if the transfer complies with the requirements of Section 2.06(b)(2) above and the Registrar receives the following: (A) if the transferee will take delivery in the form of a beneficial interest in the 144A Global Note, then the transferor must deliver a certificate in the form of Exhibit B hereto, including the certifications in item (1) thereof; (B) if the transferee will take delivery in the form of a beneficial interest in the Regulation S Global Note, then the transferor must deliver a certificate in the form of Exhibit B hereto, including the certifications in item (2) thereof; and (C) if the transferee will take delivery in the form of a beneficial interest in the IAI Global Note, then the transferor must deliver a certificate in the form of Exhibit B hereto, including the certifications, certificates and Opinion of Counsel required by item (3)(d) thereof, if applicable. (4) Transfer and Exchange of Beneficial Interests in a Restricted Global Note for Beneficial Interests in an Unrestricted Global Note. A beneficial interest in any Restricted Global Note may be exchanged by any holder thereof for a beneficial interest in an Unrestricted Global Note or transferred to a Person who takes delivery thereof in the form of a beneficial interest in an Unrestricted Global Note if the exchange or transfer complies with the requirements of Section 2.06(b)(2) above and the Registrar receives the following: (A) if the holder of such beneficial interest in a Restricted Global Note proposes to exchange such beneficial interest for a beneficial interest in an Unrestricted Global Note, a certificate from such holder in the form of Exhibit C hereto, including the certifications in item (1)(a) thereof; or (B) if the holder of such beneficial interest in a Restricted Global Note proposes to transfer such beneficial interest to a Person who shall take delivery thereof in the form of a beneficial interest in an Unrestricted Global Note, a certificate from such holder in the form of Exhibit B hereto, including the certifications in item (4) thereof;


 
38 and, in each such case set forth in this Section 2.06(b)(4), if the Registrar so requests or if the Applicable Procedures so require, an Opinion of Counsel in form reasonably acceptable to the Registrar to the effect that such exchange or transfer is in compliance with the Securities Act and that the restrictions on transfer contained herein and in the Private Placement Legend are no longer required in order to maintain compliance with the Securities Act. If any such transfer is effected pursuant to subparagraph (A) or (B) above at a time when an Unrestricted Global Note has not yet been issued, the Issuer shall issue and, upon receipt of an Authentication Order in accordance with Section 2.02 hereof, the Trustee shall authenticate one or more Unrestricted Global Notes in an aggregate principal amount equal to the aggregate principal amount of beneficial interests transferred pursuant to subparagraph (A) or (B) above. Beneficial interests in an Unrestricted Global Note cannot be exchanged for, or transferred to Persons who take delivery thereof in the form of, a beneficial interest in a Restricted Global Note. (c) Transfer or Exchange of Beneficial Interests for Definitive Notes. (1) Beneficial Interests in Restricted Global Notes to Restricted Definitive Notes. If any holder of a beneficial interest in a Restricted Global Note proposes to exchange such beneficial interest for a Restricted Definitive Note or to transfer such beneficial interest to a Person who takes delivery thereof in the form of a Restricted Definitive Note, then, upon receipt by the Registrar of the following documentation: (A) if the holder of such beneficial interest in a Restricted Global Note proposes to exchange such beneficial interest for a Restricted Definitive Note, a certificate from such holder in the form of Exhibit C hereto, including the certifications in item (2)(a) thereof; (B) if such beneficial interest is being transferred to a QIB in accordance with Rule 144A, a certificate to the effect set forth in Exhibit B hereto, including the certifications in item (1) thereof; (C) if such beneficial interest is being transferred to a Non-U.S. Person in an offshore transaction in accordance with Rule 903 or Rule 904, a certificate to the effect set forth in Exhibit B hereto, including the certifications in item (2) thereof; (D) if such beneficial interest is being transferred pursuant to an exemption from the registration requirements of the Securities Act in accordance with Rule 144, a certificate to the effect set forth in Exhibit B hereto, including the certifications in item (3)(a) thereof; (E) if such beneficial interest is being transferred to an Institutional Accredited Investor in reliance on an exemption from the registration requirements of the Securities Act other than those listed in subparagraphs (B) through (D) above, a certificate to the effect set forth in Exhibit B hereto, including the certifications, certificates and Opinion of Counsel required by item (3)(d) thereof, if applicable; (F) if such beneficial interest is being transferred to the Parent or any of the Parent’s Subsidiaries, a certificate to the effect set forth in Exhibit B hereto, including the certifications in item (3)(b) thereof; or


 
39 (G) if such beneficial interest is being transferred pursuant to an effective registration statement under the Securities Act, a certificate to the effect set forth in Exhibit B hereto, including the certifications in item (3)(c) thereof, the Trustee shall cause the aggregate principal amount of the applicable Global Note to be reduced accordingly pursuant to Section 2.06(h) hereof, and the Issuer shall execute and the Trustee shall authenticate and deliver to the Person designated in the instructions a Definitive Note in the appropriate principal amount. Any Definitive Note issued in exchange for a beneficial interest in a Restricted Global Note pursuant to this Section 2.06(c) shall be registered in such name or names and in such authorized denomination or denominations as the holder of such beneficial interest shall instruct the Registrar through instructions from the Depositary and the Participant or Indirect Participant. The Trustee shall deliver such Definitive Notes to the Persons in whose names such Notes are so registered. Any Definitive Note issued in exchange for a beneficial interest in a Restricted Global Note pursuant to this Section 2.06(c)(1) shall bear the Private Placement Legend and shall be subject to all restrictions on transfer contained therein. (2) Beneficial Interests in Restricted Global Notes to Unrestricted Definitive Notes. A holder of a beneficial interest in a Restricted Global Note may exchange such beneficial interest for an Unrestricted Definitive Note or may transfer such beneficial interest to a Person who takes delivery thereof in the form of an Unrestricted Definitive Note only if the Registrar receives the following: (A) if the holder of such beneficial interest in a Restricted Global Note proposes to exchange such beneficial interest for an Unrestricted Definitive Note, a certificate from such holder in the form of Exhibit C hereto, including the certifications in item (1)(b) thereof; or (B) if the holder of such beneficial interest in a Restricted Global Note proposes to transfer such beneficial interest to a Person who shall take delivery thereof in the form of an Unrestricted Definitive Note, a certificate from such holder in the form of Exhibit B hereto, including the certifications in item (4) thereof; and, in each such case set forth in this Section 2.06(c)(2), if the Registrar so requests or if the Applicable Procedures so require, an Opinion of Counsel in form reasonably acceptable to the Registrar to the effect that such exchange or transfer is in compliance with the Securities Act and that the restrictions on transfer contained herein and in the Private Placement Legend are no longer required in order to maintain compliance with the Securities Act. (3) Beneficial Interests in Unrestricted Global Notes to Unrestricted Definitive Notes. If any holder of a beneficial interest in an Unrestricted Global Note proposes to exchange such beneficial interest for a Definitive Note or to transfer such beneficial interest to a Person who takes delivery thereof in the form of a Definitive Note, then, upon satisfaction of the conditions set forth in Section 2.06(b)(2) hereof, the Trustee will cause the aggregate principal amount of the applicable Global Note to be reduced accordingly pursuant to Section 2.06(h) hereof, and the Issuer will execute and the Trustee will authenticate and deliver to the Person designated in the instructions a Definitive Note in the appropriate principal amount. Any Definitive Note issued in exchange for a beneficial interest pursuant to this Section 2.06(c)(3) will be registered in such name or names and in such authorized denomination or denominations as the holder of such beneficial interest requests through instructions to the Registrar from or through the Depositary and the Participant or Indirect Participant. The Trustee will deliver such Definitive Notes to the Persons in whose names such Notes are so registered. Any Definitive


 
40 Note issued in exchange for a beneficial interest pursuant to this Section 2.06(c)(3) will not bear the Private Placement Legend. (d) Transfer and Exchange of Definitive Notes for Beneficial Interests. (1) Restricted Definitive Notes to Beneficial Interests in Restricted Global Notes. If any Holder of a Restricted Definitive Note proposes to exchange such Note for a beneficial interest in a Restricted Global Note or to transfer such Restricted Definitive Notes to a Person who takes delivery thereof in the form of a beneficial interest in a Restricted Global Note, then, upon receipt by the Registrar of the following documentation: (A) if the Holder of such Restricted Definitive Note proposes to exchange such Note for a beneficial interest in a Restricted Global Note, a certificate from such Holder in the form of Exhibit C hereto, including the certifications in item (2)(b) thereof; (B) if such Restricted Definitive Note is being transferred to a QIB in accordance with Rule 144A, a certificate to the effect set forth in Exhibit B hereto, including the certifications in item (1) thereof; (C) if such Restricted Definitive Note is being transferred to a Non-U.S. Person in an offshore transaction in accordance with Rule 903 or Rule 904, a certificate to the effect set forth in Exhibit B hereto, including the certifications in item (2) thereof; (D) if such Restricted Definitive Note is being transferred pursuant to an exemption from the registration requirements of the Securities Act in accordance with Rule 144, a certificate to the effect set forth in Exhibit B hereto, including the certifications in item (3)(a) thereof; (E) if such Restricted Definitive Note is being transferred to an Institutional Accredited Investor in reliance on an exemption from the registration requirements of the Securities Act other than those listed in subparagraphs (B) through (D) above, a certificate to the effect set forth in Exhibit B hereto, including the certifications, certificates and Opinion of Counsel required by item (3)(d) thereof, if applicable; (F) if such Restricted Definitive Note is being transferred to the Parent or any of the Parent’s Subsidiaries, a certificate to the effect set forth in Exhibit B hereto, including the certifications in item (3)(b) thereof; or (G) if such Restricted Definitive Note is being transferred pursuant to an effective registration statement under the Securities Act, a certificate to the effect set forth in Exhibit B hereto, including the certifications in item (3)(c) thereof, the Trustee will cancel the Restricted Definitive Note, increase or cause to be increased the aggregate principal amount of, in the case of clause (A) above, the appropriate Restricted Global Note, and in the case of clause (B) above, the 144A Global Note, in the case of clause (C) above, the Regulation S Global Note, and in all other cases, the IAI Global Note. (2) Restricted Definitive Notes to Beneficial Interests in Unrestricted Global Notes. A Holder of a Restricted Definitive Note may exchange such Note for a beneficial interest in an Unrestricted Global Note or transfer such Restricted Definitive Note to a Person who takes


 
41 delivery thereof in the form of a beneficial interest in an Unrestricted Global Note only if the Registrar receives the following: (A) if the Holder of such Definitive Notes proposes to exchange such Notes for a beneficial interest in the Unrestricted Global Note, a certificate from such Holder in the form of Exhibit C hereto, including the certifications in item (1)(c) thereof; or (B) if the Holder of such Definitive Notes proposes to transfer such Notes to a Person who shall take delivery thereof in the form of a beneficial interest in the Unrestricted Global Note, a certificate from such Holder in the form of Exhibit B hereto, including the certifications in item (4) thereof; and, in each such case set forth in this Section 2.06(d)(2), if the Registrar so requests or if the Applicable Procedures so require, an Opinion of Counsel in form reasonably acceptable to the Registrar to the effect that such exchange or transfer is in compliance with the Securities Act and that the restrictions on transfer contained herein and in the Private Placement Legend are no longer required in order to maintain compliance with the Securities Act. Upon satisfaction of the conditions of any of the subparagraphs in this Section 2.06(d)(2), the Trustee will cancel the Definitive Notes and increase or cause to be increased the aggregate principal amount of the Unrestricted Global Note. (3) Unrestricted Definitive Notes to Beneficial Interests in Unrestricted Global Notes. A Holder of an Unrestricted Definitive Note may exchange such Note for a beneficial interest in an Unrestricted Global Note or transfer such Definitive Notes to a Person who takes delivery thereof in the form of a beneficial interest in an Unrestricted Global Note at any time. Upon receipt of a request for such an exchange or transfer, the Trustee will cancel the applicable Unrestricted Definitive Note and increase or cause to be increased the aggregate principal amount of one of the Unrestricted Global Notes. If any such exchange or transfer from a Definitive Note to a beneficial interest is effected pursuant to subparagraphs (2) or (3) above at a time when an Unrestricted Global Note has not yet been issued, the Issuer will issue and, upon receipt of an Authentication Order in accordance with Section 2.02 hereof, the Trustee will authenticate one or more Unrestricted Global Notes in an aggregate principal amount equal to the principal amount of Definitive Notes so transferred. (e) Transfer and Exchange of Definitive Notes for Definitive Notes. Upon request by a Holder of Definitive Notes and such Holder’s compliance with the provisions of this Section 2.06(e), the Registrar will register the transfer or exchange of Definitive Notes. Prior to such registration of transfer or exchange, the requesting Holder must present or surrender to the Registrar the Definitive Notes duly endorsed or accompanied by a written instruction of transfer in form satisfactory to the Registrar duly executed by such Holder or by its attorney, duly authorized in writing. In addition, the requesting Holder must provide any additional certifications, documents and information, as applicable, required pursuant to the following provisions of this Section 2.06(e). (1) Restricted Definitive Notes to Restricted Definitive Notes. Any Restricted Definitive Note may be transferred to and registered in the name of Persons who take delivery thereof in the form of a Restricted Definitive Note if the Registrar receives the following:


 
42 (A) if the transfer will be made pursuant to Rule 144A, then the transferor must deliver a certificate in the form of Exhibit B hereto, including the certifications in item (1) thereof; (B) if the transfer will be made pursuant to Rule 903 or Rule 904, then the transferor must deliver a certificate in the form of Exhibit B hereto, including the certifications in item (2) thereof; and (C) if the transfer will be made pursuant to any other exemption from the registration requirements of the Securities Act, then the transferor must deliver a certificate in the form of Exhibit B hereto, including the certifications, certificates and Opinion of Counsel required by item (3)(d) thereof, if applicable. (2) Restricted Definitive Notes to Unrestricted Definitive Notes. Any Restricted Definitive Note may be exchanged by the Holder thereof for an Unrestricted Definitive Note or transferred to a Person or Persons who take delivery thereof in the form of an Unrestricted Definitive Note if the Registrar receives the following: (A) if the Holder of such Restricted Definitive Notes proposes to exchange such Notes for an Unrestricted Definitive Note, a certificate from such Holder in the form of Exhibit C hereto, including the certifications in item (1)(d) thereof; or (B) if the Holder of such Restricted Definitive Notes proposes to transfer such Notes to a Person who shall take delivery thereof in the form of an Unrestricted Definitive Note, a certificate from such Holder in the form of Exhibit B hereto, including the certifications in item (4) thereof; and, in each such case set forth in this Section 2.06(e)(2), if the Registrar so requests, an Opinion of Counsel in form reasonably acceptable to the Registrar to the effect that such exchange or transfer is in compliance with the Securities Act and that the restrictions on transfer contained herein and in the Private Placement Legend are no longer required in order to maintain compliance with the Securities Act. (3) Unrestricted Definitive Notes to Unrestricted Definitive Notes. A Holder of Unrestricted Definitive Notes may transfer such Notes to a Person who takes delivery thereof in the form of an Unrestricted Definitive Note. Upon receipt of a request to register such a transfer, the Registrar shall register the Unrestricted Definitive Notes pursuant to the instructions from the Holder thereof. (f) [Reserved]. (g) Legends. The following legends will appear on the face of all Global Notes and Definitive Notes issued under this Indenture unless specifically stated otherwise in the applicable provisions of this Indenture. (1) Private Placement Legend. (A) Except as permitted by subparagraph (B) below, each Global Note and each Definitive Note (and all Notes issued in exchange therefor or substitution thereof) shall bear the legend in substantially the following form:


 
43 “THIS NOTE HAS NOT BEEN REGISTERED UNDER THE SECURITIES ACT OF 1933, AS AMENDED (THE “SECURITIES ACT”), OR THE SECURITIES LAWS OF ANY STATE OR OTHER JURISDICTION. NEITHER THIS NOTE NOR ANY INTEREST OR PARTICIPATION HEREIN MAY BE REOFFERED, SOLD, ASSIGNED, TRANSFERRED, PLEDGED, ENCUMBERED OR OTHERWISE DISPOSED OF IN THE ABSENCE OF SUCH REGISTRATION UNLESS SUCH TRANSACTION IS EXEMPT FROM, OR NOT SUBJECT TO, SUCH REGISTRATION. THE HOLDER OF THIS NOTE, BY ITS ACCEPTANCE HEREOF, AGREES ON ITS OWN BEHALF AND ON BEHALF OF ANY INVESTOR ACCOUNT FOR WHICH IT HAS PURCHASED SECURITIES, TO OFFER, SELL OR OTHERWISE TRANSFER SUCH NOTE, PRIOR TO THE DATE (THE “RESALE RESTRICTION TERMINATION DATE”) THAT IS ONE YEAR (IN THE CASE OF RULE 144A SECURITIES) AFTER THE LATER OF THE ISSUE DATE HEREOF AND THE LAST DATE ON WHICH THE ISSUER OR ANY AFFILIATE OF THE ISSUER WAS THE OWNER OF THIS NOTE (OR ANY PREDECESSOR OF SUCH NOTE) OR 40 DAYS (IN THE CASE OF REGULATION S SECURITIES), ONLY (A) TO THE ISSUER, (B) PURSUANT TO A REGISTRATION STATEMENT THAT HAS BEEN DECLARED EFFECTIVE UNDER THE SECURITIES ACT, (C) FOR SO LONG AS THE SECURITIES ARE ELIGIBLE FOR RESALE PURSUANT TO RULE 144A UNDER THE SECURITIES ACT, TO A PERSON IT REASONABLY BELIEVES IS A “QUALIFIED INSTITUTIONAL BUYER” AS DEFINED IN RULE 144A UNDER THE SECURITIES ACT THAT PURCHASES FOR ITS OWN ACCOUNT OR FOR THE ACCOUNT OF A QUALIFIED INSTITUTIONAL BUYER TO WHOM NOTICE IS GIVEN THAT THE TRANSFER IS BEING MADE IN RELIANCE ON RULE 144A, (D) PURSUANT TO OFFERS AND SALES THAT OCCUR OUTSIDE THE UNITED STATES WITHIN THE MEANING OF REGULATION S UNDER THE SECURITIES ACT, (E) TO AN INSTITUTIONAL “ACCREDITED INVESTOR” WITHIN THE MEANING OF RULE 501 (a)(1), (2), (3) OR (7) UNDER THE SECURITIES ACT THAT IS AN INSTITUTIONAL ACCREDITED INVESTOR ACQUIRING THE NOTE FOR ITS OWN ACCOUNT OR FOR THE ACCOUNT OF SUCH AN INSTITUTIONAL ACCREDITED INVESTOR, IN EACH CASE IN A MINIMUM PRINCIPAL AMOUNT OF THE SECURITIES OF $250,000, FOR INVESTMENT PURPOSES AND NOT WITH A VIEW TO OR FOR OFFER OR SALE IN CONNECTION WITH ANY DISTRIBUTION IN VIOLATION OF THE SECURITIES ACT OR (F) PURSUANT TO ANOTHER AVAILABLE EXEMPTION FROM THE REGISTRATION REQUIREMENTS OF THE SECURITIES ACT, SUBJECT TO THE ISSUER’S AND THE TRUSTEE’S RIGHT PRIOR TO ANY SUCH OFFER, SALE OR TRANSFER PURSUANT TO CLAUSE (D), (E) OR (F) TO REQUIRE THE DELIVERY OF AN OPINION OF COUNSEL, CERTIFICATION AND/OR OTHER INFORMATION SATISFACTORY TO EACH OF THEM. THIS LEGEND WILL BE REMOVED UPON THE REQUEST OF THE HOLDER OR THE ISSUER ON OR AFTER THE RESALE RESTRICTION TERMINATION DATE. BY ITS ACQUISITION OF THIS NOTE, THE HOLDER THEREOF WILL BE DEEMED TO HAVE REPRESENTED AND WARRANTED THAT EITHER (1) NO PORTION OF THE ASSETS USED BY SUCH HOLDER TO ACQUIRE OR HOLD THIS NOTE (OR ANY INTEREST IN THIS NOTE) CONSTITUTES THE ASSETS OF AN EMPLOYEE BENEFIT PLAN THAT IS SUBJECT TO TITLE I OF THE U.S. EMPLOYEE RETIREMENT INCOME SECURITY ACT OF 1974, AS AMENDED (“ERISA”), A PLAN, INDIVIDUAL RETIREMENT ACCOUNT OR OTHER ARRANGEMENT THAT IS SUBJECT TO SECTION 4975 OF THE U.S. INTERNAL REVENUE CODE OF 1986, AS AMENDED (THE “CODE”), OR ANY GOVERNMENTAL PLAN, CHURCH PLAN, NON-U.S. PLAN, OR OTHER PLAN SUBJECT TO OTHER FEDERAL, STATE, LOCAL, NON-U.S. OR OTHER LAWS OR REGULATIONS THAT ARE SIMILAR TO SUCH PROVISIONS OF ERISA OR THE CODE (“SIMILAR LAWS”), OR AN ENTITY WHOSE UNDERLYING ASSETS ARE CONSIDERED TO INCLUDE “PLAN ASSETS” OF SUCH PLAN, ACCOUNT OR ARRANGEMENT, OR (2) THE ACQUISITION, HOLDING AND SUBSEQUENT DISPOSITION OF


 
44 THIS NOTE (OR ANY INTEREST IN THIS NOTE) WILL NOT CONSTITUTE A NON-EXEMPT PROHIBITED TRANSACTION UNDER SECTION 406 OF ERISA OR SECTION 4975 OF THE CODE OR A SIMILAR VIOLATION UNDER ANY APPLICABLE SIMILAR LAWS.” (B) Notwithstanding the foregoing, any Global Note or Definitive Note issued pursuant to subparagraphs (b)(4), (c)(2), (c)(3), (d)(2), (d)(3), (e)(2) or (e)(3) of this Section 2.06 (and all Notes issued in exchange therefor or substitution thereof) will not bear the Private Placement Legend. (2) Global Note Legend. Each Global Note will bear a legend in substantially the following form: “THIS GLOBAL NOTE IS HELD BY THE DEPOSITARY (AS DEFINED IN THE INDENTURE GOVERNING THIS NOTE) OR ITS NOMINEE IN CUSTODY FOR THE BENEFIT OF THE BENEFICIAL OWNERS HEREOF, AND IS NOT TRANSFERABLE TO ANY PERSON UNDER ANY CIRCUMSTANCES EXCEPT THAT (1) THE TRUSTEE MAY MAKE SUCH NOTATIONS HEREON AS MAY BE REQUIRED PURSUANT TO SECTION 2.06 OF THE INDENTURE, (2) THIS GLOBAL NOTE MAY BE EXCHANGED IN WHOLE BUT NOT IN PART PURSUANT TO SECTION 2.06(a) OF THE INDENTURE, (3) THIS GLOBAL NOTE MAY BE DELIVERED TO THE TRUSTEE FOR CANCELLATION PURSUANT TO SECTION 2.11 OF THE INDENTURE AND (4) THIS GLOBAL NOTE MAY BE TRANSFERRED TO A SUCCESSOR DEPOSITARY WITH THE PRIOR WRITTEN CONSENT OF THE ISSUER. UNLESS AND UNTIL IT IS EXCHANGED IN WHOLE OR IN PART FOR NOTES IN DEFINITIVE FORM, THIS NOTE MAY NOT BE TRANSFERRED EXCEPT AS A WHOLE BY THE DEPOSITARY TO A NOMINEE OF THE DEPOSITARY OR BY A NOMINEE OF THE DEPOSITARY TO THE DEPOSITARY OR ANOTHER NOMINEE OF THE DEPOSITARY OR BY THE DEPOSITARY OR ANY SUCH NOMINEE TO A SUCCESSOR DEPOSITARY OR A NOMINEE OF SUCH SUCCESSOR DEPOSITARY. UNLESS THIS CERTIFICATE IS PRESENTED BY AN AUTHORIZED REPRESENTATIVE OF THE DEPOSITORY TRUST COMPANY (55 WATER STREET, NEW YORK, NEW YORK) (“DTC”), TO THE ISSUER OR ITS AGENT FOR REGISTRATION OF TRANSFER, EXCHANGE OR PAYMENT, AND ANY CERTIFICATE ISSUED IS REGISTERED IN THE NAME OF CEDE & CO. OR SUCH OTHER NAME AS MAY BE REQUESTED BY AN AUTHORIZED REPRESENTATIVE OF DTC (AND ANY PAYMENT IS MADE TO CEDE & CO. OR SUCH OTHER ENTITY AS MAY BE REQUESTED BY AN AUTHORIZED REPRESENTATIVE OF DTC), ANY TRANSFER, PLEDGE OR OTHER USE HEREOF FOR VALUE OR OTHERWISE BY OR TO ANY PERSON IS WRONGFUL INASMUCH AS THE REGISTERED OWNER HEREOF, CEDE & CO., HAS AN INTEREST HEREIN.” (h) Cancellation and/or Adjustment of Global Notes. At such time as all beneficial interests in a particular Global Note have been exchanged for beneficial interests in another Global Note or Definitive Notes, or a particular Global Note has been redeemed, repurchased or canceled in whole and not in part, each such Global Note will be returned to or retained and canceled by the Trustee in accordance with Section 2.11 hereof. At any time prior to such cancellation, if any beneficial interest in a Global Note is exchanged for or transferred to a Person who will take delivery thereof in the form of a beneficial interest in another Global Note or for Definitive Notes, the principal amount of Notes represented by such Global Note will be reduced accordingly and an endorsement will be made on such Global Note by the Trustee or by the Depositary at the direction of the Trustee to reflect such reduction; and if the beneficial interest is being exchanged for or transferred to a Person who will take delivery thereof in the form of a beneficial interest in another Global Note, such other Global Note will be


 
45 increased accordingly and an endorsement will be made on such Global Note by the Trustee or by the Depositary at the direction of the Trustee to reflect such increase. (i) General Provisions Relating to Transfers and Exchanges. (1) To permit registrations of transfers and exchanges, the Issuer will execute and the Trustee will authenticate Global Notes and Definitive Notes upon receipt of an Authentication Order in accordance with Section 2.02 hereof or at the Registrar’s request. (2) No service charge will be made to a Holder of a beneficial interest in a Global Note or to a Holder of a Definitive Note for any registration of transfer or exchange, but the Issuer may require payment of a sum sufficient to cover any transfer tax or similar governmental charge payable in connection therewith (other than any such transfer taxes or similar governmental charge payable upon exchange or transfer pursuant to Sections 2.10, 3.06, 3.09, 4.10, 4.15 and 9.05 hereof). (3) The Registrar will not be required to register the transfer of or exchange of any Note selected for redemption in whole or in part, except the unredeemed portion of any Note being redeemed in part. (4) All Global Notes and Definitive Notes issued upon any registration of transfer or exchange of Global Notes or Definitive Notes will be the valid obligations of the Issuer, evidencing the same debt, and entitled to the same benefits under this Indenture, as the Global Notes or Definitive Notes surrendered upon such registration of transfer or exchange. (5) Neither the Registrar nor the Issuer will be required: (A) to issue, to register the transfer of or to exchange any Notes during a period beginning at the opening of business 15 days before the day of any selection of Notes for redemption under Section 3.02 hereof and ending at the close of business on the day of selection; (B) to register the transfer of or to exchange any Note selected for redemption in whole or in part, except the unredeemed portion of any Note being redeemed in part; or (C) to register the transfer of or to exchange a Note between a record date and the next succeeding interest payment date. (6) Prior to due presentment for the registration of a transfer of any Note, the Trustee, any Agent and the Issuer may deem and treat the Person in whose name any Note is registered as the absolute owner of such Note for the purpose of receiving payment of principal of and interest on such Notes and for all other purposes, and none of the Trustee, any Agent or the Issuer shall be affected by notice to the contrary. (7) The Trustee will authenticate Global Notes and Definitive Notes in accordance with the provisions of Section 2.02 hereof. (8) All certifications, certificates and Opinions of Counsel required to be submitted to the Registrar pursuant to this Section 2.06 to effect a registration of transfer or exchange may be submitted by facsimile or electronic image scan.


 
46 (9) Neither the Trustee nor any agent of the Trustee shall have any obligation or duty to monitor, determine or inquire as to compliance with any restrictions on transfer imposed under this Indenture or under applicable law with respect to any transfer of any interest in any Note (including any transfers of any interest in a Global Note between or among Participants or Beneficial Owners of any such interest) other than to require delivery of such certificates and other documentation or evidence as are expressly required by, and to do so if and when expressly required by the terms of, this Indenture, and to examine the same to determine substantial compliance as to form with the express requirements hereof. (10) The Trustee will have no responsibility or obligation to any Beneficial Owner of any interest in a Global Note, a Participant or any other Person with respect to the accuracy of the records of the Depositary or its nominee or of any Participant, with respect to any ownership interest in the Notes or with respect to the delivery to any Participant, Beneficial Owner or other Person (other than the Depositary or any Holder) of any notice or the payment of any amount, under or with respect to the Notes. All notices and communications to be given to the Holders and all payments to be made to the Holders under the Notes and this Indenture will be given or made only to the registered Holders (which will be the Depositary or its nominee in the case of a Global Note). The rights of Beneficial Owners of any interest in a Global Note will be exercised only through the Procedures of the Depositary. The Trustee may rely and will be fully protected in relying on information furnished by the Depositary with respect to its Participants and any Beneficial Owners. (11) The transferor of any Note shall provide or cause to be provided to the Trustee all information necessary to allow the Trustee to comply with any applicable tax reporting obligations, including without limitation any cost basis reporting obligations under Section 6045 of the Code. The Trustee may rely on information provided to it and shall have no responsibility to verify or ensure the accuracy of such information. In connection with any proposed exchange of a Definitive Note for a Global Note, the Issuer or the Depositary shall be required to provide or cause to be provided to the Trustee all information necessary to allow the Trustee to comply with any applicable tax reporting obligations, including without limitation any cost basis reporting obligations under Section 6045 of the Code. The Trustee may rely on information provided to it and shall have no responsibility to verify or ensure the accuracy of such information. Section 2.07 Replacement Notes. If any mutilated Note is surrendered to the Trustee or the Issuer and the Trustee receives evidence to its satisfaction of the destruction, loss or theft of any Note, the Issuer will issue and the Trustee, upon receipt of an Authentication Order, will authenticate a replacement Note if the Trustee’s requirements are met. An indemnity bond must be supplied by the Holder that is sufficient in the judgment of each of the Trustee and the Issuer to protect the Issuer, the Trustee, any Agent and any authenticating agent from any loss that any of them may suffer if a Note is replaced. The Issuer may charge for its expenses in replacing a Note. Every replacement Note is an additional obligation of the Issuer and will be entitled to all of the benefits of this Indenture equally and proportionately with all other Notes duly issued hereunder. Section 2.08 Outstanding Notes. The Notes outstanding at any time are all the Notes authenticated by the Trustee except for those canceled by it, those delivered to it for cancellation, those reductions in the interest in a Global Note effected by the Trustee in accordance with the provisions hereof, and those described in this Section 2.08


 
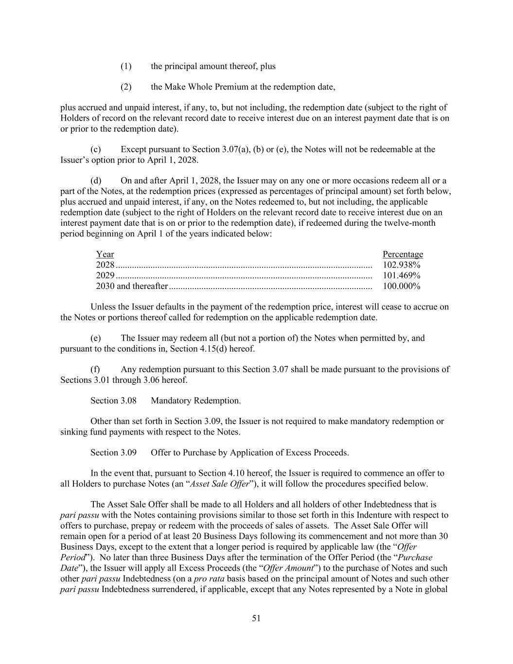
47 as not outstanding. Except as set forth in Section 2.09 hereof, a Note does not cease to be outstanding because the Issuer or an Affiliate of the Issuer holds the Note, however, Notes held by the Parent or a Subsidiary of the Parent shall not be deemed to be outstanding for purposes of Section 3.07(a) hereof. If a Note is replaced pursuant to Section 2.07 hereof, it ceases to be outstanding unless the Trustee receives proof satisfactory to it that the replaced Note is held by a protected purchaser. If the principal amount of any Note is considered paid under Section 4.01 hereof, it ceases to be outstanding and interest on it ceases to accrue. If the Paying Agent (other than the Issuer, a Subsidiary or an Affiliate of any thereof) holds, by 10:00 a.m. Eastern Time on a redemption date or other maturity date, money sufficient to pay Notes payable on that date, then on and after that date such Notes will be deemed to be no longer outstanding and will cease to accrue interest. Section 2.09 Treasury Notes. In determining whether the Holders of the required principal amount of Notes have concurred in any direction, waiver or consent, Notes owned by the Issuer or any Guarantor, or by any Person directly or indirectly controlling or controlled by or under direct or indirect common control with the Issuer or any Guarantor, will be considered as though not outstanding, except that for the purposes of determining whether the Trustee will be protected in relying on any such direction, waiver or consent, only Notes that a Responsible Officer of the Trustee actually knows are so owned will be so disregarded. Section 2.10 Temporary Notes. Until certificates representing Notes are ready for delivery, the Issuer may prepare and the Trustee, upon receipt of an Authentication Order, will authenticate temporary Notes. Temporary Notes will be substantially in the form of certificated Notes but may have variations that the Issuer considers appropriate for temporary Notes and as may be reasonably acceptable to the Trustee. Without unreasonable delay, the Issuer will prepare and the Trustee will authenticate definitive Notes in exchange for temporary Notes. Holders of temporary Notes will be entitled to all of the benefits of this Indenture. Section 2.11 Cancellation. The Issuer at any time may deliver Notes to the Trustee for cancellation. The Registrar and Paying Agent will forward to the Trustee any Notes surrendered to them for registration of transfer, exchange or payment. The Trustee and no one else will cancel all Notes surrendered for registration of transfer, exchange, payment, replacement or cancellation and will dispose of canceled Notes in accordance with the Trustee’s customary procedures. Certification of the destruction of all canceled Notes will be delivered to the Issuer upon written request. The Issuer may not issue new Notes to replace Notes that it has paid or that have been delivered to the Trustee for cancellation. Section 2.12 Defaulted Interest. If the Issuer defaults in a payment of interest on the Notes, they will pay the defaulted interest in any lawful manner plus, to the extent lawful, interest payable on the defaulted interest, to the Persons who are Holders on a subsequent special record date, in each case at the rate provided in the Notes and in Section 4.01 hereof, provided that no special record date shall be required with respect to a payment of


 
48 interest that is made within the applicable grace period. The Issuer will notify the Trustee in writing of the amount of defaulted interest proposed to be paid on each Note and the date of the proposed payment. The Issuer will fix or cause to be fixed each such special record date and payment date; provided that no such special record date may be less than 10 days prior to the related payment date for such defaulted interest. At least 15 days before the special record date, the Issuer (or, upon the written request of the Issuer, the Trustee in the name and at the expense of the Issuer) will send to Holders a notice that states the special record date, the related payment date and the amount of such interest to be paid. The Trustee will not have any duty to determine whether any defaulted interest is payable or the amount thereof. ARTICLE III. REDEMPTION AND PREPAYMENT Section 3.01 Notices to Trustee. If the Issuer elects to redeem Notes pursuant to the optional redemption provisions of Section 3.07 hereof, they must furnish to the Trustee, at least five Business Days prior to the giving of notice of redemption pursuant to Section 3.03 hereof, a notice in writing setting forth: (1) the clause of this Indenture pursuant to which the redemption shall occur and the conditions precedent, if any, to the redemption; (2) the redemption date; (3) the principal amount of Notes to be redeemed; and (4) the redemption price (if then determined and otherwise the method of determination). Section 3.02 Selection of Notes to Be Redeemed. If less than all of the Notes are to be redeemed at any time, the Trustee will select Notes for redemption on a pro rata basis (or, in the case of Notes issued in global form pursuant to Article 2 hereof, by such method as DTC may require), unless otherwise required by law. In the event of partial redemption, the particular Notes to be redeemed will be selected, unless otherwise provided herein, not less than 30 nor more than 60 days prior to the redemption date by the Trustee from the outstanding Notes not previously called for redemption. The Trustee will promptly notify the Issuer in writing of the Notes selected for redemption and, in the case of any Note selected for partial redemption, the principal amount thereof to be redeemed. Notes and portions of Notes selected will be in amounts of $2,000 or whole multiples of $1,000 in excess thereof; except that if all of the Notes of a Holder are to be redeemed, the entire outstanding amount of Notes held by such Holder shall be redeemed. Except as provided in the preceding sentence, provisions of this Indenture that apply to Notes called for redemption also apply to portions of Notes called for redemption. Section 3.03 Notice of Redemption. (a) At least 30 days but not more than 60 days before a redemption date, the Issuer will send a notice of redemption to each Holder whose Notes are to be redeemed at its registered address, except that redemption notices may be sent more than 60 days prior to a redemption date if the notice is issued in


 
49 connection with a defeasance of the Notes or a satisfaction and discharge of this Indenture pursuant to Article 8 or 11 hereof, respectively. The notice will identify the Notes, including CUSIP numbers, to be redeemed and will state: (1) the redemption date; (2) the redemption price (if then determined and otherwise the method of determination); (3) if any Note is being redeemed in part, the portion of the principal amount of such Note to be redeemed and that, after the redemption date upon surrender of such Note, a new Note or Notes in principal amount equal to the unredeemed portion will be issued in the name of the Holder thereof upon cancellation of the original Note; (4) the name and address of the Paying Agent; (5) that Notes called for redemption must be surrendered to the Paying Agent to collect the redemption price; (6) that, unless the Issuer defaults in making such redemption payment or the redemption is subject to conditions precedent that are not satisfied prior to the redemption date, interest on Notes or portions thereof called for redemption ceases to accrue on and after the redemption date; (7) the paragraph of the Notes and/or Section of this Indenture pursuant to which the Notes called for redemption are being redeemed and the conditions precedent, if any, to the redemption; and (8) that no representation is made as to the correctness or accuracy of the CUSIP number listed in such notice or printed on the Notes. (b) At the Issuer’s written request, the Trustee will give the notice of redemption in the Issuer’s name and at the Issuer’s expense; provided, however, that the notice delivered to the Trustee pursuant to Section 3.01 hereof requests that the Trustee give such notice of redemption and sets forth the information to be stated in such notice as provided in the preceding paragraph. (c) If such redemption or notice of redemption is subject to satisfaction of one or more conditions precedent, such notice will describe each such condition, and if applicable, will state that, in the Issuer’s discretion, the redemption date may be delayed until such time (including more than 60 days after the date the notice of redemption was mailed or delivered, including by electronic transmission) as any or all such conditions are satisfied (or waived by the Issuer in its sole discretion), or that such redemption may not occur and such notice may be rescinded in the event that any or all such conditions are not satisfied (or waived by the Issuer in its sole discretion) by the redemption date, or by the redemption date as so delayed, or that such notice may be rescinded at any time in the Issuer’s discretion if as determined in good faith by the Issuer, any or all of such conditions will not be satisfied. The Issuer will provide the Trustee with written notice of the satisfaction or waiver of such conditions precedent, the delay of such redemption or the rescission of such notice of redemption prior to the close of business on the Business Day prior to the redemption date in the same manner that the related notice of redemption was given to the Trustee, and the Trustee will send a copy of such notice to the Holders in the same manner that the related notice of redemption was given to such Holders.


 
50 Section 3.04 Effect of Notice of Redemption. Once notice of redemption is given in accordance with Section 3.03 hereof, Notes called for redemption without any condition precedent become irrevocably due and payable on the redemption date at the redemption price. Any redemption or notice of redemption may, at the Issuer’s discretion, be subject to one or more conditions precedent. Any Note called for redemption subject to any conditions precedent, which conditions have become satisfied prior to the redemption date, shall become irrevocably due and payable on the redemption date at the redemption price. Section 3.05 Deposit of Redemption Price. No later than 10:00 a.m. Eastern Time on the redemption date, the Issuer will deposit with the Trustee or with the Paying Agent money sufficient to pay the redemption price of, and accrued interest on, all Notes to be redeemed on that date. The Trustee or the Paying Agent will promptly return to the Issuer any money deposited with the Trustee or the Paying Agent by the Issuer in excess of the amounts necessary to pay the redemption price of, and accrued interest on, all Notes to be redeemed. If the Issuer complies with the provisions of the preceding paragraph, on and after the redemption date, interest will cease to accrue on the Notes or the portions of Notes called for redemption. If a Note is redeemed on or after an interest record date but on or prior to the related interest payment date, then any accrued and unpaid interest shall be paid to the Person in whose name such Note was registered at the close of business on such record date. If any Note called for redemption is not so paid upon surrender for redemption because of the failure of the Issuer to comply with the preceding paragraph, interest shall be paid on the unpaid principal, from the redemption date until such principal is paid, and to the extent lawful on any interest not paid on such unpaid principal, in each case at the rate provided in the Notes and in Section 4.01 hereof. Section 3.06 Notes Redeemed in Part. Upon surrender of a Note that is redeemed in part, the Issuer will issue and, upon receipt of an Authentication Order, the Trustee will authenticate for the Holder at the expense of the Issuer a new Note equal in principal amount to the unredeemed portion of the Note surrendered. Section 3.07 Optional Redemption. (a) At any time prior to April 1, 2028, the Issuer may on any one or more occasions redeem up to 40% of the aggregate principal amount of the Notes issued under this Indenture, but in an amount not greater than the net cash proceeds of one or more Equity Offerings, at a redemption price of 105.875% of the principal amount plus accrued and unpaid interest, if any, to, but not including, the redemption date (subject to the right of Holders of record on the relevant record date to receive interest due on an interest payment date that is on or prior to the redemption date), provided that: (1) at least 50% of the aggregate principal amount of the Notes originally issued under this Indenture remains outstanding immediately after the occurrence of such redemption (excluding Notes held by the Parent and its Subsidiaries); and (2) the redemption occurs within 180 days of the date of the closing of such Equity Offering. (b) At any time prior to April 1, 2028, the Issuer may on any one or more occasions redeem all or part of the Notes, at a redemption price equal to the sum of:


 
51 (1) the principal amount thereof, plus (2) the Make Whole Premium at the redemption date, plus accrued and unpaid interest, if any, to, but not including, the redemption date (subject to the right of Holders of record on the relevant record date to receive interest due on an interest payment date that is on or prior to the redemption date). (c) Except pursuant to Section 3.07(a), (b) or (e), the Notes will not be redeemable at the Issuer’s option prior to April 1, 2028. (d) On and after April 1, 2028, the Issuer may on any one or more occasions redeem all or a part of the Notes, at the redemption prices (expressed as percentages of principal amount) set forth below, plus accrued and unpaid interest, if any, on the Notes redeemed to, but not including, the applicable redemption date (subject to the right of Holders on the relevant record date to receive interest due on an interest payment date that is on or prior to the redemption date), if redeemed during the twelve-month period beginning on April 1 of the years indicated below: Year Percentage 2028 ............................................................................................................... 102.938% 2029 ............................................................................................................... 101.469% 2030 and thereafter ........................................................................................ 100.000% Unless the Issuer defaults in the payment of the redemption price, interest will cease to accrue on the Notes or portions thereof called for redemption on the applicable redemption date. (e) The Issuer may redeem all (but not a portion of) the Notes when permitted by, and pursuant to the conditions in, Section 4.15(d) hereof. (f) Any redemption pursuant to this Section 3.07 shall be made pursuant to the provisions of Sections 3.01 through 3.06 hereof. Section 3.08 Mandatory Redemption. Other than set forth in Section 3.09, the Issuer is not required to make mandatory redemption or sinking fund payments with respect to the Notes. Section 3.09 Offer to Purchase by Application of Excess Proceeds. In the event that, pursuant to Section 4.10 hereof, the Issuer is required to commence an offer to all Holders to purchase Notes (an “Asset Sale Offer”), it will follow the procedures specified below. The Asset Sale Offer shall be made to all Holders and all holders of other Indebtedness that is pari passu with the Notes containing provisions similar to those set forth in this Indenture with respect to offers to purchase, prepay or redeem with the proceeds of sales of assets. The Asset Sale Offer will remain open for a period of at least 20 Business Days following its commencement and not more than 30 Business Days, except to the extent that a longer period is required by applicable law (the “Offer Period”). No later than three Business Days after the termination of the Offer Period (the “Purchase Date”), the Issuer will apply all Excess Proceeds (the “Offer Amount”) to the purchase of Notes and such other pari passu Indebtedness (on a pro rata basis based on the principal amount of Notes and such other pari passu Indebtedness surrendered, if applicable, except that any Notes represented by a Note in global


 
52 form will be selected by such basis as DTC may require) or, if less than the Offer Amount has been tendered, all Notes and other Indebtedness tendered in response to the Asset Sale Offer. Payment for any Notes so purchased will be made in the same manner as interest payments are made. If the Purchase Date is on or after an interest record date and on or before the related interest payment date, any accrued and unpaid interest will be paid to the Person in whose name a Note is registered at the close of business on such record date, and no additional interest will be payable to Holders who tender Notes pursuant to the Asset Sale Offer. Upon the commencement of an Asset Sale Offer, the Issuer will send a notice to each of the Holders, with a copy to the Trustee. The notice will contain all instructions and materials necessary to enable such Holders to tender Notes pursuant to the Asset Sale Offer. The notice, which will govern the terms of the Asset Sale Offer, will state: (1) that the Asset Sale Offer is being made pursuant to this Section 3.09 and Section 4.10 hereof and the length of time the Asset Sale Offer will remain open; (2) the Offer Amount, the purchase price and the expiration date of the Asset Sale Offer; (3) that any Note not tendered or accepted for payment will continue to accrue interest; (4) that, unless the Issuer defaults in making such payment, any Note accepted for payment pursuant to the Asset Sale Offer will cease to accrue interest after the Purchase Date; (5) that Holders electing to have a Note purchased pursuant to an Asset Sale Offer may elect to have Notes purchased in denominations of $2,000 or an integral multiple of $1,000 in excess thereof; (6) that Holders electing to have Notes purchased pursuant to any Asset Sale Offer will be required to surrender the Note, with the form entitled “Option of Holder to Elect Purchase” attached to the Notes completed, or transfer by book-entry transfer, to the Issuer, a depositary, if appointed by the Issuer, or a Paying Agent at the address specified in the notice at least three days before the Purchase Date; (7) that Holders will be entitled to withdraw their election if the Issuer, the Depositary or the Paying Agent, as the case may be, receives, not later than the expiration of the Offer Period, a telegram, electronic image scan, facsimile transmission or letter setting forth the name of the Holder, the principal amount of the Note the Holder delivered for purchase and a statement that such Holder is withdrawing his election to have such Note purchased; (8) that, if the aggregate principal amount of Notes surrendered by Holders thereof exceeds the Offer Amount allocated to the purchase of Notes in the Asset Sale Offer, the Trustee will select the Notes to be purchased on a pro rata basis (except that any Notes represented by a Global Note shall be selected by such method as DTC may require) based on the principal amount of Notes surrendered (with such adjustments as may be deemed appropriate by the Issuer so that only Notes in denominations of $2,000, or an integral multiple of $1,000 in excess thereof, will be purchased); and


 
53 (9) that Holders whose Notes were purchased only in part will be issued new Notes equal in principal amount to the unpurchased portion of the Notes surrendered (or transferred by book-entry transfer). On or before the Purchase Date, the Issuer will, to the extent lawful, accept for payment, on a pro rata basis to the extent necessary, the Notes or portions thereof tendered pursuant to the Asset Sale Offer and required to be purchased pursuant to this Section 3.09 and Section 4.10, or if Notes in an aggregate principal amount less than the Offer Amount allocated to the purchase of Notes in an Asset Sale Offer have been tendered, all Notes tendered, and will deliver or cause to be delivered to the Trustee the Notes properly accepted together with an Officers’ Certificate stating that such Notes or portions thereof were accepted for payment by the Issuer in accordance with the terms of this Section 3.09. The Issuer, the depositary for the Asset Sale Offer or the Paying Agent, as the case may be, will promptly (but in any case not later than five days after the Purchase Date) mail or deliver to each tendering Holder an amount equal to the purchase price of the Notes tendered by such Holder and accepted by the Issuer for purchase, and the Issuer will promptly issue a new Note, and the Trustee, upon receipt of an Authentication Order, will authenticate and mail or deliver (or cause to be transferred by book entry) such new Note to such Holder, in a principal amount equal to any unpurchased portion of the Note surrendered. Any Note not so accepted shall be promptly mailed or delivered by the Issuer to the Holder thereof. The Issuer will publicly announce the results of the Asset Sale Offer on the Purchase Date. ARTICLE IV. COVENANTS Section 4.01 Payment of Notes. The Issuer will pay or cause to be paid the principal of, premium on, if any, and interest on the Notes on the dates and in the manner provided in the Notes. Principal, premium, if any, and interest will be considered paid on the date due if the Paying Agent, if other than the Parent or a Subsidiary of the Parent, holds as of 10:00 a.m. Eastern Time on the due date money deposited by the Issuer in immediately available funds and designated for and sufficient to pay all principal, premium, if any, and interest, if any, then due. The Issuer will pay interest (including post-petition interest in any proceeding under any Bankruptcy Law) on overdue principal at a rate that is 1% higher than the then applicable interest rate on the Notes to the extent lawful; they will pay interest (including post-petition interest in any proceeding under any Bankruptcy Law) on overdue installments of interest (without regard to any applicable grace period), at the same rate to the extent lawful. Section 4.02 Maintenance of Office or Agency. The Issuer will maintain in the City and State of New York, an office or agency (which may be an office of the Trustee or an affiliate of the Trustee or Registrar) where Notes may be surrendered for payment, and they will maintain in the continental United States an office or agency where Notes may be surrendered for registration of transfer or for exchange and where notices and demands to or upon the Issuer in respect of the Notes and this Indenture may be served. The Issuer will give prompt written notice to the Trustee of any change in the location of such office or agency. If at any time the Issuer fails to maintain any such required office or agency or fail to furnish the Trustee with notice of a change in the address thereof, such presentations, surrenders, notices and demands (not including service of process) may be made or served at the Corporate Trust Office of the Trustee.


 
54 The Issuer may also from time to time designate one or more other offices or agencies where the Notes may be presented or surrendered for any or all such purposes and may from time to time rescind such designations; provided, however, that no such designation or rescission will in any manner relieve the Issuer of its obligation to maintain an office or agency in the City and State of New York for purposes of making payments on the Notes. The Issuer will give prompt written notice to the Trustee of any such designation or rescission and of any change in the location of any such other office or agency. Section 4.03 Reports. (a) Whether or not required by the Commission, so long as any Notes are outstanding, the Parent will (a) file with the Commission, (b) make available on its website, Intralinks or other comparable password protection online data system or (c) furnish to the Trustee and, upon its prior request, to any of the Holders or Beneficial Owners of Notes or prospective purchasers of the Notes: (1) within 90 days after the end of each fiscal year (or such longer period as may be permitted by the Commission if the Parent were then subject to Commission reporting requirements), annual financial and other information with respect to the Parent and its Subsidiaries that would be required to be contained in a filing with the Commission on Form 10-K if the Parent were required to file such Form, including a “Management’s Discussion and Analysis of Financial Condition and Results of Operations” and a report on the annual financial statements by the Parent’s independent registered public accountants; (2) within 45 days after the end of each of the first three fiscal quarters (or such longer period as may be permitted by the Commission if the Parent were then subject to Commission reporting requirements), all quarterly financial and other information with respect to the Parent and its Subsidiaries that would be required to be contained in a filing with the Commission on Form 10-Q if the Parent were required to file such Form, including a “Management’s Discussion and Analysis of Financial Condition and Results of Operations”; and (3) within the time period specified for filing current reports on Form 8-K by the Commission, all current reports that would be required to be filed with the Commission on Form 8-K if the Parent were required to file such reports. All such reports will be prepared in all material respects in accordance with all of the rules and regulations applicable to such reports if the Parent is not then subject to the reporting requirements of Section 13 or 15(d) of the Exchange Act. The availability of the foregoing information or reports on the SEC’s website will be deemed to satisfy the foregoing delivery requirements. If the Parent has designated any of its Subsidiaries as Unrestricted Subsidiaries, and such Unrestricted Subsidiaries, individually or taken together, would constitute a Significant Subsidiary, then the quarterly and annual financial information required by the preceding paragraph will include a presentation of selected financial metrics (which selection of metrics shall be in the Parent’s sole discretion) of such Unrestricted Subsidiaries as a group in the “Management’s Discussion and Analysis of Financial Condition and Results of Operations.” (b) Notwithstanding anything to the contrary set forth in this Section 4.03, the Parent may satisfy its obligations in this Section 4.03 with respect to financial information relating to the Parent and its Subsidiaries by furnishing financial information relating to a Parent Entity; provided that the same is accompanied by consolidating information that explains in reasonable detail the differences between the information relating to such Parent Entity (and other Parent Entities included in such information, if any), on the one hand, and the information relating to the Parent and its Restricted Subsidiaries on a standalone


 
55 basis, on the other hand. For the avoidance of doubt, the consolidating information referred to in the proviso in the preceding sentence need not be audited. (c) Notwithstanding anything to the contrary set forth in this Section 4.03, the financial information and reports required to be provided pursuant to this Section 4.03 may be, rather than those of the Parent, those of (a) any successor of the Parent or (b) any Wholly-Owned Restricted Subsidiary of the Parent that, together with its consolidated Subsidiaries, constitutes substantially all of the assets of the Parent and its consolidated Subsidiaries (a “Qualified Reporting Subsidiary”); provided that the same is accompanied by information that explains in reasonable detail the differences between the information relating to such Qualified Reporting Subsidiary, on the one hand, and the information relating to the Parent and its Restricted Subsidiaries on a standalone basis, on the other hand. For the avoidance of doubt, the information referred to in the proviso in the preceding sentence need not be audited. (d) Any and all Defaults or Events of Default arising from a failure to furnish or file in a timely manner a report or certification required by this Section 4.03 shall be deemed cured (and the Parent shall be deemed to be in compliance with this Section 4.03) upon furnishing or filing such report or certification as contemplated by this Section 4.03 (but without regard to the date on which such report or certification is so furnished or filed); provided that such cure shall not otherwise affect the rights of the Holders under Article 6 hereof if the principal, premium, if any, and interest have been accelerated in accordance with the terms of this Indenture and such acceleration has not been rescinded or cancelled prior to such cure. (e) For so long as any Notes remain outstanding, if at any time they are not required to file with the SEC the reports required by paragraph (a) of this Section 4.03, the Issuer and the Guarantors will, to the extent not otherwise satisfied by the Parent pursuant to this Indenture, furnish to the Holders and Beneficial Owners of the Notes and to securities analysts and prospective investors, upon their request, the information required to be delivered pursuant to Rule 144A(d)(4) under the Securities Act. (f) Delivery of such reports, information and documents to the Trustee is for informational purposes only, and the Trustee’s receipt thereof shall not constitute actual or constructive knowledge or notice of any information contained therein or determinable from information contained therein, including each of the Issuer’s and the Guarantors’ compliance with any of its covenants under this Indenture (as to which the Trustee is entitled to rely exclusively on Officers’ Certificates). The Trustee will not be obligated to monitor or confirm, on a continuing basis or otherwise, the Issuer’s compliance (or the Parent’s or any Guarantor’s or any other person’s compliance) with this Section 4.03 or to determine whether such reports, information or documents have been posted on any website, Intralinks or other comparable password protection online data system or filed with the Commission on EDGAR (or other applicable system). Section 4.04 Compliance Certificate. (a) The Parent, Issuer and each other Guarantor shall deliver to the Trustee, within 90 days after the end of each fiscal year, beginning with the fiscal year ending December 31, 2026, an Officers’ Certificate stating that a review of the activities of the Parent and its Subsidiaries during the preceding fiscal year has been made under the supervision of the signing Officers with a view to determining whether the Parent and the Issuer have kept, observed, performed and fulfilled their obligations under this Indenture, and further stating, as to each such Officer signing such certificate, that to the best of his or her knowledge the Parent and the Issuer have kept, observed, performed and fulfilled each and every covenant contained in this Indenture and are not in default in the performance or observance of any of the terms, provisions and conditions of this Indenture (or, if a Default or Event of Default has occurred,


 
56 describing all such Defaults or Events of Default of which he or she may have knowledge and what action the Parent and the Issuer are taking or propose to take with respect thereto). (b) So long as any of the Notes are outstanding, the Issuer will deliver to the Trustee, within ten Business Days upon any Officer of the Parent or the Issuer becoming aware of any Default or Event of Default, a written statement specifying such Default or Event of Default and what action the Issuer is taking or propose to take with respect thereto. Section 4.05 Taxes. The Parent will pay, and will cause each of its Subsidiaries to pay, prior to delinquency, all material taxes, assessments, and governmental levies except such as are contested in good faith and by appropriate proceedings or where the failure to effect such payment is not adverse in any material respect to the Holders of the Notes. Section 4.06 Stay, Extension and Usury Laws. The Issuer and each of the Guarantors covenants (to the extent that it may lawfully do so) that it will not at any time insist upon, plead, or in any manner whatsoever claim or take the benefit or advantage of, any stay, extension or usury law wherever enacted, now or at any time hereafter in force, that may affect the covenants or the performance of this Indenture; and the Issuer and each of the Guarantors (to the extent that it may lawfully do so) hereby expressly waives all benefit or advantage of any such law, and covenants that it will not, by resort to any such law, hinder, delay or impede the execution of any power herein granted to the Trustee, but will suffer and permit the execution of every such power as though no such law has been enacted. Section 4.07 Restricted Payments. (a) The Parent will not, and will not permit any of its Restricted Subsidiaries to, directly or indirectly: (1) declare or pay any dividend or make any other payment or distribution on account of the Parent’s or any of its Restricted Subsidiaries’ Equity Interests (including, without limitation, any payment in connection with any merger or consolidation involving the Parent or any of its Restricted Subsidiaries) or to the direct or indirect holders of the Parent’s or any of its Restricted Subsidiaries’ Equity Interests in their capacity as such (other than dividends or distributions payable in Equity Interests (other than Disqualified Stock) of the Parent or payable to the Parent or a Restricted Subsidiary of the Parent); (2) purchase, redeem or otherwise acquire or retire for value (including, without limitation, in connection with any merger or consolidation involving the Parent) any Equity Interests of the Parent or any direct or indirect parent of the Parent; (3) make any payment on or with respect to, or purchase, redeem, defease or otherwise acquire or retire for value any Indebtedness that is contractually subordinated in right of payment to the Notes or the Note Guarantees (excluding any intercompany Indebtedness between or among the Parent and any of its Restricted Subsidiaries), except (a) a payment of interest when due or (b) a payment of principal at or within one year of the Stated Maturity thereof; or


 
57 (4) make any Restricted Investment (all such payments and other actions set forth in this Section 4.07(a)(1) through (4) above being collectively referred to as “Restricted Payments”), unless, at the time of and immediately after giving effect to such Restricted Payment, (A) no Default (except a Reporting Default) or Event of Default shall have occurred and be continuing or shall occur as a consequence of such Restricted Payment thereof; (B) the Parent is permitted to incur at least $1.00 of additional Indebtedness pursuant to the Fixed Charge Coverage Ratio test set forth in Section 4.09(a); and (C) the amount of such Restricted Payment, when added to the aggregate amount of all other Restricted Payments made after February 2, 2024 (other than Restricted Payments made pursuant to Section 4.07(b)(2) through (15)), would not exceed the sum of (without duplication): (i) 50.0% of Consolidated Net Income of the Parent and its Restricted Subsidiaries for the period (taken as one accounting period) commencing on the February 2, 2024 to and including the last day of the fiscal quarter ended immediately prior to the date of such calculation for which consolidated financial statements are available (or, if such Consolidated Net Income shall be a deficit, minus 100.0% of such deficit), plus (ii) the sum of (A) the aggregate net cash proceeds received by the Parent since February 2, 2024 as a contribution to its common equity capital (other than from a Restricted Subsidiary of the Parent) or from the issue or sale of Equity Interests of the Parent (other than Disqualified Stock) or from the issue or sale of convertible or exchangeable Disqualified Stock or convertible or exchangeable debt securities of the Parent that have been converted into or exchanged for such Equity Interests (other than Equity Interests (or Disqualified Stock or debt securities) sold to a Restricted Subsidiary of the Parent), and (B) the Fair Market Value of any Permitted Business or long-term tangible assets that are useful in a Permitted Business to the extent acquired in consideration of Equity Interests of the Parent (other than Disqualified Stock) since February 2, 2024, plus (iii) to the extent that any Restricted Investment that was made since February 2, 2024 is sold for cash or otherwise liquidated or repaid for cash, the cash return of capital with respect to such Restricted Investment (less the cost of disposition, if any), plus (iv) the amount equal to the net reduction in Restricted Investments made by the Parent or any of its Restricted Subsidiaries in any Person since February 2, 2024 resulting from: (A) dividends, repayments of loans or advances, or other transfers of assets, in each case, to the Parent or any Restricted Subsidiary of the Parent from any Person (including, without limitation, any Unrestricted Subsidiary of the Parent); or


 
58 (B) the redesignation of Unrestricted Subsidiaries of the Parent as Restricted Subsidiaries (valued in each case as provided in the definition of “Investment”). (b) The preceding provisions will not prohibit: (1) the payment of any dividend or distribution within 60 days after the date of its declaration, if at the date of declaration the payment would have complied with the provisions of this Indenture; (2) the making of any Restricted Payment out of the net cash proceeds of the substantially concurrent (a) contribution (other than from a Restricted Subsidiary of the Parent) to the equity capital of the Parent or (b) sale (other than to a Restricted Subsidiary of the Parent) of, Equity Interests of the Parent (other than Disqualified Stock), with a sale or contribution being deemed substantially concurrent if such Restricted Payment occurs not more than 120 days thereafter; provided, however, that the amount of any such net cash proceeds that are utilized for any such Restricted Payment will not be considered net proceeds of Equity Interests for purposes of Section 4.07(a)(4)(C)(ii); (3) the purchase, redemption, defeasance or other acquisition or retirement of subordinated Indebtedness of the Parent, the Issuer or any Guarantor with the net cash proceeds from a substantially concurrent incurrence of, or in exchange for, Permitted Refinancing Indebtedness; (4) the payment of any dividend or distribution by a Restricted Subsidiary of the Parent to the holders of its Equity Interests (other than Disqualified Stock) on a pro rata basis or on a basis that is more favorable to the Parent or its Restricted Subsidiaries; (5) so long as no Default (other than a Reporting Default) or Event of Default has occurred or is continuing or would be caused thereby, the purchase, redemption or other acquisition or retirement for value of any Equity Interests of the Parent or any Restricted Subsidiary of the Parent held by any current or former officer, director or employee of the Parent or any of its Restricted Subsidiaries pursuant to any director or employee equity subscription agreement or equity option agreement or other employee benefit plan or to satisfy obligations under any Equity Interests appreciation rights or option plan or similar arrangement; provided, however, that the aggregate price paid for all such purchased, redeemed, acquired or retired Equity Interests may not exceed $20.0 million in calendar year 2025 or $10.0 million in any calendar year thereafter, with any portion of such amount that is unused in a calendar year to be carried forward to successive calendar years and added to such amount; provided, further, that the amount in any calendar year may be increased by an amount not to exceed the sum of (a) the net proceeds from the sale of Equity Interests (other than Disqualified Stock) to directors, officers, consultants or employees of the Parent or any of its Restricted Subsidiaries occurring after the February 2, 2024, to the extent the net proceeds from the sale of such Equity Interests have not otherwise been applied to the payment of Restricted Payments by virtue of Section 4.07(a)(4)(C)(ii) and (b) the cash proceeds of key man life insurance policies received by the Parent and its Restricted Subsidiaries after February 2, 2024, less (c) the amount of any Restricted Payments previously effected by using amounts specified in Section 4.07(b)(5)(a) and (b); (6) the purchase or other acquisition of Equity Interests deemed to occur upon the exercise of unit options, warrants, incentives, rights to acquire Equity Interests or other


 
59 convertible securities if such Equity Interests represent a portion of the exercise, exchange or vesting price thereof, and any purchase or other acquisition of Equity Interests made in lieu of or in connection with withholding taxes in connection with any exercise, exchange or vesting of unit options, warrants, incentives or rights to acquire Equity Interests; (7) payments or distributions to dissenting unitholders or shareholders not to exceed $10.0 million in the aggregate since February 2, 2024 (x) pursuant to applicable law or (y) in connection with the settlement or other satisfaction of legal claims made pursuant to or in connection with a consolidation, merger or transfer of assets that is not prohibited by this Indenture; (8) cash payments in lieu of the issuance of fractional units or shares; (9) so long as no Default (other than a Reporting Default) or Event of Default has occurred and is continuing or would be caused thereby, the declaration and payment of scheduled or accrued dividends to holders of any class of or series of Disqualified Stock of the Parent issued since the Issue Date in accordance with Section 4.09, to the extent such dividends are included in Fixed Charges; (10) so long as no Default (other than a Reporting Default) or Event of Default has occurred and is continuing or would be caused thereby, the purchase, redemption, defeasance or other acquisition or retirement for value of any subordinated Indebtedness of the Issuer or the Guarantors (i) at a purchase price not greater than 101% of the principal amount of such subordinated Indebtedness in the event of a Change of Control in accordance with provisions similar to those set forth in Section 4.15 hereof or (ii) at a purchase price not greater than 100% of the principal amount thereof in accordance with provisions similar to those set forth in Section 4.10 hereof; provided that, prior to or simultaneously with such purchase, redemption, defeasance or other acquisition or retirement for value, the Issuer has made the Change of Control Offer or Asset Sale Offer, as applicable, as provided in such covenant with respect to the Notes and has completed the purchase of all Notes validly tendered for payment (and not withdrawn) in connection with such Change of Control Offer or Asset Sale Offer; (11) so long as no Default (other than a Reporting Default) or Event of Default has occurred and is continuing or would be caused thereby, cash dividends and repurchases of the Parent’s Equity Interests in a combined amount up to $175.0 million in any 12-month period following February 2, 2024, with any portion of such $175.0 million amount that is unused in a given 12-month period following February 2, 2024, less the amount of any cash dividends and repurchases of the Parent’s Equity Interests made pursuant to Section 4.07(b)(12) during such 12-month period, to be carried forward to successive 12-month periods and added to such amount; (12) so long as no Default (other than a Reporting Default) or Event of Default has occurred and is continuing or would be caused thereby, any other Restricted Payments, so long as, after giving pro forma effect to the payment of any such Restricted Payment and any incurrence of Indebtedness in connection therewith, the Consolidated Leverage Ratio as of the date of such Restricted Payment (which, for the avoidance of doubt, shall be the date of determination for the calculation of the Consolidated Leverage Ratio under this Section 4.07(b)(12)) would be no greater than 4:00:1.00; (13) Permitted Tax Distributions and Permitted Payments to a Parent Entity;


 
60 (14) [Reserved]; and (15) so long as no Default (other than a Reporting Default) or Event of Default has occurred and is continuing or would be caused thereby, other Restricted Payments in an aggregate amount not to exceed $100.0 million. The amount of all Restricted Payments (other than cash) will be the Fair Market Value on the date of the Restricted Payment of the asset(s) or securities proposed to be transferred or issued by the Parent or any Restricted Subsidiary, as the case may be, pursuant to the Restricted Payment. The Fair Market Value of any assets or securities that are required to be valued by this Section 4.07 will be determined by the management of the Parent. For purposes of determining compliance with this Section 4.07, in the event that a Restricted Payment or Permitted Investment at any time meets the criteria of one or more categories of Restricted Payments described in Section 4.07(b)(1) through (15), meets the criteria of one or more categories of the definition of “Permitted Investments” and/or is permitted pursuant to the first paragraph of this Section 4.07, the Parent will be permitted in its sole discretion to divide or classify (or later redivide or reclassify) in whole or in part such Restricted Payment or Permitted Investment in any manner that complies with this Section 4.07 at such time. Section 4.08 Dividend and Other Payment Restrictions Affecting Restricted Subsidiaries. (a) The Parent will not, and will not permit any of its Restricted Subsidiaries to, directly or indirectly, create or permit to exist or become effective any consensual encumbrance or restriction on the ability of any Restricted Subsidiary to: (1) pay dividends or make any other distributions on its Capital Stock to the Parent or any of its Restricted Subsidiaries, or pay any Indebtedness or other obligations owed to the Parent or any of its Restricted Subsidiaries; provided that the priority that any series of preferred stock of a Restricted Subsidiary has in receiving dividends or liquidating distributions before dividends or liquidating distributions are paid in respect of common stock of such Restricted Subsidiary shall not constitute a restriction on the ability to make dividends or distributions on Capital Stock for purposes of this Section 4.08, provided that the terms of such preferred stock do not expressly restrict the ability of such Restricted Subsidiary to pay dividends or make distributions on its Capital Stock; (2) make loans or advances to the Parent or any of its Restricted Subsidiaries (it being understood that the subordination of loans or advances made to the Parent or any of its Restricted Subsidiaries to other Indebtedness incurred by the Parent or any of its Restricted Subsidiaries shall not be deemed a restriction on the ability to make loans or advances); or (3) transfer any of its properties or assets to the Parent or any of its Restricted Subsidiaries. (b) The restrictions in Section 4.08(a) hereof will not apply to encumbrances or restrictions existing under or by reason of: (1) agreements (including the Credit Agreement and related documentation) as in effect on the date of this Indenture and any amendments, modifications, restatements, renewals, increases, supplements, refundings, replacements or refinancings of those agreements or the Indebtedness to which they relate, provided that the amendments, modifications, restatements, renewals, increases, supplements, refundings, replacements or refinancings are no more restrictive, taken as a whole, with respect to such dividend, distribution and other payment


 
61 restrictions than those contained in those agreements on the date of this Indenture, as determined in the good faith judgment of the Parent; (2) this Indenture, the Notes and the Note Guarantees; (3) applicable law; (4) any instrument governing Indebtedness or Capital Stock of a Person acquired by or merged, amalgamated or consolidated with and into the Parent or any of its Restricted Subsidiaries as in effect at the time of such acquisition, merger, consolidation or amalgamation which encumbrance or restriction is not applicable to any Person, or the properties or assets of any Person, other than the Person, or the property or assets of the Person, so acquired, provided that, in the case of Indebtedness, such Indebtedness was otherwise permitted by the terms of this Indenture to be incurred; (5) customary non-assignment provisions in equipment or other licenses, easements, leases or similar instruments, in each case entered into in the ordinary course of business and consistent with past practices; (6) Capital Lease Obligations, mortgage financings or purchase money obligations, in each case for property acquired in the ordinary course of business that impose restrictions on that property of the nature described in Section 4.08(a)(3); (7) any agreement for the sale or other disposition of a Restricted Subsidiary of the Parent that restricts distributions by that Restricted Subsidiary pending its sale or other disposition; (8) Permitted Refinancing Indebtedness, provided that the restrictions contained in the agreements governing such Permitted Refinancing Indebtedness are no more restrictive, taken as a whole, than those contained in the agreements governing the Indebtedness being refinanced, s determined in the good faith judgment of the Parent; (9) Liens securing Indebtedness otherwise permitted to be incurred under the provisions of Section 4.12 that limit the right of the debtor to dispose of the assets subject to such Liens; (10) customary provisions limiting the disposition or distribution of assets or property in joint venture agreements, asset sale agreements, stock sale agreements and other similar agreements, which limitations are applicable only to the assets or property that is the subject of such agreements; (11) any agreement or instrument relating to any property or assets acquired after the date of this Indenture, so long as such encumbrance or restriction relates only to the property or assets so acquired and is not and was not created in anticipation of such acquisitions; (12) Hedging Contracts permitted from time to time under this Indenture; (13) restrictions on cash, Cash Equivalents or other deposits or net worth imposed by customers under contracts entered into in the ordinary course of business;


 
62 (14) with respect to any Foreign Subsidiary, any encumbrance or restriction contained in the terms of any Indebtedness or any agreement pursuant to which such Indebtedness was incurred if either (a) the encumbrance or restriction applies only in the event of a payment default or a default with respect to a financial covenant in such Indebtedness or agreement or (b) the Parent determines that any such encumbrance or restriction will not materially affect the Issuer’s ability to make principal or interest payments on the Notes, as determined in good faith by the Board of Directors of the Parent, whose determination shall be conclusive; and (15) any other agreement governing Indebtedness of the Issuer or any Guarantor that is permitted to be incurred under Section 4.09; provided, however, that such encumbrances or restrictions are not materially more restrictive, taken as a whole, than those contained in this Indenture or the Credit Agreement as in effect on the date of this Indenture, as determined in the good faith judgment of the Parent. Section 4.09 Incurrence of Indebtedness and Issuance of Preferred Stock. (a) The Parent will not, and will not permit any of its Restricted Subsidiaries to, directly or indirectly, create, incur, issue, assume, Guarantee or otherwise become directly or indirectly liable, contingently or otherwise, with respect to (collectively, “incur”) any Indebtedness (including Acquired Debt); the Parent will not, and will not permit any of its Restricted Subsidiaries to, issue any Disqualified Stock; and the Parent will not permit any of its Restricted Subsidiaries to issue any other preferred securities (other than Non-Economic Preferred Securities); provided, however, that the Parent, the Issuer and any Guarantor may incur Indebtedness (including Acquired Debt) or issue Disqualified Stock and the Issuer and any Restricted Subsidiary of the Parent may issue other preferred securities, if, for the Parent’s most recently ended four full fiscal quarters for which internal financial statements are available immediately preceding the date on which such additional Indebtedness is incurred or such Disqualified Stock or other preferred securities are issued, the Fixed Charge Coverage Ratio would have been at least 2.00 to 1.00, determined on a pro forma basis (including a pro forma application of the net proceeds therefrom), as if the additional Indebtedness had been incurred or Disqualified Stock or other preferred securities had been issued, as the case may be, at the beginning of such four-quarter period. (b) Section 4.09(a) will not prohibit the incurrence of any of the following items of Indebtedness (collectively, “Permitted Debt”) or the issuance of any preferred securities described in Section 4.09(b)(10) or (12): (1) the incurrence by the Parent or any of its Restricted Subsidiaries of Indebtedness under one or more Credit Facilities, provided that, after giving effect to any such incurrence, the aggregate principal amount of all Indebtedness incurred under this Section 4.09(b)(1) (with letters of credit being deemed to have a principal amount equal to the maximum potential liability of the Parent and its Subsidiaries thereunder) and then outstanding does not exceed the greater of (a) $2.540 billion or (b) $1,400.0 million plus 30.0% of the Parent’s Consolidated Net Tangible Assets determined as of the date of such incurrence; provided that any Indebtedness incurred under this Section 4.09(b)(1) may be extended, replaced, refunded, refinanced, renewed or defeased (including through successive extensions, replacements, refundings, refinancings, renewals and defeasances) with new Indebtedness so long as the principal amount (or accreted value, if applicable) of such new Indebtedness does not exceed the sum of (x) the principal amount (or accreted value, if applicable) of the Indebtedness being so extended, replaced, refunded, refinanced, renewed or defeased, plus (y) any accrued and unpaid interest on the Indebtedness being refinanced, plus (z) the amount of any tender premium or penalty or premium required to be paid under the terms of the instrument or documents governing such refinanced Indebtedness and any defeasance costs and any fees and expenses (including original issue


 
63 discount, upfront fees or similar fees) incurred in connection with the incurrence of such new Indebtedness or the extension, replacement, refunding, refinancing, renewal or defeasance of such refinanced Indebtedness; (2) the incurrence by the Parent or its Restricted Subsidiaries of the Existing Indebtedness; (3) the incurrence by the Issuer and the Guarantors of Indebtedness represented by the Initial Notes and the related Note Guarantees to be issued on the date of this Indenture; (4) the incurrence by the Parent or any of its Restricted Subsidiaries of Indebtedness represented by Capital Lease Obligations, Attributable Debt, mortgage financings or purchase money obligations, in each case, incurred for the purpose of financing all or any part of the purchase price or cost of construction or improvement of property, plant or equipment used in the business of the Parent or such Restricted Subsidiary, including all Permitted Refinancing Indebtedness incurred to extend, refinance, renew, replace, defease or refund any Indebtedness incurred pursuant to this Section 4.09(b)(4), provided that after giving effect to any such incurrence, the principal amount of all Indebtedness incurred pursuant to this Section 4.09(b)(4) and then outstanding does not exceed the greater of (a) $95.0 million and (b) 2.50% of the Parent’s Consolidated Net Tangible Assets determined as of the date of such incurrence; (5) the incurrence by the Parent or any of its Restricted Subsidiaries of Permitted Refinancing Indebtedness in exchange for, or the net proceeds of which are used to, extend, refinance, renew, replace, defease or refund Indebtedness of the Parent or any of its Restricted Subsidiaries (other than intercompany Indebtedness), in each case, that was permitted by this Indenture to be incurred under Section 4.09(a) or Section 4.09(b)(2), (3) or (12) or this Section 4.09(b)(5); (6) the incurrence by the Parent or any of its Restricted Subsidiaries of intercompany Indebtedness between or among the Parent and any of its Restricted Subsidiaries; provided, however, that: (A) if the Issuer is the obligor on such Indebtedness and a Guarantor is not the obligee, such Indebtedness must be expressly subordinated to the prior payment in full in cash of all Obligations with respect to the Notes, or if a Guarantor is the obligor on such Indebtedness and neither the Issuer nor another Guarantor is the obligee, such Indebtedness must be expressly subordinated to the prior payment in full in cash of all Obligations with respect to the Note Guarantee of such Guarantor; and (B) (i) any subsequent issuance or transfer of Equity Interests that results in any such Indebtedness being held by a Person other than the Parent or a Restricted Subsidiary of the Parent and (ii) any sale or other transfer of any such Indebtedness to a Person that is neither the Parent nor a Restricted Subsidiary of the Parent will be deemed, in each case, to constitute an incurrence of such Indebtedness by the Parent or such Restricted Subsidiary, as the case may be, that was not permitted by this Section 4.09(b)(6); (7) the incurrence by the Parent or any of its Restricted Subsidiaries of obligations under Hedging Contracts in the ordinary course of business or consistent with past practice and not for speculative purposes;


 
64 (8) the Guarantee by the Parent or any of its Restricted Subsidiaries of Indebtedness of the Parent or any of its Restricted Subsidiaries that was permitted to be incurred by another provision of this Section 4.09; provided that in the event such Indebtedness being Guaranteed is subordinated in right of payment to the Notes or the Note Guarantees, then the Guarantee shall be subordinated in right of payment to the Notes or the Note Guarantees, as the case may be; (9) the incurrence by the Parent or any of its Restricted Subsidiaries of Indebtedness in respect of bid, performance, surety and similar bonds issued for the account of the Parent and any of its Restricted Subsidiaries in the ordinary course of business or consistent with past practice, including Guarantees and obligations of the Parent or any of its Restricted Subsidiaries with respect to letters of credit supporting such obligations (in each case other than an obligation for money borrowed); (10) the issuance by any of the Parent’s Restricted Subsidiaries to the Parent or to any of its Restricted Subsidiaries of any preferred securities; provided, however, that: (A) any subsequent issuance or transfer of Equity Interests that results in any such preferred securities being held by a Person other than the Parent or a Restricted Subsidiary of the Parent, and (B) any sale or other transfer of any such preferred securities to a Person that is not either the Parent or a Restricted Subsidiary of the Parent shall be deemed, in each case, to constitute an issuance (as of the date of such issuance, sale or transfer) of such preferred securities by such Restricted Subsidiary that was not permitted by this Section 4.09(b)(10); (11) the incurrence by the Parent or any of its Restricted Subsidiaries of liability in respect of the Indebtedness of any Unrestricted Subsidiary of the Parent or any Joint Venture but only to the extent that such liability is the result of the Parent’s or any such Restricted Subsidiary’s being a general partner of such Unrestricted Subsidiary or Joint Venture and not as guarantor of such Indebtedness and provided that, after giving effect to any such incurrence, the aggregate principal amount of all Indebtedness incurred under this Section 4.09(b)(11) and then outstanding does not exceed $25.0 million; (12) the incurrence by the Parent or any of its Restricted Subsidiaries of Permitted Acquisition Indebtedness; (13) the incurrence by the Parent or any of its Restricted Subsidiaries of additional Indebtedness, provided that, after giving effect to any such incurrence, the aggregate principal amount of all Indebtedness incurred under this Section 4.09(b)(13) and then outstanding does not exceed the greater of (a) $190.0 million and (b) 5.00% of the Parent’s Consolidated Net Tangible Assets determined as of the date of such incurrence; and (14) the incurrence by the Parent or any of its Restricted Subsidiaries of Indebtedness consisting of any insurance premium financing in the ordinary course of business in an aggregate principal amount not to exceed the amount of such insurance premiums. For purposes of determining compliance with this Section 4.09: (1) in the event that an item of Indebtedness (including Acquired Debt) meets the criteria of more than one of the categories of Permitted Debt described in Section 4.09(b)(1)


 
65 through (14) above, or is entitled to be incurred pursuant to Section 4.09(a), the Parent will be permitted to classify (or later classify or reclassify in whole or in part in its sole discretion) such item of Indebtedness in any manner that complies with this Section 4.09. Any Indebtedness under Credit Facilities on the Issue Date shall be considered incurred under Section 4.09(a)(1) and may not be reclassified. The principal amount of Indebtedness outstanding under any clause of this Section 4.09 shall be determined after giving effect to the application of proceeds of any Indebtedness incurred to refinance any such Indebtedness; (2) Any Indebtedness incurred pursuant to Sections 4.09(b)(2) through (14) above shall cease to be deemed incurred or outstanding for purposes of such clause but shall be deemed incurred pursuant to the Fixed Charge Coverage Ratio test set forth in Section 4.09(a) from and after the first date on which the Parent or its Restricted Subsidiaries could have incurred such Indebtedness pursuant to the Fixed Charge Coverage Ratio test set forth in first paragraph of this Section 4.09 without reliance on such clause; (3) For the avoidance of doubt, Indebtedness permitted by this Section 4.09 need not be permitted solely by reference to one provision permitting such Indebtedness but may be permitted in part by one such provision and in part by one or more other provisions of this Section 4.09 permitting such Indebtedness; (4) The amount of Indebtedness issued at a price that is less than the principal amount thereof will be equal to the amount of the liability in respect thereof determined in accordance with GAAP; and (5) In the event an item of Indebtedness (or any portion thereof) is incurred or issued pursuant to Section 4.09(b)(1) through (14) above (other than Section 4.09(b)(12) of the second paragraph of this Section 4.09) on the same date that an item of Indebtedness (or any portion thereof) is incurred or issued pursuant to the Fixed Charge Coverage Ratio test set forth in Section 4.09(a) or Section 4.09(b)(12) above, then the Fixed Charge Coverage Ratio will be calculated with respect to such incurrence or issuance under the Fixed Charge Coverage Ratio test set forth in Section 4.09(a) or Section 4.09(b)(12) above without regard to any incurrence or issuance under Sections 4.09(b)(1) through (14) above (other than Section 4.09(b)(12) of the second paragraph of this Section 4.09). Unsecured Indebtedness of any Person will not be deemed to be subordinated in right of payment to secured Indebtedness of that Person merely because it is unsecured and Indebtedness of the Parent will not be deemed to be subordinated in right of payment to Indebtedness of a Restricted Subsidiary merely because it is structurally subordinated thereto. Further, the accounting reclassification of any obligation of the Parent or any of its Restricted Subsidiaries as Indebtedness will not be deemed an incurrence of Indebtedness for purposes of this Section 4.09. The accrual of interest, the accretion of accreted value, the accretion or amortization of original issue discount, the payment of interest on any Indebtedness in the form of additional Indebtedness with the same terms, the accretion of liquidation preference, increases in the amount of Indebtedness outstanding solely as a result of fluctuations in the exchange rate of currencies and the payment of dividends on Disqualified Stock in the form of additional shares of the same class of Disqualified Stock will not be deemed to be an incurrence of Indebtedness or an issuance of Disqualified Stock for purposes of this Section 4.09, provided, in each such case, that the amount thereof is included in Fixed Charges of the Parent as accrued.


 
66 For purposes of determining compliance with any U.S. dollar-denominated restriction on the incurrence of Indebtedness, the U.S. dollar-equivalent principal amount of Indebtedness denominated in a foreign currency shall be calculated based on the relevant currency exchange rate in effect on the date such Indebtedness was incurred, in the case of term Indebtedness, or first committed, in the case of revolving credit Indebtedness; provided that if such Indebtedness is incurred to refinance other Indebtedness denominated in a foreign currency, and such refinancing would cause the applicable U.S. dollar-dominated restriction to be exceeded if calculated at the relevant currency exchange rate in effect on the date of such refinancing, such U.S. dollar-dominated restriction shall be deemed not to have been exceeded so long as the principal amount of such refinancing Indebtedness does not exceed the principal amount of such Indebtedness being refinanced. Notwithstanding any other provision of this Section 4.09, the maximum amount of Indebtedness that the Parent and its Restricted Subsidiaries may incur pursuant to this Section 4.09 shall not be deemed to be exceeded solely as a result of fluctuations in the exchange rate of currencies. The principal amount of any Permitted Refinancing Indebtedness, if incurred in a different currency from the Indebtedness being refinanced, shall be calculated based on the currency exchange rate applicable to the currencies in which such Permitted Refinancing Indebtedness is denominated that is in effect on the date of such refinancing. Section 4.10 Asset Sales. The Parent will not, and will not permit any of its Restricted Subsidiaries to, consummate an Asset Sale unless: (1) the Parent (or a Restricted Subsidiary of the Parent, as the case may be) receives consideration at the time of the Asset Sale at least equal to the Fair Market Value (measured as of the date of the definitive agreement with respect to such Asset Sale) of the assets or Equity Interests issued or sold or otherwise disposed of; (2) the Fair Market Value is determined by (a) an Officer of the Parent if the value is less than $50.0 million and evidenced by an Officers’ Certificate delivered to the Trustee, or (b) the Board of Directors of the Parent if the value is $50.0 million or more and evidenced by a Board Resolution delivered to the Trustee; and (3) at least 75% of the aggregate consideration received by the Parent and its Restricted Subsidiaries in the Asset Sale and all other Asset Sales since February 2, 2024 is in the form of cash or Cash Equivalents or a combination thereof. For purposes of this Section 4.10, each of the following will be deemed to be cash: (A) any liabilities (excluding contingent liabilities), as shown on the Parent’s most recent consolidated balance sheet (or if incurred subsequent to such balance sheet date, such liabilities that would have been reflected on such balance sheet or notes thereto), of the Parent or any of its Restricted Subsidiaries (other than contingent liabilities and liabilities that are by their terms subordinated to the Notes or any Note Guarantee) that are (x) assumed by the transferee of any such assets pursuant to a customary novation agreement that releases the Parent or such Restricted Subsidiary from further liability or (y) otherwise cancelled or terminated in connection with the transaction with such transferee (other than intercompany Indebtedness owed to the Parent or a Restricted Subsidiary); (B) any securities, notes or other obligations received by the Parent or any Restricted Subsidiary from such transferee that are, within 180 days after the Asset Sale,


 
67 converted by the Parent or such Restricted Subsidiary into cash, to the extent of the cash received in that conversion; (C) any stock, assets, property or capital of the kind referred to in clause (2), (3) or (5) of the next succeeding paragraph of this Section 4.10 received by the Parent or any of its Restricted Subsidiaries in connection with such transaction; (D) any Designated Non-cash Consideration received by the Parent or any of its Restricted Subsidiaries in such Asset Sale having an aggregate Fair Market Value, taken together with all other Designated Non-cash Consideration received since the date of this Indenture pursuant to this clause (d) that at the time has not been converted to cash, not to exceed the greater of (x) $135.0 million and (y) 3.50% of the Parent’s Consolidated Net Tangible Assets at the time of the receipt of such Designated Non-cash Consideration, with the Fair Market Value of each item of Designated Non-cash Consideration being measured at the time received and without giving effect to subsequent changes in value; and (E) Indebtedness of any Restricted Subsidiary that ceases to be a Restricted Subsidiary as a result of such Asset Sale (other than intercompany debt owed to the Parent or a Restricted Subsidiary), to the extent such Indebtedness becomes Non-Recourse Debt. Within 365 days after the receipt of any Net Proceeds from an Asset Sale, the Parent or any Restricted Subsidiary may apply those Net Proceeds at its option to any combination of the following: (1) to repay, purchase, redeem or otherwise retire Senior Debt; (2) to acquire all or substantially all of the properties or assets of a Person primarily engaged in a Permitted Business; (3) to acquire a majority of the Voting Stock of a Person primarily engaged in a Permitted Business; (4) to make capital expenditures; or (5) to acquire other properties or assets that are used or useful in a Permitted Business. The requirement of clause (2), (3), (4) or (5) of the preceding paragraph of this Section 4.10 shall be deemed to be satisfied if a bona fide binding contract committing to make the investment, acquisition or expenditure referred to therein is entered into by the Parent or any of its Restricted Subsidiaries with a Person other than an Affiliate of the Parent within the time period specified in the preceding paragraph and such Net Proceeds are subsequently applied in accordance with such contract within six months following the date such agreement is entered into. Pending the final application of any Net Proceeds, the Parent or any Restricted Subsidiary may temporarily reduce revolving credit borrowings or otherwise invest the Net Proceeds in any manner that is not prohibited by this Indenture. Any Net Proceeds from Asset Sales that are not applied or invested as provided in the preceding paragraph will constitute “Excess Proceeds.”


 
68 On the 366th day after the Asset Sale (or at the Issuer’s option, any earlier date), if the aggregate amount of Excess Proceeds then exceeds $50.0 million, the Issuer will make an Asset Sale Offer to all Holders of Notes (with a copy to the Trustee), and all holders of other Indebtedness that is pari passu with the Notes containing provisions similar to those set forth in this Section 4.10 with respect to offers to purchase, prepay or redeem with the proceeds of sales of assets, to purchase, prepay or redeem, on a pro rata basis (except that any Notes represented by a Note in global form will be selected by such method as DTC may require), the maximum principal amount of Notes and such other pari passu Indebtedness that may be purchased, prepaid or redeemed out of the Excess Proceeds. The offer price in any Asset Sale Offer will be equal to 100% of the principal amount plus accrued and unpaid interest, if any, to the date of settlement, subject to the right of Holders on the relevant record date to receive interest due on an interest payment date that is on or prior to the date of settlement, and will be payable in cash. If any Excess Proceeds remain after consummation of an Asset Sale Offer, the Parent or any of its Restricted Subsidiaries may use those Excess Proceeds for any purpose not otherwise prohibited by this Indenture. If the aggregate principal amount of Notes tendered into such Asset Sale Offer exceeds the amount of Excess Proceeds allocated to the purchase of Notes, the Trustee will select the Notes to be purchased on a pro rata basis (except that any Notes represented by a Note in global form will be selected by such method as DTC may require). Upon completion of each Asset Sale Offer, the amount of Excess Proceeds will be reset at zero. Provisions hereunder relating to the Parent’s obligation to make an offer to repurchase the Notes as a result of an Asset Sale may be waived or modified with the written consent of the Holders of a majority in principal amount of the then outstanding Notes. The Issuer will comply with the requirements of Rule 14e-1 under the Exchange Act and any other securities laws and regulations thereunder to the extent those laws and regulations are applicable in connection with each repurchase of Notes pursuant to an Asset Sale Offer. To the extent that the provisions of any securities laws or regulations conflict with Section 3.09 or this Section 4.10, the Issuer will comply with the applicable securities laws and regulations and will not be deemed to have breached its obligations under Section 3.09 or this Section 4.10 by virtue of such conflict. Section 4.11 Transactions with Affiliates. (a) The Parent will not, and will not permit any of its Restricted Subsidiaries to, make any payment to, or sell, lease, transfer or otherwise dispose of any of its properties or assets to, or purchase any property or assets from, or enter into or make or amend any transaction, contract, agreement, understanding, loan, advance or Guarantee with, or for the benefit of, any Affiliate (each, an “Affiliate Transaction”), involving aggregate payments or consideration in excess of $25.0 million unless: (1) the Affiliate Transaction is on terms that are no less favorable to the Parent or the relevant Restricted Subsidiary than those that would have been obtained in a comparable transaction by the Parent or such Restricted Subsidiary with an unrelated Person; and (2) the Parent delivers to the Trustee, with respect to any Affiliate Transaction or series of related Affiliate Transactions involving aggregate consideration in excess of $75.0 million, an Officers’ Certificate certifying that such Affiliate Transaction or series of related Affiliate Transactions complies with this Section 4.11 and that such Affiliate Transaction or series of related Affiliate Transactions has been approved by a majority of the disinterested members of the Board of Directors of the Parent. (b) The following items will not be deemed to be Affiliate Transactions and, therefore, will not be subject to the provisions of Section 4.11(a) hereof:


 
69 (1) any employment agreement, customary benefit program or arrangement, equity award, equity option or equity appreciation agreement or plan entered into by the Parent or any of its Restricted Subsidiaries with or for the benefit of officers, directors or employees of the Parent or any of its Restricted Subsidiaries in the ordinary course of business; (2) transactions between or among any of the Parent and its Restricted Subsidiaries, including between any Restricted Subsidiaries; (3) transactions with a Person (other than an Unrestricted Subsidiary of the Parent) that is an Affiliate of the Parent solely because the Parent owns, directly or through one of its Restricted Subsidiaries, an Equity Interest in such Person; (4) customary compensation, indemnification and other benefits made available to officers, directors or employees of the Parent or any of its Restricted Subsidiaries, including reimbursement or advancement of out-of-pocket expenses and provisions of officers’ and directors’ liability insurance; (5) issuances, transfers or sales of Equity Interests (other than Disqualified Stock) to, or receipt of capital contributions from Affiliates of the Parent, or any Permitted Holder; (6) (a) Permitted Investments or (b) Restricted Payments, in each case, that are permitted by the provisions of this Indenture in Section 4.07; (7) in the case of contracts for buying and selling or leasing equipment or inventory or other operational contracts, any such contracts that are entered into in the ordinary course of business on terms substantially similar to those contained in similar contracts entered into by the Parent or any of its Restricted Subsidiaries and unrelated third parties; (8) any transaction in which the Parent or any of its Restricted Subsidiaries, as the case may be, delivers to the Trustee a letter from an accounting, appraisal or investment banking firm of national standing stating that such transaction is fair to the Parent or such Restricted Subsidiary from a financial point of view or that such transaction meets the requirements of Section 4.11(a)(1); (9) (a) the existence of, or the performance by the Parent or any Restricted Subsidiary of its obligations under the terms of, any equityholders, investor rights or similar agreement (including any registration rights agreement or purchase agreements related thereto) to which it is party as of the Issue Date and (b) the payment of fees, costs and expenses related to registration rights and indemnities provided to equityholders pursuant to equityholders, investor rights, registration rights or similar agreements; (10) [reserved]; (11) the existence of and transactions effected in accordance with (a) the terms of agreements or arrangements in effect on the Issue Date, (b) any amendment or replacement of any of such agreements or (c) any agreements entered into hereafter that are similar to any of such agreements, so long as, in the case of Section 4.11(b) or (c), the terms of any such amendment or replacement agreement or future agreement are, on the whole, either not materially less advantageous to the Parent than the agreement so amended or replaced or the similar agreement referred to in the preceding Section 4.11(a), respectively, as determined in the good faith judgment of the Parent.


 
70 Section 4.12 Liens. The Parent will not and will not permit any of its Restricted Subsidiaries to, create, incur, assume or otherwise cause or suffer to exist or become effective any Lien of any kind (other than Permitted Liens) securing Indebtedness upon any of their property or assets, now owned or hereafter acquired, unless the Notes or any Note Guarantee of the Parent or such Restricted Subsidiary, as applicable, is secured on an equal and ratable basis with (or on a senior basis to, in the case of obligations subordinated in right of payment to the Notes or such Note Guarantee, as the case may be) the obligations so secured until such time as such obligations are no longer secured by such Lien. A Lien created for the benefit of the Holders pursuant to this paragraph shall provide by its terms that such Lien shall be automatically and unconditionally released and discharged upon the release and discharge of the Lien that gave rise to the obligation to secure the Notes. Section 4.13 [Reserved]. Section 4.14 Parent Existence. Subject to Article 5 and Section 10.04 hereof, each of the Parent and the Issuer shall do or cause to be done all things necessary to preserve and keep in full force and effect: (1) their respective corporate or partnership existence, as applicable, and the corporate, partnership or other existence of each other Restricted Subsidiary of the Parent, in accordance with the respective organizational documents (as the same may be amended from time to time) of the Parent, the Issuer or any such other Restricted Subsidiary of the Parent; and (2) the rights (charter and statutory), licenses and franchises of the Parent and its Restricted Subsidiaries; provided, however, that the Parent shall not be required to preserve any such right, license or franchise, or the corporate, partnership or other existence of any of its Restricted Subsidiaries (other than the Issuer), if the Parent shall determine that the preservation thereof is no longer desirable in the conduct of the business of the Parent and its Restricted Subsidiaries, taken as a whole, and that the loss thereof is not adverse in any material respect to the Holders of the Notes. Section 4.15 Offer to Repurchase Upon Change of Control. (a) Upon the occurrence of a Change of Control Triggering Event the Issuer will make an offer (a “Change of Control Offer”) to each Holder to repurchase all or any part (equal to $2,000 or an integral multiple of $1,000 in excess thereof) of that Holder’s Notes at a purchase price in cash equal to 101% of the aggregate principal amount of Notes repurchased, plus accrued and unpaid interest, if any, on the Notes repurchased to the date of settlement (the “Change of Control Settlement Date”), subject to the rights of Holders of Notes on the relevant record date to receive interest due on the relevant interest payment date that is on or prior to the Change of Control Settlement Date. Within 30 days following any Change of Control Triggering Event, the Issuer will send a notice to each Holder and the Trustee describing the transaction or transactions that constitute the Change of Control and stating: (1) that the Change of Control Offer is being made pursuant to this Section 4.15 and that all Notes tendered will be accepted for payment; (2) the purchase price and the expiration date of the Change of Control Offer, which shall be no earlier than 15 days and no later than 60 days from the date such notice is sent (except


 
71 in the case of a Conditional Change of Control Offer made in advance of a Change of Control as described below); (3) that any Note not tendered will continue to accrue interest; (4) that, unless the Issuer defaults in the payment of the Change of Control Payment, all Notes accepted for payment pursuant to the Change of Control Offer will cease to accrue interest after the Change of Control Settlement Date; (5) that Holders electing to have any Notes purchased pursuant to a Change of Control Offer will be required to surrender the Notes, with the form entitled “Option of Holder to Elect Purchase” attached to the Notes completed, or transfer by book-entry transfer, to the Paying Agent at the address specified in the notice prior to the expiration date of the Change of Control Offer; (6) that Holders will be entitled to withdraw their election if the Paying Agent receives, not later than the close of business on the second Business Day preceding the expiration date of the Change of Control Offer, a telegram, electronic image scan, facsimile transmission or letter setting forth the name of the Holder, the principal amount of Notes delivered for purchase, and a statement that such Holder is withdrawing its election to have the Notes purchased; and (7) that Holders whose Notes are being purchased only in part will be issued new Notes equal in principal amount to the unpurchased portion of the Notes surrendered, which unpurchased portion must be equal to $2,000 in principal amount or an integral multiple of $1,000 in excess thereof. A Change of Control Offer or Alternate Offer may be made at the same time as consents are solicited with respect to an amendment, supplement or waiver of this Indenture, Notes and/or Guarantees (but the Change of Control Offer or Alternate Offer may not condition tenders on the delivery of such consents). The Issuer will comply with the requirements of Rule 14e-1 under the Exchange Act and any other securities laws and regulations thereunder to the extent those laws and regulations are applicable in connection with the repurchase of the Notes as a result of a Change of Control Triggering Event. To the extent that the provisions of any securities laws or regulations conflict with this Section 4.15, the Issuer will comply with the applicable securities laws and regulations and will not be deemed to have breached its obligations under this Section 4.15 by virtue of such conflict. (b) Promptly following the expiration of the Change of Control Offer, the Issuer will, to the extent lawful, accept for payment all Notes or portions of Notes properly tendered pursuant to the Change of Control Offer. Promptly after such acceptance, the Issuer will on the Change of Control Settlement Date: (1) deposit with the Paying Agent an amount equal to the Change of Control Payment in respect of all Notes or portions of Notes properly tendered; and (2) deliver or cause to be delivered to the Trustee the Notes properly accepted together with an Officers’ Certificate stating the aggregate principal amount of Notes or portions of Notes being purchased by the Issuer.


 
72 On the Change of Control Settlement Date, the Paying Agent will promptly pay (but in any case not later than five Business Days after the Change of Control Settlement Date) to each Holder of Notes properly tendered the Change of Control Payment for such Notes (or, if all the Notes are then in global form, it will make such payment through the facilities of DTC), and the Trustee will promptly authenticate and mail (or cause to be transferred by book entry) to each Holder a new Note equal in principal amount to any unpurchased portion of the Notes surrendered, if any; provided, however, that each new Note will be in a principal amount of $2,000 or an integral multiple of $1,000 in excess of $2,000. The Issuer will publicly announce the results of the Change of Control Offer on or as soon as practicable after the Change of Control Settlement Date. (c) Notwithstanding anything to the contrary in this Section 4.15, the Issuer will not be required to make a Change of Control Offer upon a Change of Control Triggering Event if (1) a third party (including a Subsidiary of the Parent) makes the Change of Control Offer in the manner, at the time and otherwise in compliance with the requirements set forth in this Section 4.15 applicable to a Change of Control Offer made by the Parent and purchases all Notes properly tendered and not withdrawn under the Change of Control Offer, (2) notice of redemption of all outstanding Notes has been given pursuant to Section 3.03 hereof, unless and until there is a default in payment of the applicable redemption price, or (3) in connection with or in contemplation of any Change of Control, the Issuer has made an offer to purchase any and all outstanding Notes validly tendered at a cash price equal to or higher than the Change of Control Payment (an “Alternate Offer”) and has purchased all outstanding Notes properly tendered in accordance with the terms of such Alternate Offer. (d) In the event that Holders of not less than 90% of the aggregate principal amount of the outstanding Notes accept a Change of Control Offer or Alternate Offer and the Issuer (or a third party making the Change of Control Offer as described in paragraph (c) above) purchases all of the Notes held by such Holders, the Issuer will have the right, upon not less than 15 nor more than 60 days’ prior notice, given not more than 30 days following the purchase pursuant to the Change of Control Offer or Alternate Offer described above, to redeem all of the Notes that remain outstanding following such purchase at a redemption price equal to the Change of Control Payment plus, to the extent not included in the Change of Control Payment, accrued and unpaid interest, if any, on the Notes that remain outstanding, to the date of redemption (subject to the right of Holders on the relevant record date to receive interest due on an interest payment date that is on or prior to the redemption date). (e) Any notice in respect of a Change of Control Offer or Alternate Offer may be sent prior to the occurrence of a Change of Control if a definitive agreement is in place for the Change of Control at the time the Change of Control Offer or Alternate Offer is made, to the extent that such notice states that the Change of Control Offer or Alternate Offer is conditional on the occurrence of such Change of Control and describes each such condition, and, if applicable, stating that, in the Parent’s discretion, the Change of Control Settlement Date may be delayed until such time (including more than 60 days after the notice is mailed or delivered, including by electronic transmission) as any or all such conditions shall be satisfied (or waived by Parent in its sole discretion), or that such purchase may not occur and such notice may be rescinded in the event that the Parent shall determine that any or all such conditions shall not have been satisfied (or waived by Parent in its sole discretion) by the Change of Control Settlement Date, or by the Change of Control Settlement Date as so delayed, or such notice may be rescinded at any time in the Parent’s discretion if in the good faith judgment of the Parent any or all such conditions will not be satisfied. (f) The Issuer’s obligation to make a Change of Control Offer may be waived, modified or terminated with the consent of the Holders of a majority in principal amount of the Notes then outstanding (including consents obtained in connection with a tender offer or exchange offer for the Notes).


 
73 Section 4.16 [Reserved]. Section 4.17 Additional Note Guarantees. If, after the date of this Indenture, any Restricted Subsidiary of the Parent that is not already a Guarantor (excluding the Issuer and each Excluded Subsidiary but including, for clarity, each such Restricted Subsidiary that ceases to be an Excluded Subsidiary) either borrows under the Credit Agreement or Guarantees Indebtedness incurred thereunder, or Guarantees any Credit Facility of the Issuer or any Guarantor in excess of the De Minimis Guaranteed Amount, then that Subsidiary will become a Guarantor by executing a supplemental indenture substantially in the form of Exhibit F hereto and delivering it to the Trustee within 20 Business Days of the date on which it Guaranteed such Indebtedness; provided, however, that the preceding shall not apply to Subsidiaries of the Parent that have properly been designated as Unrestricted Subsidiaries in accordance with Section 4.18 for so long as they continue to constitute Unrestricted Subsidiaries. Notwithstanding the preceding, any Note Guarantee of a Restricted Subsidiary that was incurred pursuant to this Section 4.17 will be released in the circumstances described under Section 10.05(e). Section 4.18 Designation of Restricted and Unrestricted Subsidiaries. The Board of Directors of the Parent may designate any Restricted Subsidiary of the Parent (other than the Issuer) to be an Unrestricted Subsidiary if that designation would not cause a Default. If a Restricted Subsidiary of the Parent is designated as an Unrestricted Subsidiary, the aggregate Fair Market Value of all outstanding Investments owned by the Parent and its Restricted Subsidiaries in the Subsidiary properly designated will be deemed to be either an Investment made as of the time of the designation that will reduce the amount available for Restricted Payments under the first paragraph of Section 4.07 or represent Permitted Investments, as determined by the Parent. That designation will only be permitted if the Investment would be permitted at that time and if the Subsidiary so designated otherwise meets the definition of an Unrestricted Subsidiary. The Board of Directors of the Parent may at any time designate any Unrestricted Subsidiary to be a Restricted Subsidiary, provided that such designation will be deemed to be an incurrence of Indebtedness by a Restricted Subsidiary of the Parent of any outstanding Indebtedness of such Unrestricted Subsidiary and such designation will only be permitted if (1) such Indebtedness is permitted under Section 4.09, calculated on a pro forma basis as if such designation had occurred at the beginning of the four-quarter reference period, and Section 4.12 and (2) no Default or Event of Default with respect to Section 4.12 or any other covenant in this Indenture would be in existence following such designation. Any designation of a Subsidiary of the Parent as an Unrestricted Subsidiary will be evidenced to the Trustee by filing with the Trustee a Board Resolution giving effect to such designation and an Officers’ Certificate certifying that such designation complied with the preceding conditions and was permitted by Section 4.07. If, at any time, any Unrestricted Subsidiary would fail to meet the preceding requirements as an Unrestricted Subsidiary, it will thereafter cease to be an Unrestricted Subsidiary for purposes of this Indenture, and any Indebtedness of such Subsidiary will be deemed to be incurred by a Restricted Subsidiary of the Parent as of such date and, if such Indebtedness is not permitted to be incurred as of such date under Section 4.09, or if such Subsidiary is not in compliance with any other covenants in this Indenture applicable to Restricted Subsidiaries of the Parent, a Default will have occurred under this Indenture. Section 4.19 Covenant Termination.


 
74 Notwithstanding any provision of this Indenture or of the Notes to the contrary, if at any time (a) the rating assigned to the Notes by at least two out of the three Ratings Agencies is an Investment Grade Rating, (b) no Default has occurred and is continuing under this Indenture and (c) the Issuer has delivered to the Trustee an Officers’ Certificate certifying to the foregoing provisions of this sentence (the occurrence of the events described in Section 4.19(a), (b) and (c) being collectively referred to as a “Covenant Termination Event”), then, beginning on that day, the Parent and its Restricted Subsidiaries will no longer be subject to Sections 4.07, 4.08, 4.09, 4.10, 4.11, 4.18 and Section 5.01(a)(4) of this Indenture and no Default or Event of Default shall result from any failure to comply with any of the provisions of such Sections. The Trustee shall not have any obligation to monitor the ratings of the Notes or independently determine or verify if any Covenant Termination Event has occurred or the date thereof and may rely conclusively on the Officers’ Certificate referenced above with respect to the same. The Trustee shall not have any obligation to notify the Holders of the occurrence or date of any Covenant Termination Event, but may provide a copy of such Officers’ Certificate to any Holder upon request. ARTICLE V. SUCCESSORS Section 5.01 Merger, Consolidation or Sale of Assets. (a) Neither the Issuer nor the Parent may, directly or indirectly: (1) consolidate or merge with or into another Person (whether or not the Issuer or the Parent, as applicable, is the survivor); or (2) sell, assign, transfer, lease, convey or otherwise dispose of all or substantially all of the properties or assets of the Issuer and its Restricted Subsidiaries, taken as a whole, or the Parent and its Restricted Subsidiaries, taken as a whole, as applicable, in one or more related transactions, to another Person, unless: (1) either: (a) the Issuer or the Parent, as applicable, is the survivor; or (b) the Person formed by or surviving any such consolidation or merger (if other than the Issuer or the Parent, as applicable) or to which such sale, assignment, transfer, lease, conveyance or other disposition has been made is a Person organized or existing under the laws of the United States, any state of the United States or the District of Columbia; (2) the Person formed by or surviving any such consolidation or merger (if other than the Issuer or the Parent, as applicable) or the Person to which such sale, assignment, transfer, lease, conveyance or other disposition has been made assumes, in the case of the Issuer, all the obligations of the Issuer or the Parent, as applicable, under the Notes and this Indenture and, in the case of the Parent, all the obligations of the Parent under this Indenture and its Note Guarantee, pursuant to a supplemental indenture reasonably satisfactory to the Trustee; (3) immediately after such transaction no Default or Event of Default exists; (4) in the case of a transaction involving the Parent, either (A) the Parent or the Person formed by or surviving any such consolidation or merger (if other than the Parent), or to which such sale, assignment, transfer, lease, conveyance or other disposition has been made will, on the date of such transaction after giving pro forma effect thereto and any related financing transactions as if the same had occurred at the beginning of the applicable four-quarter period, be permitted to incur at least $1.00 of additional


 
75 Indebtedness pursuant to the Fixed Charge Coverage Ratio test set forth in the first paragraph of Section 4.09; or (B) immediately after giving effect to such transaction and any related financing transactions on a pro forma basis as if the same had occurred at the beginning of the applicable four-quarter period, the Fixed Charge Coverage Ratio of the Parent or the Person formed by or surviving any such consolidation or merger (if other than the Parent), or to which such sale, assignment, transfer, lease, conveyance or other disposition has been made, will be equal to or greater than the Fixed Charge Coverage Ratio of the Parent immediately before such transaction; and (5) the Issuer or the Parent, as applicable, has delivered to the Trustee an Officers’ Certificate and an Opinion of Counsel, each stating that such consolidation, merger or disposition and such supplemental indenture (if any) comply with this Indenture. (b) Notwithstanding the restrictions described in Section 5.01(a)(4), any Restricted Subsidiary of the Parent (other than the Issuer) may consolidate with, merge into or dispose of all or part of its properties or assets to the Issuer or the Parent without complying with the preceding Section 5.01(a)(4) in connection with any such consolidation, merger or disposition. (c) Notwithstanding Section 5.01(a), the Issuer may reorganize as any other form of entity in accordance with the following procedures provided that: (1) the reorganization involves the conversion (by merger, sale, contribution or exchange of assets or otherwise) of the Issuer into a form of entity other than a limited partnership formed under Delaware law; (2) the entity so formed by or resulting from such reorganization is an entity organized or existing under the laws of the United States, any state thereof or the District of Columbia; (3) the entity so formed by or resulting from such reorganization assumes all the obligations of the Issuer under the Notes and this Indenture pursuant to a supplemental indenture reasonably satisfactory to the Trustee; (4) immediately after such reorganization no Default or Event of Default exists; and (5) such reorganization is not materially adverse to the Holders or Beneficial Owners of the Notes (for purposes of this Section 5.01(c)(5) a reorganization will not be considered materially adverse to the Holders or Beneficial Owners of the Notes solely because the successor or survivor of such reorganization (a) is subject to federal or state income taxation as an entity or (b) is considered to be an “includible corporation” of an affiliated group of corporations within the meaning of Section 1504(b) of the Code or any similar state or local law). (d) [Reserved.] (e) For purposes of this Section 5.01, the transfer (by lease, assignment, sale or otherwise, in a single transaction or series of transactions) of all or substantially all of the properties or assets of one or more Restricted Subsidiaries of the Issuer or the Parent, as the case may be, the Capital Stock of which constitutes all or substantially all of the properties or assets of the Issuer or the Parent, as applicable, shall


 
76 be deemed to be the transfer of all or substantially all of the properties or assets of the Issuer or the Parent, as applicable. Section 5.02 Successor Corporation Substituted. Upon any consolidation or merger, or any sale, assignment, transfer, lease, conveyance or other disposition of all or substantially all of the properties or assets of the Issuer or the Parent, as applicable, in a transaction that is subject to, and that complies with the provisions of, Section 5.01 hereof, the successor Person formed by such consolidation or into or with which the Issuer or the Parent, as applicable, is merged or to which such sale, assignment, transfer, lease, conveyance or other disposition is made shall succeed to, and be substituted for (so that from and after the date of such consolidation, merger, sale, assignment, transfer, lease, conveyance or other disposition, the provisions of this Indenture referring to the “Issuer” or the “Parent” shall refer instead to the successor Person and not to the Issuer or the Parent, as applicable), and may exercise every right and power of the Issuer under this Indenture and the Notes, or of the Parent under this Indenture and its Note Guarantee, as applicable, with the same effect as if such successor Person had been named as the Issuer or the Parent, as applicable, herein; and thereafter (except in the case of a lease of all or substantially all of the Issuer’s or the Parent’s properties or assets, as applicable) the predecessor Issuer or the predecessor Parent, as applicable, will be relieved of all obligations and covenants under this Indenture, the Notes and such Note Guarantee, as applicable. ARTICLE VI. DEFAULTS AND REMEDIES Section 6.01 Events of Default. Each of the following is an “Event of Default”: (1) default for 30 days in the payment when due of interest on the Notes; (2) default in the payment when due of the principal of, or premium on, if any, the Notes; (3) failure by the Issuer or the Parent to comply with the provisions of Section 4.10, 4.15 or 5.01 hereof; (4) failure by the Parent for 180 days after notice to the Parent by the Trustee or the Holders of at least 30% in aggregate principal amount of the Notes (with a copy to the Trustee) then outstanding voting as a single class to comply with Section 4.03; (5) failure by the Issuer or the Parent for 60 days after notice to the Issuer by the Trustee or the Holders of at least 30% in aggregate principal amount of the Notes (with a copy to the Trustee) then outstanding voting as a single class to comply with any of their respective other agreements in this Indenture; (6) default under any mortgage, indenture or instrument under which there may be issued or by which there may be secured or evidenced any Indebtedness for money borrowed by the Parent or any of its Restricted Subsidiaries (or the payment of which is Guaranteed by the Parent or any of its Restricted Subsidiaries), whether such Indebtedness or Guarantee now exists, or is created after the date of this Indenture, if that default:


 
77 (A) is caused by a failure to pay principal of, premium on, if any, or interest on, if any, such Indebtedness prior to the expiration of the grace period provided in such Indebtedness on the date of such default (a “Payment Default”); or (B) results in the acceleration of such Indebtedness prior to its Stated Maturity, and, in each case, the principal amount of any such Indebtedness, together with the principal amount of any other such Indebtedness under which there has been a Payment Default or the maturity of which has been so accelerated, aggregates $75.0 million or more; provided, however, if, prior to any acceleration of the Notes, (i) any such Payment Default is cured or waived, (ii) any such acceleration is rescinded, or (iii) such Indebtedness is repaid during the 20 Business Day period commencing upon the end of any applicable grace period for such Payment Default or the occurrence of such acceleration, as the case may be, any Default or Event of Default (but not any acceleration of the Notes) caused by such Payment Default or acceleration shall be automatically rescinded, so long as such rescission does not conflict with any judgment, decree or applicable law; (7) failure by the Parent or any of its Restricted Subsidiaries to pay final judgments entered by a court or courts of competent jurisdiction aggregating in excess of $75.0 million (to the extent not covered by insurance by a reputable and creditworthy insurer as to which the insurer has not disclaimed coverage), which judgments are not paid, discharged or stayed, for a period of 60 days; (8) the Issuer or any of the Parent’s Restricted Subsidiaries that is a Significant Subsidiary or any group of Restricted Subsidiaries of the Parent that, taken together, would constitute a Significant Subsidiary pursuant to or within the meaning of Bankruptcy Law: (A) commences a voluntary case, (B) consents to the entry of an order for relief against it in an involuntary case, (C) consents to the appointment of a custodian of it or for all or substantially all of its property, (D) makes a general assignment for the benefit of its creditors, or (E) generally is not paying its debts as they become due; (9) a court of competent jurisdiction enters an order or decree under any Bankruptcy Law that: (A) is for relief against the Issuer or any of the Parent’s Restricted Subsidiaries that is a Significant Subsidiary or any group of Restricted Subsidiaries of the Parent that, taken together, would constitute a Significant Subsidiary in an involuntary case; (B) appoints a custodian of the Parent, the Issuer or any of the Parent’s Restricted Subsidiaries that is a Significant Subsidiary or any group of Restricted


 
78 Subsidiaries of the Parent that, taken together, would constitute a Significant Subsidiary or for all or substantially all of the property of the Parent or any of its Restricted Subsidiaries that is a Significant Subsidiary or any group of Restricted Subsidiaries of the Parent that, taken together, would constitute a Significant Subsidiary; or (C) orders the liquidation of the Issuer or any of the Parent’s Restricted Subsidiaries that is a Significant Subsidiary or any group of Restricted Subsidiaries of the Parent that, taken together, would constitute a Significant Subsidiary; and the order or decree remains unstayed and in effect for 60 consecutive days; or (10) except as permitted by this Indenture, any Note Guarantee is held in any judicial proceeding to be unenforceable or invalid or ceases for any reason to be in full force and effect, or any Guarantor, or any Person acting on behalf of any Guarantor, denies or disaffirms its obligations under its Note Guarantee. Notwithstanding the foregoing, a Default under Section 6.01(6) or 6.01(7) will not constitute an Event of Default until the Trustee or the Holders of at least 30% in principal amount of the outstanding Notes (with a copy to the Trustee) notify the Parent of the Default and, with respect to Section 6.01(7), the Issuer does not cure such Default within the time specified in Section 6.01(7) after receipt of such notice. Any notice of Default may not be given with respect to any action taken, and reported publicly or to Holders, more than two years prior to such notice of Default. Any notice of Default, notice of acceleration or instruction to the Trustee to provide a notice of Default, notice of acceleration or take any other action (or refrain from taking any action) (a “Noteholder Direction”) provided by any one or more Holders (each a “Directing Holder”) must be accompanied by a written representation from each such Holder delivered to the Parent and the Trustee that such Holder is not (or, in the case such Holder is DTC or its nominee, that such Holder is being instructed solely by Beneficial Owners that are not) Net Short (a “Position Representation”), which representation, in the case of a Noteholder Direction relating to the delivery of a notice of Default shall be deemed a continuing representation until the resulting Event of Default is cured or otherwise ceases to exist or the Notes are accelerated. In addition, each Directing Holder is deemed, at the time of providing a Noteholder Direction, to covenant to provide the Parent (with a copy to the Trustee) with such other information as the Parent may reasonably request from time to time in order to verify the accuracy of such Noteholder’s Position Representation within five Business Days of request therefor (a “Verification Covenant”). In any case in which the Holder is DTC or its nominee (after delivery to the Trustee of appropriate confirmation of Beneficial Ownership satisfactory to the Trustee), any Position Representation or Verification Covenant required hereunder shall be provided by the Beneficial Owner of the Notes in lieu of DTC or its nominee and DTC shall be entitled to conclusively rely on such Position Representation and Verification Covenant in delivering its direction to the Trustee. The Trustee shall have no duty whatsoever to provide this information to the Parent or Issuer or to obtain this information for the Parent or Issuer. If, following the delivery of a Noteholder Direction, but prior to acceleration of the Notes, the Parent determines in good faith that there is a reasonable basis to believe a Directing Holder was, at any relevant time, in breach of its Position Representation and provides to the Trustee an Officers’ Certificate stating that the Parent has initiated litigation in a court of competent jurisdiction seeking a determination that such Directing Holder was, at such time, in breach of its Position Representation, and seeking to invalidate any Default, Event of Default or acceleration (or notice thereof) that resulted from the applicable Noteholder Direction, the cure period with respect to such Default shall be automatically stayed and the cure period with respect to such Default or Event of Default shall be automatically reinstituted and any remedy stayed pending a final and non-appealable determination of a court of


 
79 competent jurisdiction on such matter. If, following the delivery of a Noteholder Direction, but prior to acceleration of the Notes, the Parent provides to the Trustee an Officers’ Certificate stating that a Directing Holder failed to satisfy its Verification Covenant, the cure period with respect to such Default shall be automatically stayed and the cure period with respect to any Default or Event of Default that resulted from the applicable Noteholder Direction shall be automatically reinstituted and any remedy stayed pending satisfaction of such Verification Covenant. Any breach of the Position Representation shall result in such Holder’s participation in such Noteholder Direction being disregarded; and, if, without the participation of such Holder, the percentage of Notes held by the remaining Holders that provided such Noteholder Direction would have been insufficient to validly provide such Noteholder Direction, such Noteholder Direction shall be void ab initio (other than any indemnity or security such Holder may have offered the Trustee), with the effect that such Default or Event of Default shall be deemed never to have occurred, acceleration voided and the Trustee shall be deemed not to have received such Noteholder Direction or any notice of such Default or Event of Default. Notwithstanding anything in the preceding two paragraphs to the contrary, any Noteholder Direction delivered to the Trustee during the pendency of an Event of Default as the result of a bankruptcy or similar proceeding shall not require compliance with the foregoing paragraphs. For the avoidance of doubt, the Trustee shall be entitled to conclusively rely on any Noteholder Direction delivered to it in accordance with this section, shall have no duty to inquire as to or investigate the accuracy of any Position Representation, enforce compliance with any Verification Covenant, verify any statements in any Officers’ Certificate delivered to it, or otherwise make calculations, investigations or determinations with respect to Derivative Instruments, Net Shorts, Long Derivative Instruments, Short Derivative Instruments or otherwise. The Trustee shall have no liability to the Parent, any Holder or any other Person in acting in good faith on a Noteholder Direction. With their acquisition of the Notes, each Noteholder and subsequent purchaser of the Notes consents to the delivery of its Position Representation by the Trustee to the Parent in accordance with this Section 6.01. Each Noteholder and subsequent purchaser of the Notes waives any and all claims, in law and/or in equity, against the Trustee and agrees not to commence any legal proceeding against the Trustee in respect of, and agrees that the Trustee will not be liable for any action that the Trustee takes in accordance with this Section 6.01, or arising out of or in connection with following instructions or taking actions in accordance with a Noteholder Direction. The Parent and the Issuer hereby waive any and all claims, in law and/or in equity, against the Trustee, and agree not to commence any legal proceeding against the Trustee in respect of, and agree that the Trustee will not be liable for any action that the Trustee takes in accordance with this Section 6.01, or arising out of or in connection with following instructions or taking actions in accordance with a Noteholder Direction. The Parent and the Issuer hereby confirm that any and all other actions that the Trustee takes or omits to take under this Section 6.01 and all fees, costs and expenses of the Trustee and its agents and counsel arising hereunder and in connection herewith shall be covered by the Company’s indemnification under Section 7.07. The Trustee will treat all Holders equally with respect to their rights under this Section 6.01, and in connection with the requisite percentages required under this Section 6.01, and the Trustee will also treat all outstanding Notes equally irrespective of any Position Representation in determining whether the requisite percentage has been obtained with respect to the initial delivery of the Noteholder Direction. Section 6.02 Acceleration. In the case of an Event of Default specified in clause (8) or (9) of Section 6.01 hereof, with respect to the Issuer, all outstanding Notes will become due and payable immediately without further action or notice. If any other Event of Default occurs and is continuing, the Trustee or the Holders of at least 30% in principal amount of the then total outstanding Notes by written notice to the Issuer and the


 
80 Trustee may declare the principal, premium, if any, interest and any other monetary obligations on all the then outstanding Notes to be due and payable immediately. Upon the effectiveness of such declaration, such principal of and premium, if any, and interest will be due and payable immediately. The Holders of a majority in aggregate principal amount of the then outstanding Notes by written notice to the Issuer and the Trustee may, on behalf of all of the Holders of all the Notes, rescind an acceleration and its consequences hereunder, if the rescission would not conflict with any judgment or decree and if all existing Events of Default (except nonpayment of principal of, premium on, if any, or interest on the Notes that has become due solely because of the acceleration) have been cured or waived. Section 6.03 Other Remedies. If an Event of Default occurs and is continuing, the Trustee may pursue any available remedy to collect the payment of principal of, premium on, if any, or interest on the Notes or to enforce the performance of any provision of the Notes or this Indenture. The Trustee may maintain a proceeding even if it does not possess any of the Notes or does not produce any of them in the proceeding. A delay or omission by the Trustee or any Holder of a Note in exercising any right or remedy accruing upon an Event of Default shall not impair the right or remedy or constitute a waiver of or acquiescence in the Event of Default. All remedies are cumulative to the extent permitted by law. Section 6.04 Waiver of Past Defaults. The Holders of a majority in aggregate principal amount of the then outstanding Notes may, by notice to the Trustee, on behalf of the Holders of all of the Notes, waive any existing Default or Event of Default and its consequences hereunder, except a continuing Default or Event of Default in the payment of principal of, premium on, if any, or interest, if any, on the Notes (including in connection with an offer to purchase any Notes). Upon notice to the Trustee of any such waiver, such Default shall cease to exist, and any Event of Default arising therefrom shall be deemed to have been cured for every purpose of this Indenture; but no such waiver shall extend to any subsequent or other Default or impair any right consequent thereon. Section 6.05 Control by Majority. Holders of a majority in aggregate principal amount of the then outstanding Notes may direct the time, method and place of conducting any proceeding for exercising any remedy available to the Trustee or exercising any trust or power conferred on it. However, the Trustee may refuse to follow any direction that conflicts with law or this Indenture that the Trustee determines may be unduly prejudicial to the rights of other Holders of Notes (it being understood that the Trustee does not have an affirmative duty to determine whether or not any such direction is unduly prejudicial to the rights of Holders of the Notes not joining in giving such direction) or that may involve the Trustee in personal liability; provided, however, that the Trustee may take any other action deemed proper by the Trustee that is not inconsistent with such direction. Section 6.06 Limitation on Suits. No Holder of a Note may pursue any remedy with respect to this Indenture or the Notes unless:


 
81 (1) such Holder has previously given to the Trustee written notice that an Event of Default is continuing; (2) Holders of at least 25% in aggregate principal amount of the then outstanding Notes make a written request to the Trustee to pursue the remedy; (3) such Holder or Holders offer and, if requested, provide to the Trustee security or indemnity satisfactory to the Trustee against any loss, liability or expense; (4) the Trustee does not comply with such request within 60 days after receipt of the request and the offer of security or indemnity; and (5) during such 60-day period, Holders of a majority in aggregate principal amount of the then outstanding Notes do not give the Trustee a direction inconsistent with such request. A Holder of a Note may not use this Indenture to prejudice the rights of another Holder of a Note or to obtain a preference or priority over another Holder of a Note. The Trustee will have no duty to determine whether any Holder’s use of this Indenture complies with the preceding sentence. Section 6.07 Rights of Holders of Notes to Receive Payment. Notwithstanding any other provision of this Indenture, the right of any Holder of a Note to receive payment of principal of, premium on, if any, or interest, if any, on the Note, on or after the respective due dates expressed in the Note (including in connection with an offer to purchase), or to bring suit for the enforcement of any such payment on or after such respective dates, shall not be impaired or affected without the consent of such Holder. Section 6.08 Collection Suit by Trustee. If an Event of Default specified in Section 6.01(1) or (2) hereof occurs and is continuing, the Trustee is authorized to recover judgment in its own name and as trustee of an express trust against the Issuer for the whole amount of principal of, premium on, if any, and interest, if any, remaining unpaid on, the Notes and, to the extent lawful, interest on overdue principal and interest and such further amount as shall be sufficient to cover the costs and expenses of collection, including the reasonable compensation, expenses, disbursements and advances of the Trustee, its agents and counsel. Section 6.09 Trustee May File Proofs of Claim. The Trustee is authorized to file such proofs of claim and other papers or documents as may be necessary or advisable in order to have the claims of the Trustee (including any claim for the reasonable compensation, expenses, disbursements and advances of the Trustee, its agents and counsel) and the Holders of the Notes allowed in any judicial proceedings relative to the Issuer (or any other obligor upon the Notes), its creditors or its property and shall be entitled and empowered to collect, receive and distribute any money or other property payable or deliverable on any such claims and any custodian in any such judicial proceeding is hereby authorized by each Holder to make such payments to the Trustee, and in the event that the Trustee shall consent to the making of such payments directly to the Holders, to pay to the Trustee any amount due to it for the reasonable compensation, expenses, disbursements and advances of the Trustee, its agents and counsel, and any other amounts due the Trustee under Section 7.07 hereof. To the extent that the payment of any such compensation, expenses, disbursements and advances of the Trustee, its agents and counsel, and any other amounts due the Trustee under Section 7.07 hereof out of the estate in any such proceeding, shall be denied for any reason, payment of the same shall be


 
82 secured by a Lien on, and shall be paid out of, any and all distributions, dividends, money, securities and other properties that the Holders may be entitled to receive in such proceeding whether in liquidation or under any plan of reorganization or arrangement or otherwise. Nothing herein contained shall be deemed to authorize the Trustee to authorize or consent to or accept or adopt on behalf of any Holder any plan of reorganization, arrangement, adjustment or composition affecting the Notes or the rights of any Holder, or to authorize the Trustee to vote in respect of the claim of any Holder in any such proceeding. Section 6.10 Priorities. If the Trustee collects any money pursuant to this Article 6, it shall pay out the money in the following order: First: to the Trustee, its agents and attorneys for amounts due under Section 7.07 hereof, including payment of all compensation, expenses and liabilities incurred, and all advances made, by the Trustee and the costs and expenses of collection; Second: to Holders of Notes for amounts due and unpaid on the Notes for principal, premium, if any, and interest, if any, ratably, without preference or priority of any kind, according to the amounts due and payable on the Notes for principal, premium, if any, and interest, if any, respectively; and Third: to the Issuer or to such party as a court of competent jurisdiction shall direct. The Trustee may fix a record date and payment date for any payment to Holders of Notes pursuant to this Section 6.10. Section 6.11 Undertaking for Costs. In any suit for the enforcement of any right or remedy under this Indenture or in any suit against the Trustee for any action taken or omitted by it as a Trustee, a court in its discretion may require the filing by any party litigant in the suit of an undertaking to pay the costs of the suit, and the court in its discretion may assess reasonable costs, including reasonable attorneys’ fees, against any party litigant in the suit, having due regard to the merits and good faith of the claims or defenses made by the party litigant. This Section 6.11 does not apply to a suit by the Trustee, a suit by a Holder of a Note pursuant to Section 6.07 hereof, or a suit by Holders of more than 10% in aggregate principal amount of the then outstanding Notes. ARTICLE VII. TRUSTEE Section 7.01 Duties of Trustee. (a) If an Event of Default has occurred and is continuing, the Trustee will exercise such of the rights and powers vested in it by this Indenture, and use the same degree of care and skill in its exercise, as a prudent man would exercise or use under the circumstances in the conduct of his own affairs. (b) Except during the continuance of an Event of Default: (1) the duties of the Trustee will be determined solely by the express provisions of this Indenture and the Trustee need perform only those duties that are specifically set forth in this


 
83 Indenture and no others, and no implied covenants or obligations shall be read into this Indenture against the Trustee; and (2) in the absence of bad faith on its part, the Trustee may conclusively rely, as to the truth of the statements and the correctness of the opinions expressed therein, upon certificates or opinions furnished to the Trustee and conforming to the requirements of this Indenture. However, the Trustee will examine the certificates and opinions to determine whether or not they conform to the requirements of this Indenture (but need not confirm or investigate the accuracy of any such opinions and certificates, including mathematical calculations or other facts stated therein). (c) The Trustee may not be relieved from liabilities for its own grossly negligent action, its own grossly negligent failure to act, or its own willful misconduct, except that: (1) this paragraph does not limit the effect of paragraph (b) of this Section 7.01; (2) the Trustee will not be liable for any error of judgment made in good faith by a Responsible Officer, unless it is proved that the Trustee was grossly negligent in ascertaining the pertinent facts; and (3) the Trustee will not be liable with respect to any action it takes or omits to take in good faith in accordance with a direction received by it pursuant to Section 6.05 hereof. (d) Whether or not therein expressly so provided, every provision of this Indenture that in any way relates to the Trustee is subject to paragraphs (a), (b), and (c) of this Section 7.01. (e) No provision of this Indenture will require the Trustee to expend or risk its own funds or incur any liability. The Trustee will be under no obligation to exercise any of its rights and powers under this Indenture at the request of any Holders, unless such Holder has offered to the Trustee security and indemnity satisfactory to it against any loss, liability or expense. (f) The Trustee will not be liable for interest on any money received by it except as the Trustee may agree in writing with the Issuer. Money held in trust by the Trustee need not be segregated from other funds except to the extent required by law. Section 7.02 Rights of Trustee. (a) The Trustee may conclusively rely upon any document believed by it to be genuine and to have been signed or presented by the proper Person. The Trustee need not investigate any fact or matter stated in the document. (b) Before the Trustee acts or refrains from acting, it may require an Officers’ Certificate or an Opinion of Counsel or both. The Trustee will not be liable for any action it takes or omits to take in good faith in reliance on such Officers’ Certificate or Opinion of Counsel. The Trustee may consult with counsel of its selection and the advice of such counsel or any Opinion of Counsel will be full and complete authorization and protection from liability in respect of any action taken, suffered or omitted by it hereunder in good faith and in reliance thereon. (c) The Trustee may act through its attorneys and agents and will not be responsible for the misconduct or negligence of any agent appointed with due care.


 
84 (d) The Trustee will not be liable for any action it takes or omits to take in good faith that it believes to be authorized or within the rights or powers conferred upon it by this Indenture. (e) Unless otherwise specifically provided in this Indenture, any demand, request, direction or notice from the Issuer will be sufficient if signed by an Officer of the Issuer. (f) The Trustee will be under no obligation to exercise any of the rights or powers vested in it by this Indenture at the request or direction of any of the Holders unless such Holders have offered to the Trustee indemnity or security satisfactory to it against the losses, liabilities and expenses that might be incurred by it in compliance with such request or direction. (g) The rights, privileges, protections, immunities and benefits given to Trustee, including, without limitation, its right to be compensated and indemnified, are extended to, and shall be enforceable by, the Trustee in each of its capacities hereunder. (h) The Trustee will not be responsible or liable for any punitive, special, indirect or consequential loss or damage of any kind whatsoever (including lost profits), even if the Trustee has been advised of the likelihood of such loss or damage and regardless of the form of action. (i) The Trustee will not be deemed to have notice or knowledge of any Default or Event of Default unless a Responsible Officer of the Trustee has actual knowledge thereof or unless written notice of any event which is in fact such a Default or Event of Default is received by the Trustee at the Corporate Trust Office of the Trustee, and such notice references the existence of a Default or Event of Default under the Notes and this Indenture. (j) The Trustee may request that the Issuer deliver an Officers’ Certificate setting forth the names of individuals and/or titles of officers authorized at such time to take specified actions pursuant to this Indenture, which Officers’ Certificate may be signed by any person authorized to sign an Officers’ Certificate, including any person specified as so authorized in any such certificate previously delivered and not superseded. (k) The Trustee will not be required to give any bond or surety in respect of the execution of the trusts and powers under this Indenture. (l) Any permissive right of the Trustee to take or refrain from taking actions enumerated in this Indenture will not be construed as a duty. Section 7.03 Individual Rights of Trustee. The Trustee in its individual or any other capacity may become the owner or pledgee of Notes and may otherwise deal with the Issuer or any Affiliate of the Issuer with the same rights it would have if it were not Trustee. However, in the event that the Trustee acquires any conflicting interest (as defined in the TIA after a Default has occurred and is continuing) it must eliminate such conflict within 90 days or resign. Any Agent may do the same with like rights and duties. The Trustee is also subject to Sections 7.10 and 7.11 hereof. Section 7.04 Trustee’s Disclaimer. The Trustee will not be responsible for and makes no representation as to the validity or adequacy of this Indenture or the Notes, it shall not be accountable for the Issuer’s use of the proceeds from the Notes or any money paid to the Issuer or upon the Issuer’s direction under any provision of this Indenture,


 
85 it will not be responsible for the use or application of any money received by any Paying Agent other than the Trustee, and it will not be responsible for any statement or recital herein or any statement in the Notes or any other document in connection with the sale of the Notes or pursuant to this Indenture other than its certificate of authentication. Section 7.05 Notice of Defaults. If a Default or Event of Default occurs and is continuing and if it is known to the Trustee as provided in Section 7.02(i), the Trustee will send to Holders of Notes a notice of the Default or Event of Default within 90 days after it occurs. Except in the case of a Default or Event of Default in payment of principal of, premium on, if any, or interest on, any Note, the Trustee may withhold the notice if and so long as a committee of its Responsible Officers in good faith determines that withholding the notice is in the interests of the Holders of the Notes. Section 7.06 [Reserved]. Section 7.07 Compensation and Indemnity. (a) The Issuer will pay to the Trustee from time to time reasonable compensation for its acceptance of this Indenture and services hereunder. The Trustee’s compensation will not be limited by any law on compensation of a trustee of an express trust. The Issuer will reimburse the Trustee promptly upon request for all reasonable disbursements, advances and expenses incurred or made by it in addition to the compensation for its services. Such expenses will include the reasonable compensation, disbursements and expenses of the Trustee’s agents and counsel. (b) The Issuer and the Guarantors, jointly and severally, will indemnify, defend and protect each of the Trustee and its officers, directors, agents and employees for, and hold them harmless against, any and all losses, liabilities, damages, claims or expenses, including taxes (other than taxes based upon, measured by or determined by the earnings or income of the Trustee) and court costs, incurred by it arising out of or in connection with the acceptance or administration of its duties under this Indenture, including the costs and expenses of enforcing this Indenture against the Issuer and the Guarantors (including this Section 7.07) and defending itself against any claim (whether asserted by the Issuer, the Guarantors, any Holder or any other Person) or liability in connection with the exercise or performance of any of its powers or duties hereunder, except to the extent any such loss, liability or expense may be attributable to its willful misconduct or gross negligence as determined by a final, non-appealable judgment of a court of competent jurisdiction. The Trustee will notify the Issuer promptly of any claim for which it may seek indemnity. Failure by the Trustee to so notify the Issuer will not relieve the Issuer or any of the Guarantors of their obligations hereunder. The Issuer or any such Guarantor will defend the claim and the Trustee will cooperate in the defense. The Trustee may have separate counsel, and the Issuer will pay the reasonable fees and expenses of such counsel. Neither the Issuer nor any Guarantor need pay for any settlement made without its consent, which consent will not be unreasonably withheld. (c) The obligations of the Issuer and the Guarantors under this Section 7.07 will survive resignation or removal of the Trustee and the satisfaction and discharge of this Indenture. (d) To secure the Issuer’s and the Guarantors’ payment obligations in this Section 7.07, the Trustee will have a Lien prior to the Notes on all money or property held or collected by the Trustee, except that held in trust to pay principal of, premium on, if any, or interest, if any, on, particular Notes. Such Lien will survive the satisfaction and discharge of this Indenture.


 
86 (e) When the Trustee incurs expenses or renders services after an Event of Default specified in Section 6.01(8) or (9) hereof occurs, the expenses and the compensation for the services (including the fees and expenses of its agents and counsel) are intended to constitute expenses of administration under any Bankruptcy Law. Section 7.08 Replacement of Trustee. (a) A resignation or removal of the Trustee and appointment of a successor Trustee will become effective only upon the successor Trustee’s acceptance of appointment as provided in this Section 7.08. (b) The Trustee may resign in writing at any time and be discharged from the trust hereby created by so notifying the Issuer. The Holders of a majority in aggregate principal amount of the then outstanding Notes may remove the Trustee by so notifying the Trustee and the Issuer in writing at least 30 days in advance of such removal. The Issuer may remove the Trustee if: (1) the Trustee fails to comply with Section 7.10 hereof; (2) the Trustee is adjudged a bankrupt or an insolvent or an order for relief is entered with respect to the Trustee under any Bankruptcy Law; (3) a custodian or public officer takes charge of the Trustee or its property; or (4) the Trustee becomes incapable of acting. (c) If the Trustee resigns or is removed or if a vacancy exists in the office of Trustee for any reason, the Issuer will promptly appoint a successor Trustee. Within one year after the successor Trustee takes office, the Holders of a majority in aggregate principal amount of the then outstanding Notes may appoint a successor Trustee to replace the successor Trustee appointed by the Issuer. (d) If a successor Trustee does not take office within 60 days after the retiring Trustee resigns or is removed, the retiring Trustee (at the Issuer’s expense), the Issuer, or the Holders of at least 10% in aggregate principal amount of the then outstanding Notes may petition any court of competent jurisdiction for the appointment of a successor Trustee. (e) If the Trustee, after written request by any Holder who has been a Holder for at least six months, fails to comply with Section 7.10 hereof, such Holder may petition any court of competent jurisdiction for the removal of the Trustee and the appointment of a successor Trustee. (f) A successor Trustee will deliver a written acceptance of its appointment to the retiring Trustee and to the Issuer. Thereupon, the resignation or removal of the retiring Trustee will become effective, and the successor Trustee will have all the rights, powers and duties of the Trustee under this Indenture. The successor Trustee will send a notice of its succession to Holders. The retiring Trustee will promptly transfer all property held by it as Trustee to the successor Trustee; provided all sums owing to the Trustee hereunder have been paid and subject to the Lien provided for in Section 7.07 hereof. Notwithstanding replacement of the Trustee pursuant to this Section 7.08, the Issuer’s obligations under Section 7.07 hereof will continue for the benefit of the retiring Trustee. Section 7.09 Successor Trustee by Merger, etc.


 
87 If the Trustee consolidates, merges or converts into, or transfers all or substantially all of its corporate trust business to, another Person, the successor Person without any further act will be the successor Trustee. Section 7.10 Eligibility; Disqualification. There will at all times be a Trustee hereunder that is a corporation organized and doing business under the laws of the United States of America or of any state thereof that is authorized under such laws to exercise corporate trustee power, that is subject to supervision or examination by federal or state authorities and that has a combined capital and surplus of at least $100.0 million as set forth in its most recent published annual report of condition. Section 7.11 Preferential Collection of Claims Against Issuer. The Trustee is subject to TIA §311(a), excluding any creditor relationship listed in TIA §311(b). A Trustee who has resigned or been removed shall be subject to TIA §311(a) to the extent indicated therein. ARTICLE VIII. LEGAL DEFEASANCE AND COVENANT DEFEASANCE Section 8.01 Option to Effect Legal Defeasance or Covenant Defeasance. At the option of the Board of Directors of the Parent evidenced by a resolution set forth in an Officers’ Certificate, elect to have either Section 8.02 or 8.03 hereof be applied to all outstanding Notes upon compliance with the conditions set forth below in this Article 8. Section 8.02 Legal Defeasance and Discharge. Upon the Issuer’s exercise under Section 8.01 hereof of the option applicable to this Section 8.02, the Issuer and each of the Guarantors will, subject to the satisfaction of the conditions set forth in Section 8.04 hereof, be deemed to have been discharged from their obligations with respect to all outstanding Notes (including the Note Guarantees) on the date the conditions set forth below are satisfied (hereinafter, “Legal Defeasance”). For this purpose, Legal Defeasance means that the Issuer and the Guarantors will be deemed to have paid and discharged the entire Indebtedness represented by the outstanding Notes (including the Note Guarantees), which will thereafter be deemed to be “outstanding” only for the purposes of Section 8.05 hereof and the other Sections of this Indenture referred to in Section 8.02(1) and (2), and to have satisfied all their other obligations under such Notes, the Note Guarantees and this Indenture (and the Trustee, on demand of and at the expense of the Issuer, shall execute proper instruments acknowledging the same), except for the following provisions which will survive until otherwise terminated or discharged hereunder: (1) the rights of Holders of outstanding Notes to receive payments in respect of the principal of, premium on, if any, or interest on, such Notes when such payments are due from the trust referred to in Section 8.04 hereof; (2) the Issuer’s obligations with respect to such Notes under Article 2 and Section 4.02 hereof; (3) the rights, powers, trusts, duties and immunities of the Trustee hereunder and the Issuer’s and the Guarantors’ obligations in connection therewith; and


 
88 (4) this Article 8. Subject to compliance with this Article 8, the Issuer may exercise its option under this Section 8.02 notwithstanding the prior exercise of their option under Section 8.03 hereof. Section 8.03 Covenant Defeasance. Upon the Issuer’s exercise under Section 8.01 hereof of the option applicable to this Section 8.03, the Issuer and each of the Guarantors will, subject to the satisfaction of the conditions set forth in Section 8.04 hereof, be released from each of their respective obligations under the covenants contained in Sections 4.07, 4.08, 4.09, 4.10, 4.11, 4.12, 4.15, 4.17 and 4.18 hereof and Section 5.01(a)(4) hereof with respect to the outstanding Notes on and after the date the conditions set forth in Section 8.04 hereof are satisfied (hereinafter, “Covenant Defeasance”), and the Notes will thereafter be deemed not “outstanding” for the purposes of any direction, waiver, consent or declaration or act of Holders (and the consequences of any thereof) in connection with such covenants, but will continue to be deemed “outstanding” for all other purposes hereunder (it being understood that such Notes will not be deemed outstanding for accounting purposes to the extent permitted by GAAP). For this purpose, Covenant Defeasance means that, with respect to the outstanding Notes and Note Guarantees, the Issuer and the Guarantors may omit to comply with and will have no liability in respect of any term, condition or limitation set forth in any such covenant, whether directly or indirectly, by reason of any reference elsewhere herein to any such covenant or by reason of any reference in any such covenant to any other provision herein or in any other document and such omission to comply will not constitute a Default or an Event of Default under Section 6.01 hereof, but, except as specified above, the remainder of this Indenture and such Notes and Note Guarantees will be unaffected thereby. In addition, upon the Issuer’s exercise under Section 8.01 hereof of the option applicable to this Section 8.03, subject to the satisfaction of the conditions set forth in Section 8.04 hereof, Sections 6.01(3), (4), (5), (6), (7) and (10) hereof will not constitute Events of Default. Section 8.04 Conditions to Legal or Covenant Defeasance. In order to exercise either Legal Defeasance or Covenant Defeasance under either Section 8.02 or 8.03 hereof: (1) the Issuer must irrevocably deposit with the Trustee, in trust, for the benefit of the Holders of the Notes, cash in U.S. dollars, non-callable Government Securities, or a combination of cash in U.S. dollars and non-callable Government Securities, in amounts as will be sufficient, without consideration of any reinvestment of interest (which in the case of a deposit in whole or in part of non-callable Government Securities will be evidenced by the opinion of a nationally recognized firm of independent public accountants as to the sufficiency of such deposit), to pay the principal of, and interest and premium, if any, on, the outstanding Notes on the date of fixed maturity or on the applicable redemption date, as the case may be, and the Issuer must specify whether the Notes are being defeased to the date of fixed maturity or to a particular redemption date; (2) in the case of an election under Section 8.02 hereof, the Issuer must deliver to the Trustee an opinion of counsel reasonably acceptable to the Trustee confirming that: (A) the Issuer has received from, or there has been published by, the Internal Revenue Service a ruling; or


 
89 (B) since the date of this Indenture, there has been a change in the applicable federal income tax law, in either case to the effect that, and based thereon such opinion of counsel will confirm that, the Holders of the outstanding Notes will not recognize income, gain or loss for federal income tax purposes as a result of such Legal Defeasance and will be subject to federal income tax on the same amounts, in the same manner and at the same times as would have been the case if such Legal Defeasance had not occurred; (3) in the case of an election under Section 8.03 hereof, the Issuer must deliver to the Trustee an opinion of counsel reasonably acceptable to the Trustee confirming that the Holders of the outstanding Notes will not recognize income, gain or loss for federal income tax purposes as a result of such Covenant Defeasance and will be subject to federal income tax on the same amounts, in the same manner and at the same times as would have been the case if such Covenant Defeasance had not occurred; (4) no Default or Event of Default has occurred and is continuing on the date of such deposit (other than a Default or Event of Default resulting from the incurrence of Indebtedness, the proceeds of which are applied to such deposit (and any similar concurrent deposit relating to other Indebtedness), and the granting of Liens to secure such Indebtedness); (5) such Legal Defeasance or Covenant Defeasance will not result in a breach or violation of, or constitute a default under, any material agreement or instrument (other than this Indenture and the agreements governing any other Indebtedness being defeased, discharged or replaced) to which the Parent or any of its Subsidiaries is a party or by which the Parent or any of its Subsidiaries is bound; (6) the Issuer must deliver to the Trustee an Officers’ Certificate stating that the deposit was not made by the Issuer with the intent of preferring the Holders of Notes over the other creditors of the Issuer with the intent of defeating, hindering, delaying or defrauding creditors of the Issuer or others; and (7) the Issuer must deliver to the Trustee an Officers’ Certificate and an Opinion of Counsel, each stating that all conditions precedent relating to the Legal Defeasance or the Covenant Defeasance have been complied with. Section 8.05 Deposited Money and Government Securities to be Held in Trust; Other Miscellaneous Provisions. Subject to Section 8.06 hereof, all money and non-callable Government Securities (including the proceeds thereof) deposited with the Trustee (or other qualifying trustee, collectively for purposes of this Section 8.05, the “Trustee”) pursuant to Section 8.04 hereof in respect of the outstanding Notes will be held in trust and applied by the Trustee, in accordance with the provisions of such Notes and this Indenture, to the payment, either directly or through any Paying Agent (including the Parent or any of its Subsidiaries acting as Paying Agent) as the Trustee may determine, to the Holders of such Notes of all sums due and to become due thereon in respect of principal, premium, if any, and interest, but such money need not be segregated from other funds except to the extent required by law. The Issuer will pay and indemnify the Trustee against any tax, fee or other charge imposed on or assessed against the cash or non-callable Government Securities deposited pursuant to Section 8.04 hereof


 
90 or the principal and interest received in respect thereof other than any such tax, fee or other charge which by law is for the account of the Holders of the outstanding Notes. Notwithstanding anything in this Article 8 to the contrary, the Trustee will deliver or pay to the Issuer from time to time upon the request of the Issuer any money or non-callable Government Securities held by it as provided in Section 8.04 hereof which, in the opinion of a nationally recognized firm of independent public accountants expressed in a written certification thereof delivered to the Trustee (which may be the opinion delivered under Section 8.04(1) hereof), are in excess of the amount thereof that would then be required to be deposited to effect an equivalent Legal Defeasance or Covenant Defeasance. Section 8.06 Repayment to Issuer. Subject to applicable escheat and abandoned property laws, any money deposited with the Trustee or any Paying Agent, or then held by the Issuer, in trust for the payment of the principal of, premium on, if any, or interest, if any, on, any Note and remaining unclaimed for two years after such principal, premium, if any, or interest has become due and payable shall be paid to the Issuer on their request or (if then held by the Issuer) will be discharged from such trust; and the Holder of such Note will thereafter be permitted to look only to the Issuer for payment thereof, and all liability of the Trustee or such Paying Agent with respect to such trust money, and all liability of the Issuer as trustee thereof, will thereupon cease; provided, however, that, if any Definitive Notes are then outstanding, the Trustee or such Paying Agent, before being required to make any such repayment, may at the expense of the Issuer cause to be published once, in the New York Times and The Wall Street Journal (national edition), notice that such money remains unclaimed and that, after a date specified therein, which will not be less than 30 days from the date of such notification or publication, any unclaimed balance of such money then remaining will be repaid to the Issuer. Section 8.07 Reinstatement. If the Trustee or Paying Agent is unable to apply any U.S. dollars or non-callable Government Securities in accordance with Section 8.02 or 8.03 hereof, as the case may be, by reason of any order or judgment of any court or governmental authority enjoining, restraining or otherwise prohibiting such application, then the Issuer’s and the Guarantors’ obligations under this Indenture and the Notes and the Note Guarantees will be revived and reinstated as though no deposit had occurred pursuant to Section 8.02 or 8.03 hereof until such time as the Trustee or Paying Agent is permitted to apply all such money in accordance with Section 8.02 or 8.03 hereof, as the case may be; provided, however, that, if the Issuer makes any payment of principal of, premium on, if any, or interest on any Note following the reinstatement of its obligations, the Issuer will be subrogated to the rights of the Holders of such Notes to receive such payment from the money held by the Trustee or Paying Agent. ARTICLE IX. AMENDMENT, SUPPLEMENT AND WAIVER Section 9.01 Without Consent of Holders of Notes. Notwithstanding Section 9.02 of this Indenture, without the consent of any Holder of Notes, the Issuer, the Guarantors and the Trustee may amend or supplement this Indenture, the Notes or the Note Guarantees: (1) to cure any ambiguity, defect or inconsistency; (2) to provide for uncertificated Notes in addition to or in place of certificated Notes;


 
91 (3) to provide for any assumption of the Issuer’s or a Guarantor’s obligations to Holders of Notes permitted under the terms of this Indenture; (4) to comply with the covenant relating to mergers, consolidations and sales of assets; (5) to make any change that would provide any additional rights or benefits to the Holders of Notes or that does not adversely affect the legal rights under this Indenture of any such Holder; (6) to secure the Notes or the Note Guarantees pursuant to the requirements of Section 4.12; (7) to provide for the issuance of Additional Notes in accordance with the limitations set forth in this Indenture; (8) to add any additional Guarantor or to evidence the release of any Guarantor from its Note Guarantee, in each case as provided in this Indenture; (9) to evidence or provide for the acceptance of appointment under this Indenture of a successor Trustee; (10) at the Parent’s election, to comply with requirements of the SEC in order to effect or maintain the qualification of this Indenture under the Trust Indenture Act, if applicable; (11) to comply with the rules and procedures of any applicable securities depositary; (12) to make any amendment to the provisions of this Indenture relating to the transfer and legending of Notes as permitted by this Indenture, including, to facilitate the issuance and administration of the Notes; provided that (a) compliance with this Indenture as so amended would not result in Notes being transferred in violation of the Securities Act or any applicable securities law and (b) such amendment does not materially and adversely affect the rights of Holders to transfer Notes; or (13) to conform the text of this Indenture, the Note Guarantees or the Notes to any provision of the “Description of Notes” in the Issuer’s offering memorandum, dated March 11, 2026. Upon the request of the Issuer, and upon receipt by the Trustee of the documents described in Section 9.06 hereof, the Trustee will join with the Issuer and the Guarantors in the execution of any amended or supplemental indenture authorized or permitted by the terms of this Section 9.01 and to make any further appropriate agreements and stipulations that may be therein contained, but the Trustee will not be obligated to enter into such amended or supplemental indenture that affects its own rights, duties or immunities under this Indenture or otherwise. Section 9.02 With Consent of Holders of Notes. Except as provided below in this Section 9.02, the Issuer, the Guarantors and the Trustee may amend or supplement this Indenture (including, without limitation, Sections 3.09, 4.10 and 4.15 hereof) and the Notes and the Note Guarantees with the consent of the Holders of a majority in aggregate principal amount of the then outstanding Notes (including, without limitation, Additional Notes, if any)


 
92 voting as a single class (including, without limitation, consents obtained in connection with a tender offer or exchange offer for, or purchase of, the Notes), and, subject to Sections 6.04 and 6.07 hereof, any existing Default or Event of Default (other than a Default or Event of Default in the payment of the principal of, premium on, if any, or interest on, the Notes, except a payment default resulting from an acceleration that has been rescinded) or compliance with any provision of this Indenture or the Notes or the Note Guarantees may be waived with the consent of the Holders of a majority in aggregate principal amount of the then outstanding Notes (including, without limitation, Additional Notes, if any) voting as a single class (including, without limitation, consents obtained in connection with a tender offer or exchange offer for, or purchase of, the Notes). (Section 2.08 hereof shall determine which Notes are considered to be “outstanding” for purposes of this Section 9.02.) However, without the consent of each Holder affected, an amendment, supplement or waiver under this Section 9.02 may not (with respect to any Notes held by a non-consenting Holder): (1) reduce the principal amount of Notes whose Holders must consent to an amendment, supplement or waiver; (2) reduce the principal of or change the fixed maturity of any Note or alter the provisions with respect to the redemption or repurchase of the Notes (other than provisions under Sections 4.10 and 4.15); (3) reduce the rate of or change the time for payment of interest on any Note; (4) waive a Default or Event of Default in the payment of principal of, or interest or premium, if any, on the Notes (except a rescission of acceleration of the Notes by the Holders of a majority in aggregate principal amount of the Notes and a waiver of the payment default that resulted from such acceleration); (5) make any Note payable in currency other than that stated in the Notes; (6) make any change in the provisions of this Indenture relating to waivers of past Defaults or the rights of Holders of Notes to receive payments of principal of, or interest or premium, if any, on the Notes (other than as permitted in Section 9.02(7) below); (7) waive a redemption or repurchase payment with respect to any Note (other than a payment required by Section 4.10 or 4.15); (8) release any Guarantor from any of its obligations under its Note Guarantee or this Indenture, except in accordance with the terms of this Indenture; or (9) make any change in the preceding amendment, supplement and waiver provisions. Upon the request of the Issuer accompanied by a resolution of its Board of Directors authorizing the execution of any such amended or supplemental indenture, and upon the filing with the Trustee of evidence satisfactory to the Trustee of the consent of the Holders of Notes as aforesaid, and upon receipt by the Trustee of the documents described in Section 9.06 hereof, the Trustee will join with the Issuer and the Guarantors in the execution of such amended or supplemental indenture unless such amended or supplemental indenture directly affects the Trustee’s own rights, duties or immunities under this Indenture or otherwise, in which case the Trustee may in its discretion, but will not be obligated to, enter into such amended or supplemental indenture.


 
93 It is not necessary for the consent of the Holders of Notes under this Section 9.02 to approve the particular form of any proposed amendment, supplement or waiver, but it is sufficient if such consent approves the substance thereof. After an amendment, supplement or waiver under this Section 9.02 becomes effective, the Issuer will send to the Holders of Notes affected thereby a notice briefly describing the amendment, supplement or waiver. Any failure of the Issuer to give such notice, or any defect therein, will not, however, in any way impair or affect the validity of any such amended or supplemental indenture or waiver. Section 9.03 [Reserved]. Section 9.04 Revocation and Effect of Consents. Until an amendment, supplement or waiver becomes effective, a consent to it by a Holder of a Note is a continuing consent by the Holder of a Note and every subsequent Holder of a Note or portion of a Note that evidences the same debt as the consenting Holder’s Note, even if notation of the consent is not made on any Note. However, any such Holder of a Note or subsequent Holder of a Note may revoke the consent as to its Note if the Trustee receives written notice of revocation before the date the amendment, supplement or waiver becomes effective. An amendment, supplement or waiver becomes effective in accordance with its terms and thereafter binds every Holder. Section 9.05 Notation on or Exchange of Notes. The Trustee may place an appropriate notation about an amendment, supplement or waiver on any Note thereafter authenticated. The Issuer in exchange for all Notes may issue and the Trustee shall, upon receipt of an Authentication Order, authenticate new Notes that reflect the amendment, supplement or waiver. Failure to make the appropriate notation or issue a new Note will not affect the validity and effect of such amendment, supplement or waiver. Section 9.06 Trustee to Sign Amendments, etc. The Trustee will sign any amended or supplemental indenture authorized pursuant to this Article 9 if the amendment or supplement does not adversely affect the rights, duties, liabilities or immunities of the Trustee. In executing any amended or supplemental indenture, the Trustee will be entitled to receive and (subject to Section 7.01 hereof) will be fully protected in relying upon, in addition to the documents required by Sections 7.02(b) and 12.04 hereof, an Officers’ Certificate and an Opinion of Counsel stating that the execution of such amended or supplemental indenture is authorized or permitted by this Indenture. ARTICLE X. NOTE GUARANTEES Section 10.01 Guarantee. (a) Subject to this Article 10, each of the Guarantors hereby, jointly and severally, unconditionally Guarantees to each Holder of a Note authenticated and delivered by the Trustee and to the Trustee and its successors and assigns, irrespective of the validity and enforceability of this Indenture, the Notes or the obligations of the Issuer hereunder or thereunder, that:


 
94 (1) the principal of, premium on, if any, and interest on, the Notes will be promptly paid in full when due, whether at Stated Maturity, by acceleration, redemption or otherwise, and interest on the overdue principal of, premium on, if any, and interest on, the Notes, if lawful, and all other obligations of the Issuer to the Holders or the Trustee hereunder or thereunder will be promptly paid in full or performed, all in accordance with the terms hereof and thereof; and (2) in case of any extension of time of payment or renewal of any Notes or any of such other obligations, that same will be promptly paid in full when due or performed in accordance with the terms of the extension or renewal, whether at Stated Maturity, by acceleration or otherwise. Failing payment when due of any amount so Guaranteed or any performance so Guaranteed for whatever reason, the Guarantors will be jointly and severally obligated to pay the same immediately. Each Guarantor agrees that this is a Guarantee of payment and not a Guarantee of collection. (b) The Guarantors hereby agree that their obligations hereunder are unconditional, irrespective of the validity, regularity or enforceability of the Notes or this Indenture, the absence of any action to enforce the same, any waiver or consent by any Holder of the Notes with respect to any provisions hereof or thereof, the recovery of any judgment against the Issuer, any action to enforce the same or any other circumstance which might otherwise constitute a legal or equitable discharge or defense of a guarantor. Each Guarantor hereby waives diligence, presentment, demand of payment, filing of claims with a court in the event of insolvency or bankruptcy of the Issuer, any right to require a proceeding first against the Issuer, protest, notice and all demands whatsoever and covenant that this Note Guarantee will not be discharged except by complete performance of the obligations contained in the Notes and this Indenture. (c) If any Holder or the Trustee is required by any court or otherwise to return to the Issuer, the Guarantors or any custodian, trustee, liquidator or other similar official acting in relation to either the Issuer or the Guarantors, any amount paid by any of them to the Trustee or such Holder, this Note Guarantee, to the extent theretofore discharged, will be reinstated in full force and effect. (d) Each Guarantor agrees that it will not be entitled to any right of subrogation in relation to the Holders in respect of any obligations Guaranteed hereby until payment in full of all obligations Guaranteed hereby. Each Guarantor further agrees that, as between the Guarantors, on the one hand, and the Holders and the Trustee, on the other hand, (1) the maturity of the obligations Guaranteed hereby may be accelerated as provided in Article 6 hereof for the purposes of this Note Guarantee, notwithstanding any stay, injunction or other prohibition preventing such acceleration in respect of the obligations Guaranteed hereby, and (2) in the event of any declaration of acceleration of such obligations as provided in Article 6 hereof, such obligations (whether or not due and payable) will forthwith become due and payable by the Guarantors for the purpose of this Note Guarantee. The Guarantors will have the right to seek contribution from any non-paying Guarantor so long as the exercise of such right does not impair the rights of the Holders under the Note Guarantee. Section 10.02 Limitation on Guarantor Liability. Each Guarantor, and by its acceptance of Notes, each Holder, hereby confirm that it is the intention of all such parties that the Note Guarantee of such Guarantor not constitute a fraudulent transfer or conveyance for purposes of Bankruptcy Law, the Uniform Fraudulent Conveyance Act, the Uniform Fraudulent Transfer Act or any similar federal or state law to the extent applicable to any Note Guarantee. To effectuate the foregoing intention, the Trustee, the Holders and the Guarantors hereby irrevocably agree that the obligations of such Guarantor will be limited to the maximum amount that will, after giving


 
95 effect to such maximum amount and all other contingent and fixed liabilities of such Guarantor that are relevant under such laws, and after giving effect to any collections from, rights to receive contribution from or payments made by or on behalf of any other Guarantor in respect of the obligations of such other Guarantor under this Article 10, result in the obligations of such Guarantor under its Note Guarantee not constituting a fraudulent transfer or conveyance. Section 10.03 Execution and Delivery of Note Guarantee. To evidence its Note Guarantee set forth in Section 10.1 hereof, each Guarantor hereby agrees that a notation of such Note Guarantee substantially in the form attached as Exhibit E hereto will be endorsed by an Officer of such Guarantor on each Note authenticated and delivered by the Trustee and that this Indenture will be executed on behalf of such Guarantor by one of its Officers. Each Guarantor hereby agrees that its Note Guarantee set forth in Section 10.01 hereof will remain in full force and effect notwithstanding any failure to endorse on each Note a notation of such Note Guarantee. If an Officer whose signature is on the notation of its Note Guarantee no longer holds that office at the time the Trustee authenticates the Note on which such notation of its Note Guarantee is endorsed, the Note Guarantee will be valid nevertheless. The delivery of any Note by the Trustee, after the authentication thereof hereunder, will constitute due delivery of the Note Guarantee set forth in this Indenture on behalf of the Guarantors. Section 10.04 Guarantors May Consolidate, etc., on Certain Terms. A Guarantor other than the Parent may not sell or otherwise dispose of all or substantially all of its properties or assets to, or consolidate with or merge with or into (whether or not such Guarantor is the surviving Person) another Person, other than the Issuer or another Guarantor, unless: (1) immediately after giving effect to such transaction, no Default or Event of Default exists; and (2) either: (A) the Person acquiring the properties or assets in any such sale, exchange, transfer or other disposition or the Person formed by or surviving any such consolidation, amalgamation or merger (if other than the Guarantor) unconditionally assumes, pursuant to a supplemental indenture substantially in the form specified as Exhibit F hereto, all the obligations of that Guarantor under, the Notes, its Note Guarantee and this Indenture on the terms set forth herein; or (B) such transaction does not violate Section 4.10 hereof. In case of any such consolidation, merger, sale or disposition and upon the assumption by the successor Person, by supplemental indenture, executed and delivered to the Trustee and satisfactory in form to the Trustee, of the Note Guarantee of the Guarantor and the due and punctual performance of all of the covenants and conditions of this Indenture to be performed by the Guarantor, such successor Person will succeed to and be substituted for the Guarantor with the same effect as if it had been named herein as a Guarantor. Such successor Person thereupon may cause to be signed any or all of the notations of Note Guarantees to be endorsed upon all of the Notes issuable hereunder which theretofore


 
96 shall not have been signed by the Issuer and delivered to the Trustee. All the Note Guarantees so issued will in all respects have the same legal rank and benefit under this Indenture as the Note Guarantees theretofore and thereafter issued in accordance with the terms of this Indenture as though all of such Note Guarantees had been issued at the date of the execution hereof. Except as set forth in Articles 4 and 5 hereof, and notwithstanding Section 10.04(2)(A) and (B), nothing contained in this Indenture or in any of the Notes will prevent any consolidation or merger of a Guarantor with or into the Issuer or another Guarantor, or will prevent any sale or disposition of all or substantially all of the properties or assets of a Guarantor to the Issuer or another Guarantor. Section 10.05 Releases. The Note Guarantee of a Guarantor other than the Parent shall be released: (a) in connection with any sale, exchange, transfer or other disposition of all or substantially all of the properties or assets of that Guarantor (including by way of merger, consolidation, amalgamation, dividend, distribution or otherwise) to a Person that is not (either before or after giving effect to such transaction) the Parent or a Restricted Subsidiary of the Parent, if the sale, exchange, transfer or other disposition does not violate Section 4.10 hereof; (b) in connection with any sale, exchange, transfer or other disposition of Capital Stock of that Guarantor to a Person that is not (either before or after giving effect to such transaction) the Parent or a Restricted Subsidiary of the Parent, if the sale, exchange, transfer or other disposition does not violate Section 4.10 hereof and such Guarantor ceases to be a Restricted Subsidiary of the Parent as a result of the sale, exchange, transfer or other disposition; (c) upon designation of such Guarantor as an Unrestricted Subsidiary in accordance with the terms of this Indenture; (d) upon the liquidation or dissolution of such Guarantor provided no Default or Event of Default has occurred that is continuing; (e) at such time as such Guarantor ceases to borrow under the Credit Agreement or Guarantee any indebtedness incurred thereunder or any other Indebtedness (other than the Notes) of the Issuer or any Guarantor in excess of the De Minimis Guaranteed Amount; (f) upon such Guarantor consolidating with, merging into or transferring all of its properties or assets to the Issuer or another Guarantor, and as a result of, or in connection with, such transaction such Guarantor dissolving or otherwise ceasing to exist; or (g) at such time as such Guarantor constitutes an Excluded Subsidiary. In addition, the Note Guarantee of any Guarantor will be released upon Legal Defeasance or Covenant Defeasance in accordance with Article 8 hereof or satisfaction and discharge of this Indenture in accordance with Article 11 hereof. Any Guarantor not released from its obligations under its Note Guarantee as provided in this Section 10.05 will remain liable for the full amount of principal of, premium on, if any, and interest on, the Notes and for the other obligations of such Guarantor under this Indenture as provided in this Article 10.


 
97 ARTICLE XI. SATISFACTION AND DISCHARGE Section 11.01 Satisfaction and Discharge. This Indenture will be discharged and will cease to be of further effect as to all Notes issued hereunder (except as to surviving rights of registration of transfer or exchange of the Notes and as otherwise specified in this Article 11), when: (1) either: (A) all Notes that have been authenticated, except lost, stolen or destroyed Notes that have been replaced or paid and Notes for whose payment money has been deposited in trust and thereafter repaid to the Issuer, have been delivered to the Trustee for cancellation; or (B) all Notes that have not been delivered to the Trustee for cancellation have become due and payable or will become due and payable within one year by reason of the sending of a notice of redemption or otherwise and the Issuer or any Guarantor has irrevocably deposited or caused to be deposited with the Trustee as trust funds in trust solely for the benefit of the Holders, cash in U.S. dollars, non-callable Government Securities, or a combination of cash in U.S. dollars and non-callable Government Securities, in amounts as will be sufficient without consideration of any reinvestment of interest (which in the case of a deposit in whole or in part of non-callable Government Securities will be evidenced by the opinion of a nationally recognized firm of independent public accountants as to the sufficiency of such deposit), to pay and discharge the entire indebtedness on the Notes not delivered to the Trustee for cancellation for principal, premium, if any, and accrued interest to the date of fixed maturity or redemption (provided that if such redemption is made as provided in Section 3.07(b), (x) the amount of cash in U.S. dollars, non-callable Government Securities, or a combination thereof, that must be irrevocably deposited will be determined using an assumed Make Whole Premium calculated as of the date of such deposit and (y) the depositor must irrevocably deposit or cause to be deposited additional money in trust on the redemption date as necessary to pay the Make Whole Premium as determined by such date (any such amount, the “Applicable Premium Deficit”) (it being understood that any satisfaction and discharge shall be subject to the condition subsequent that such Applicable Premium Deficit is in fact paid); provided, that the Trustee shall have no liability whatsoever in the event that such Applicable Premium Deficit is not in fact paid after any satisfaction and discharge of this Indenture and that any Applicable Premium Deficit will be set forth in an Officers’ Certificate delivered to the Trustee simultaneously with the deposit of such Applicable Premium Deficit that confirms that such Applicable Premium Deficit will be applied toward such redemption); (2) in respect of Section 11.01(1)(B), no Event of Default has occurred and is continuing on the date of the deposit (other than an Event of Default resulting from the borrowing of funds to be applied to such deposit and any similar deposit relating to other Indebtedness and, in each case, the granting of Liens to secure such borrowings), and the deposit will not result in a breach or violation of, or constitute a default under, any material agreement or instrument (other than this Indenture and the agreements governing any other Indebtedness that is being defeased, discharged or replaced) to which the Parent or any of its Subsidiaries is a party or by which the Parent or any of its Subsidiaries is bound (other than with respect to the borrowing of funds to be


 
98 applied concurrently to make the deposit required to effect such satisfaction and discharge and any similar concurrent deposit relating to other Indebtedness, and in each case the granting of Liens to secure such borrowings); (3) the Issuer or any Guarantor has paid or caused to be paid all sums payable by it under this Indenture; and (4) the Issuer has delivered irrevocable instructions to the Trustee to apply the deposited money toward the payment of the Notes at fixed maturity or the redemption date, as the case may be. In addition, the Issuer must deliver an Officers’ Certificate stating that all conditions precedent to satisfaction and discharge have been satisfied and an Opinion of Counsel stating that all such conditions precedent set forth in Section 11.01(2) and (4) have been satisfied. Notwithstanding the satisfaction and discharge of this Indenture, if funds have been deposited with the Trustee pursuant to Section 11.01(1)(B), the obligation set forth in Section 11.01(1)(B)(y) and the provisions of Sections 11.02 and 8.06 hereof will survive. In addition, nothing in this Section 11.01 will be deemed to discharge those provisions of Section 7.07 hereof, that, by their terms, survive the satisfaction and discharge of this Indenture. Section 11.02 Application of Trust Money; Miscellaneous. Subject to the provisions of Section 8.06 hereof, all money deposited with the Trustee pursuant to Section 11.01 hereof shall be held in trust and applied by it, in accordance with the provisions of the Notes and this Indenture, to the payment, either directly or through any Paying Agent (including the Parent or any of its Subsidiaries acting as the Paying Agent) as the Trustee may determine, to the Persons entitled thereto, of the principal, premium, if any, and interest for whose payment such money has been deposited with the Trustee; but such money need not be segregated from other funds except to the extent required by law. If the Trustee or Paying Agent is unable to apply any money or Government Securities in accordance with Section 11.01 hereof by reason of any legal proceeding or by reason of any order or judgment of any court or governmental authority enjoining, restraining or otherwise prohibiting such application, the Issuer’s and any Guarantor’s obligations under this Indenture and the Notes shall be revived and reinstated as though no deposit had occurred pursuant to Section 11.01 hereof; provided that if the Issuer has made any payment of principal of, premium on, if any, or interest on, any Notes because of the reinstatement of their obligations, the Issuer shall be subrogated to the rights of the Holders of such Notes to receive such payment from the money or Government Securities held by the Trustee or Paying Agent. The Issuer will pay and indemnify the Trustee against any tax, fee or other charge imposed on or assessed against the cash or non-callable Government Securities deposited pursuant to Section 11.01 hereof or the principal and interest received in respect thereof other than any such tax, fee or other charge which by law is for the account of the Holders of the outstanding Notes. ARTICLE XII. MISCELLANEOUS Section 12.01 [Reserved].


 
99 Section 12.02 Notices. Any notice or communication by the Issuer, any Guarantor or the Trustee to the others is duly given if in writing in the English language and delivered in Person or by first class mail (registered or certified, return receipt requested), electronic image scan, facsimile transmission or overnight air courier guaranteeing next day delivery, to the others’ address: If to the Issuer and/or any Guarantor: Kodiak Gas Services, Inc. 9950 Woodloch Forest Dr., 19th Floor Woodlands, Texas 77380 Attention: Jennifer L. Howard, Executive Vice President and General Counsel Email: jennifer.howard@kodiakgas.com with a copy (which shall not constitute notice) to: Sidley Austin LLP 1000 Louisiana Street Suite 5900 Houston, Texas 77002 Attention: David Buck and John Stribling Email: dbuck@sidley.com, john.stribling@sidley.com If to the Trustee: U.S. Bank Trust Company, National Association 1255 Corporate Drive, 6th Floor Irving, Texas 75038 Attention: Kodiak Gas Services, Inc. Administrator The Issuer, any Guarantor or the Trustee, by notice to the others, may designate additional or different addresses for subsequent notices or communications. All notices and communications (other than those sent to Holders) will be deemed to have been duly given: at the time delivered by hand, if personally delivered; five Business Days after being deposited in the mail, postage prepaid, if mailed; when receipt acknowledged, if transmitted by electronic image scan or facsimile; and the next Business Day after timely delivery to the courier, if sent by overnight air courier guaranteeing next day delivery. Any notice or other communication to the Trustee shall be deemed delivered until actual receipt by a Responsible Officer. Any notice or communication to a Holder will be mailed by first class mail or by overnight air courier guaranteeing next day delivery to its address shown on the register kept by the Registrar, or in any case where DTC or its nominee is the Holder, any notice or communication will be given by the method specified by DTC. Failure to give a notice or communication to a Holder or any defect in it will not affect its sufficiency with respect to other Holders. If a notice or communication is given in the manner provided above within the time prescribed, it is duly given, whether or not the addressee receives it.


 
100 If the Issuer mails a notice or communication to Holders, they will mail a copy to the Trustee and each Agent at the same time. Section 12.03 [Reserved]. Section 12.04 Certificate and Opinion as to Conditions Precedent. Upon any request or application by the Issuer to the Trustee to take any action under this Indenture, the Issuer shall furnish to the Trustee: (1) an Officers’ Certificate in form and substance reasonably satisfactory to the Trustee (which must include the statements set forth in Section 12.05 hereof) stating that, in the opinion of the signers, all conditions precedent and covenants, if any, provided for in this Indenture relating to the proposed action have been satisfied; and (2) an Opinion of Counsel in form and substance reasonably satisfactory to the Trustee (which must include the statements set forth in Section 12.05 hereof) stating that, in the opinion of such counsel, all such conditions precedent and covenants have been satisfied. Section 12.05 Statements Required in Certificate or Opinion. Each certificate or opinion with respect to compliance with a condition or covenant provided for in this Indenture must include: (1) a statement that the person making such certificate or opinion has read such covenant or condition; (2) a brief statement as to the nature and scope of the examination or investigation upon which the statements or opinions contained in such certificate or opinion are based; (3) a statement that, in the opinion of such person, he or she has made such examination or investigation as is necessary to enable him or her to express an informed opinion as to whether or not such covenant or condition has been satisfied; and (4) a statement as to whether or not, in the opinion of such person, such condition or covenant has been satisfied. Section 12.06 Rules by Trustee and Agents. The Trustee may make reasonable rules for action by or at a meeting of Holders. The Registrar or Paying Agent may make reasonable rules and set reasonable requirements for its functions. Section 12.07 No Personal Liability of Directors, Officers, Employees and Unitholders. No director, officer, partner, employee, incorporator, manager or unitholder or other owner of Capital Stock of the Parent, the Issuer or any Guarantor, as such, will have any liability for any obligations of the Issuer or the Guarantors under the Notes, this Indenture, the Note Guarantees or for any claim based on, in respect of, or by reason of, such obligations or their creation. Each Holder of Notes by accepting a Note waives and releases all such liability. The waiver and release are part of the consideration for issuance of the Notes. Section 12.08 Governing Law; Waiver of Jury Trial.


 
101 THE LAW OF THE STATE OF NEW YORK WILL GOVERN AND BE USED TO CONSTRUE THIS INDENTURE, THE NOTES AND THE NOTE GUARANTEES. EACH OF THE ISSUER, THE GUARANTORS AND THE TRUSTEE IRREVOCABLY WAIVES, TO THE FULLEST EXTENT PERMITTED BY APPLICABLE LAW, ANY AND ALL RIGHT TO TRIAL BY JURY IN ANY LEGAL PROCEEDING ARISING OUT OF OR RELATING TO THIS INDENTURE, THE NOTES OR THE TRANSACTIONS CONTEMPLATED BY THIS INDENTURE OR THE NOTES. Section 12.09 No Adverse Interpretation of Other Agreements. This Indenture may not be used to interpret any other indenture, loan or debt agreement of the Parent or its Subsidiaries or of any other Person. Any such indenture, loan or debt agreement may not be used to interpret this Indenture. Section 12.10 Successors. All agreements of the Issuer in this Indenture and the Notes will bind its respective successors. All agreements of the Trustee in this Indenture will bind its successors. All agreements of each Guarantor in this Indenture will bind its successors, except as otherwise provided in Section 10.05 hereof. Section 12.11 Severability. In case any provision in this Indenture or in the Notes is invalid, illegal or unenforceable, the validity, legality and enforceability of the remaining provisions will not in any way be affected or impaired thereby. Section 12.12 Counterpart Originals. The parties may sign any number of copies of this Indenture, and each party hereto may sign any number of separate copies of this Indenture. Each signed copy shall be an original, but all of them together represent the same agreement. The exchange of copies of this Indenture and of signature pages by facsimile or PDF transmission shall constitute effective execution and delivery of this Indenture as to the parties hereto and may be used in lieu of the original Indenture for all purposes. Signatures of the parties hereto transmitted by facsimile or PDF shall be deemed to be their original signatures for all purposes. Except with respect to authentication of the Notes as set forth in Section 2.02, the Trustee shall have the right to accept and act upon any notice, instruction, or other communication, including any funds transfer instruction (each, a “Notice”), received pursuant to this Indenture by electronic transmission (including by e-mail, facsimile transmission, web portal or other electronic methods) and shall not have any duty to confirm that the person sending such Notice is, in fact, a person authorized to do so. Electronic signatures believed by the Trustee to comply with the ESIGN Act of 2000 or other applicable law (including electronic images of handwritten signatures and digital signatures provided by DocuSign, Orbit, Adobe Sign or any other digital signature provider identified by any other party hereto and acceptable to the Trustee) shall be deemed original signatures for all purposes. Each other party to this Indenture assumes all risks arising out of the use of electronic signatures and electronic methods to send Notices to the Trustee, including without limitation the risk of the Trustee acting on an unauthorized Notice and the risk of interception or misuse by third parties. Notwithstanding the foregoing, the Trustee may in any instance and in its sole discretion require that a Notice in the form of an original document bearing a manual signature be delivered to the Trustee in lieu of, or in addition to, any such electronic Notice.


 
102 Section 12.13 Table of Contents, Headings, etc. The Table of Contents, Cross-Reference Table and headings of the Articles and Sections of this Indenture have been inserted for convenience of reference only, are not to be considered a part of this Indenture and will in no way modify or restrict any of the terms or provisions hereof. Section 12.14 Payment Date Other Than a Business Day. If any payment with respect to any principal of, premium on, if any, or interest on any Note (including any payment to be made on any date fixed for redemption or purchase of any Note) is due on a day which is not a Business Day, then the payment need not be made on such date, but may be made on the next Business Day with the same force and effect as if made on such date, and no interest will accrue for the intervening period. Section 12.15 Evidence of Action by Holders. Whenever in this Indenture it is provided that the Holders of a specified percentage in aggregate principal amount of the Notes may take action (including the making of any demand or request, the giving of any direction, notice, consent or waiver or the taking of any other action) the fact that at the time of taking any such action the Holders of such specified percentage have joined therein may be evidenced (a) by any instrument or any number of instruments of similar tenor executed by Holders in person or by agent or proxy appointed in writing, (b) by the record of the Holders voting in favor thereof at any meeting of Holders duly called and held in accordance with procedures approved by the Trustee, (c) by a combination of such instrument or instruments and any such record of such a meeting of Holders or (d) in the case of Notes evidenced by a Global Note, by any electronic transmission or other message, whether or not in written format, that complies with the Depositary’s applicable procedures. Section 12.16 Force Majeure. In no event shall the Trustee be responsible or liable for any failure or delay in the performance of its obligations hereunder arising out of or caused by, directly or indirectly, forces beyond its control, including, without limitation, (i) any act or provision of any present or future law or regulation or governmental authority, (ii) any act of God, (iii) natural disaster, (iv) war, (v) terrorism, (vi) civil unrest, (vii) accidents, (viii) labor dispute, (ix) disease, (x) epidemic or pandemic, (xi) quarantine, (xii) national emergency, (xiii) loss or malfunction of utility or computer software or hardware, (xiv) communications system failure, (xv) malware or ransomware, (xvi) unavailability of the Federal Reserve Bank wire or telex system or other wire or other funds transfer systems, or (xvii) unavailability of securities clearing system; it being understood that the Trustee shall use reasonable efforts which are consistent with accepted practices in the banking industry to resume performance as soon as practicable under the circumstances. Section 12.17 U.S.A. PATRIOT Act. The parties hereto acknowledge that, in accordance with Section 326 of the U.S.A. PATRIOT Act, the Trustee, like all financial institutions, in order to help fight the funding of terrorism and money laundering, is required to obtain, verify and record information that identifies each person or legal entity that establishes a relationship or opens an account with the Trustee. The parties to this Indenture agree to provide the Trustee with such information as it may request to enable the Trustee to comply with the U.S.A. PATRIOT Act.


 
103 [Signatures on following pages]


 
[Signature Page to Indenture] SIGNATURES Dated as of March 20, 2026 ISSUER: KODIAK GAS SERVICES, LLC By: /s/ John Griggs Name: John Griggs Title: Executive Vice President and Chief Financial Officer


 
[Signature Page to Indenture] GUARANTORS: KODIAK GAS SERVICES, INC. By: /s/ John Griggs Name: John Griggs Title: Executive Vice President and Chief Financial Officer CSI COMPRESSCO SUB INC. SPARTAN ENERGY SERVICES LLC By: /s/ John Griggs Name: John Griggs Title: Executive Vice President and Chief Financial Officer


 
[Signature Page to Indenture] U.S. BANK TRUST COMPANY, NATIONAL ASSOCIATION By: /s/ Michael K. Herberger Michael K. Herberger Vice President


 
EXHIBIT A A-1 [Face of Note] CUSIP ____________ 5.875% Senior Notes due 2031 No. ___ $____________ KODIAK GAS SERVICES, LLC promise to pay, jointly and severally, to or registered assigns, the principal sum of __________________________________________________________ DOLLARS [or such greater or lesser amount as may be indicated on the attached Schedule of Exchanges of Interests in the Global Note] on April 1, 2031. Interest Payment Dates: April 1 and October 1 Record Dates: March 15 and September 15 Dated: _______________


 
A-2 KODIAK GAS SERVICES, LLC By: Name: John Griggs Title: Executive Vice President and Chief Financial Officer Certificate of Authentication: This is one of the Notes referred to in the within-mentioned Indenture: U.S. Bank Trust Company, National Association, as Trustee By: Authorized Signatory


 
A-3 [Back of Note] 5.875% Senior Notes due 2031 [Insert the Global Note Legend, if applicable pursuant to the provisions of the Indenture] [Insert the Private Placement Legend, if applicable pursuant to the provisions of the Indenture] Capitalized terms used herein have the meanings assigned to them in the Indenture referred to below unless otherwise indicated. (1) INTEREST. Kodiak Gas Services, LLC, a Delaware limited liability company (the “Issuer”), promises to pay or cause to be paid interest on the principal amount of this Note at 5.875% per annum from March 20, 2026 until maturity. The Issuer will pay interest semi-annually in arrears on April 1 and October 1 of each year, or if any such day is not a Business Day, on the next succeeding Business Day (each, an “Interest Payment Date”). Interest on the Notes will accrue from the most recent date to which interest has been paid or, if no interest has been paid, from the date of issuance; provided that, if there is no existing Default in the payment of interest, and if this Note is authenticated between a record date referred to on the face hereof and the next succeeding Interest Payment Date, interest shall accrue from such next succeeding Interest Payment Date; provided further that the first Interest Payment Date shall be October 1, 2026. The Issuer will pay interest (including post-petition interest in any proceeding under any Bankruptcy Law) on overdue principal and premium, if any, from time to time on demand at a rate that is 1% higher than the then applicable interest rate on the Notes to the extent lawful; they will pay interest (including post-petition interest in any proceeding under any Bankruptcy Law) on overdue installments of interest (without regard to any applicable grace period), from time to time on demand at the same rate to the extent lawful. Interest will be computed on the basis of a 360-day year comprised of twelve 30-day months. (2) METHOD OF PAYMENT. The Issuer will pay interest on the Notes (except defaulted interest) to the Persons who are registered Holders of Notes at the close of business on the March 15 or September 15 next preceding the Interest Payment Date, even if such Notes are canceled after such record date and on or before such Interest Payment Date, except as provided in Section 2.12 of the Indenture with respect to defaulted interest. The Notes will be payable as to principal, premium, if any, and interest at the office or agency of the Issuer maintained for such purpose within the City and State of New York, or, at the option of the Issuer, payment of interest and may be made by check mailed to the Holders at their addresses set forth in the register of Holders; provided that payment by wire transfer of immediately available funds to an account in the United States will be required with respect to principal of, premium on, if any, and interest on, all Global Notes. Such payments will be in such coin or currency of the United States of America as at the time of payment is legal tender for payment of public and private debts. (3) PAYING AGENT AND REGISTRAR. Initially, U.S. Bank Trust Company, National Association, the Trustee under the Indenture, will act as Paying Agent and Registrar. The Issuer may change the Paying Agent or Registrar without prior notice to the Holders of the Notes. The Parent or any of its Subsidiaries may act as Paying Agent or Registrar. (4) INDENTURE. The Issuer has issued the Notes under an Indenture dated as of March 20, 2026 (the “Indenture”) among the Issuer, the Guarantors and the Trustee. The Notes are subject to all terms stated in the Indenture. To the extent any provision of this Note conflicts


 
A-4 with the express provisions of the Indenture, the provisions of the Indenture shall govern and be controlling. The Notes are unsecured obligations of the Issuer. The Indenture does not limit the aggregate principal amount of Notes that may be issued thereunder. (5) Optional Redemption. (A) At any time prior to April 1, 2028, the Issuer may on any one or more occasions redeem up to 40% of the aggregate principal amount of the Notes issued under the Indenture, but in an amount not greater than the net cash proceeds of one or more Equity Offerings, at a redemption price of 105.875% of the principal amount plus accrued and unpaid interest, if any, to the redemption date (subject to the right of Holders on the relevant record date to receive interest due on an interest payment date that is on or prior to the redemption date), provided that: (1) at least 50% of the aggregate principal amount of the Notes originally issued under the Indenture remains outstanding immediately after the occurrence of such redemption (excluding Notes held by the Parent and its Subsidiaries); and (2) the redemption occurs within 180 days of the date of the closing of such Equity Offering. (B) At any time prior to April 1, 2028, the Issuer may on any one or more occasions redeem all or part of the Notes, at a redemption price equal to the sum of: (1) the principal amount thereof, plus (2) the Make Whole Premium at the redemption date, plus accrued and unpaid interest, if any, to the redemption date (subject to the right of Holders on the relevant record date to receive interest due on an interest payment date that is on or prior to the redemption date). (C) Except pursuant to Section 3.07(a), (b) and (e) of the Indenture, the Notes will not be redeemable at the Issuer’s option prior to April 1, 2028. (D) The Issuer may redeem all (but not a portion of) the Notes when permitted by, and pursuant to the conditions in, Section 4.15(d) of the Indenture. (E) On and after April 1, 2028, the Issuer may on any one or more occasions redeem all or a part of the Notes, at the redemption prices (expressed as percentages of principal amount) set forth below, plus accrued and unpaid interest, if any, on the Notes redeemed to the applicable redemption date (subject to the right of Holders on the relevant record date to receive interest due on an interest payment date that is on or prior to the redemption date), if redeemed during the twelve-month period beginning on April 1 of the years indicated below: Year Percentage 2028 .............................................................................................................. 102.938% 2029 ............................................................................................................... 101.469% 2030 and thereafter ........................................................................................ 100.000%


 
A-5 Unless the Issuer defaults in the payment of the redemption price, interest will cease to accrue on the Notes or portions thereof called for redemption on the applicable redemption date. (6) MANDATORY REDEMPTION. Other than set forth in Section 3.09 of the Indenture, the Issuer is not required to make mandatory redemption or sinking fund payments with respect to the Notes. (7) REPURCHASE AT THE OPTION OF HOLDER. (A) If there is a Change of Control Triggering Event, the Issuer will be required to make an offer (a “Change of Control Offer”) to each Holder to repurchase all or any part (equal to $2,000 or an integral multiple of $1,000 in excess thereof) of each Holder’s Notes at a purchase price in cash equal to 101% of the aggregate principal amount of Notes repurchased, plus accrued and unpaid interest, if any, on the Notes repurchased to the date of settlement (the “Change of Control Settlement Date”), subject to the rights of Holders of Notes on the relevant record date to receive interest due on the relevant interest payment date that is on or prior to the Change of Control Settlement Date set forth in Section 4.15 of the Indenture. Within 30 days following any Change of Control Triggering Event, the Issuer will send a notice to each Holder and the Trustee setting forth the procedures governing the Change of Control Offer as required by the Indenture. (B) On the 366th day after the Asset Sale (or at the Issuer’s option, any earlier date), if the aggregate amount of Excess Proceeds then exceeds $50.0 million, the Issuer will make an Asset Sale Offer to all Holders of Notes (with a copy to the Trustee), and all holders of other Indebtedness that is pari passu with the Notes containing provisions similar to those set forth in the Indenture with respect to offers to purchase, prepay or redeem with the proceeds of sales of assets, to purchase, prepay or redeem, on a pro rata basis as specified in the Indenture, the maximum principal amount of Notes and such other pari passu Indebtedness that may be purchased, prepaid or redeemed out of the Excess Proceeds. The offer price in any Asset Sale Offer will be equal to 100% of the principal amount plus accrued and unpaid interest, if any, to the date of settlement, subject to the right of Holders on the relevant record date to receive interest due on an interest payment date that is on or prior to the date of settlement, and will be payable in cash. If any Excess Proceeds remain after consummation of an Asset Sale Offer, the Parent or any of its Restricted Subsidiaries may use those Excess Proceeds for any purpose not otherwise prohibited by the Indenture. If the aggregate principal amount of Notes tendered into such Asset Sale Offer exceeds the amount of Excess Proceeds allocated to the purchase of Notes, the Trustee will select the Notes to be purchased on a pro rata basis (except that any Notes represented by a Note in global form will be selected by such method as DTC may require). Upon completion of each Asset Sale Offer, the amount of Excess Proceeds will be reset at zero. Holders of Definitive Notes that are the subject of an offer to purchase will receive an Asset Sale Offer from the Issuer prior to any related purchase date and may elect to have such Notes purchased by completing the form entitled “Option of Holder to Elect Purchase” attached to the Notes. (8) NOTICE OF REDEMPTION. At least 30 days but not more than 60 days before a redemption date, a notice of redemption will be sent to each Holder whose Notes are to be redeemed at its registered address, except that redemption notices may be sent more than 60 days prior to a redemption date if the notice is issued in connection with a defeasance of the Notes or a satisfaction and discharge of the Indenture pursuant to Article 8 or 11 thereof. Notes and portions


 
A-6 of Notes selected will be in amounts of $2,000 or whole multiples of $1,000 in excess thereof; except that if all of the Notes of a Holder are to be redeemed, the entire outstanding amount of Notes held by such Holder shall be redeemed. (9) DENOMINATIONS, TRANSFER, EXCHANGE. The Notes are in registered form in minimum denominations of $2,000 and integral multiples of $1,000 in excess thereof. The transfer of Notes may be registered and Notes may be exchanged as provided in the Indenture. The Registrar and the Trustee may require a Holder, among other things, to furnish appropriate endorsements and transfer documents and the Issuer may require a Holder to pay any transfer tax or similar governmental charge payable in connection therewith. The Issuer need not exchange or register the transfer of any Note or portion of a Note selected for redemption, except for the unredeemed portion of any Note being redeemed in part. Also, the Issuer need not exchange or register the transfer of any Notes for a period of 15 days before a selection of Notes to be redeemed or during the period between a record date and the next succeeding Interest Payment Date. (10) PERSONS DEEMED OWNERS. The registered Holder of a Note may be treated as the owner of it for all purposes. Only registered Holders have rights under the Indenture. (11) AMENDMENT, SUPPLEMENT AND WAIVER. Subject to certain exceptions, the Indenture, the Notes or the Note Guarantees may be amended or supplemented with the consent of the Holders of a majority in aggregate principal amount of the then outstanding Notes including Additional Notes, if any, voting as a single class, and any existing Default or Event of Default or compliance with any provision of the Indenture or the Notes or the Note Guarantees may be waived with the consent of the Holders of a majority in aggregate principal amount of the then outstanding Notes including Additional Notes, if any, voting as a single class. Without the consent of any Holder of Notes, the Indenture, the Notes or the Note Guarantees may be amended or supplemented to cure any ambiguity, defect or inconsistency; to provide for uncertificated Notes in addition to or in place of certificated Notes; to provide for any assumption of the Issuer’s or a Guarantor’s obligations to Holders of Notes permitted under the Indenture; to comply with the covenant relating to mergers, consolidations and sales of assets; to make any change that would provide any additional rights or benefits to the Holders of Notes or that does not adversely affect the legal rights under the Indenture of any such Holder; to secure the Notes or the Note Guarantees pursuant to the requirements of Section 4.12 of the Indenture; to provide for the issuance of additional Notes in accordance with the limitations set forth in the Indenture; to add any additional Guarantor or to evidence the release of any Guarantor from its Note Guarantee, in each case as provided in the Indenture; to evidence or provide for the acceptance of appointment under the Indenture of a successor trustee; at the Parent’s election, to comply with requirements of the SEC in order to effect or maintain the qualification of the Indenture under the Trust Indenture Act, if applicable; to comply with the rules and procedures of any applicable securities depositary; to make any amendment to the provisions of the Indenture relating to the transfer and legending of Notes as permitted by the Indenture, including, to facilitate the issuance and administration of the Notes; provided that (a) compliance with the Indenture as so amended would not result in Notes being transferred in violation of the Securities Act or any applicable securities law and (b) such amendment does not materially and adversely affect the rights of Holders to transfer Notes; or to conform the text of the Indenture, the Note Guarantees or the Notes to any provision of the “Description of Notes” in the Issuer’s offering memorandum, dated March 11, 2026. (12) DEFAULTS AND REMEDIES. Events of Default include: (i) default for 30 days in the payment when due of interest on the Notes; (ii) default in the payment when due (at Stated


 
A-7 Maturity, upon redemption or otherwise) of the principal of, or premium on, if any, the Notes; (iii) failure by the Issuer or the Parent to comply with the provisions of Section 4.10, 4.15 or 5.01 of the Indenture; (iv) failure by the Parent for 180 days after notice to the Parent by the Trustee or the Holders of at least 30% in aggregate principal amount of the Notes then outstanding voting as a single class to comply with Section 4.03 of the Indenture; (v) failure by the Issuer or the Parent for 60 days after notice to the Issuer by the Trustee or the Holders of at least 30% in aggregate principal amount of the Notes then outstanding voting as a single class to comply with any of their respective other agreements in the Indenture; (vi) default under certain other agreements relating to Indebtedness of the Parent or any of its Restricted Subsidiaries which default is a Payment Default or results in the acceleration of such Indebtedness prior to its Stated Maturity; (vii) failure by the Parent or any of its Restricted Subsidiaries to pay final judgments entered by a court or courts of competent jurisdiction aggregating in excess of $75.0 million (to the extent not covered by insurance by a reputable and creditworthy insurer as to which the insurer has not disclaimed coverage), which judgments are not paid, discharged or stayed, for a period of 60 days; (viii) certain events of bankruptcy, insolvency or reorganization with respect to the Issuer, the Parent or any of its Restricted Subsidiaries that is a Significant Subsidiary or any group of Restricted Subsidiaries that, taken together, would constitute a Significant Subsidiary; and (ix) except as permitted by the Indenture, any Note Guarantee is held in any judicial proceeding to be unenforceable or invalid or ceases for any reason to be in full force and effect, or any Guarantor, or any Person acting on behalf of any Guarantor, denies or disaffirms its obligations under its Note Guarantee. In the case of an Event of Default arising from certain events of bankruptcy, insolvency or reorganization with respect to the Issuer, all outstanding Notes will become due and payable without further action or notice. If any other Event of Default occurs and is continuing, the Trustee or the Holders of at least 30% in aggregate principal amount of the then outstanding Notes may declare all the Notes to be due and payable immediately. Holders may not enforce the Indenture or the Notes except as provided in the Indenture. Subject to certain limitations, Holders of a majority in aggregate principal amount of the then outstanding Notes may direct the time, method and place of conducting any proceeding for exercising any remedy available to the Trustee or exercising any trust or power conferred on it. The Trustee may withhold from Holders of the Notes notice of any continuing Default or Event of Default (except a Default or Event of Default relating to the payment of principal, premium, if any, or interest), if it determines that withholding notice is in their interest. The Holders of a majority in aggregate principal amount of the then outstanding Notes by notice to the Issuer and the Trustee may, on behalf of all the Holders, rescind an acceleration or waive an existing Default or Event of Default and its consequences under the Indenture except a continuing Default or Event of Default in the payment of principal of, premium on, if any, or interest on, the Notes (including in connection with an offer to purchase any Notes). The Issuer is required to deliver to the Trustee annually an Officers’ Certificate regarding compliance with the Indenture, and the Issuer is required, upon becoming aware of any Default or Event of Default, to deliver to the Trustee a written statement specifying such Default or Event of Default. (13) TRUSTEE DEALINGS WITH ISSUER. The Trustee, in its individual or any other capacity, may make loans to, accept deposits from, and perform services for the Issuer or its Affiliates, and may otherwise deal with the Issuer or its Affiliates, as if it were not the Trustee. (14) NO RECOURSE AGAINST OTHERS. No director, officer, partner, employee, incorporator, manager or unitholder or other owner of Capital Stock of the Issuer or any Guarantor, as such, will have any liability for any obligations of the Issuer or the Guarantors under the Notes, the Indenture, the Note Guarantees or for any claim based on, in respect of, or by reason of, such obligations or their creation. Each Holder of Notes by accepting a Note waives


 
A-8 and releases all such liability. The waiver and release are part of the consideration for issuance of the Notes. (15) AUTHENTICATION. This Note will not be valid until authenticated by the manual signature of the Trustee or an authenticating agent. (16) ABBREVIATIONS. Customary abbreviations may be used in the name of a Holder or an assignee, such as: TEN COM (= tenants in common), TEN ENT (= tenants by the entireties), JT TEN (= joint tenants with right of survivorship and not as tenants in common), CUST (= Custodian), and U/G/M/A (= Uniform Gifts to Minors Act). (17) CUSIP NUMBERS. Pursuant to a recommendation promulgated by the Committee on Uniform Security Identification Procedures, the Issuer has caused CUSIP numbers to be printed on the Notes, and the Trustee may use CUSIP numbers in notices of redemption as a convenience to Holders. No representation is made as to the accuracy of such numbers either as printed on the Notes or as contained in any notice of redemption, and reliance may be placed only on the other identification numbers placed thereon. (18) GOVERNING LAW. THE LAW OF THE STATE OF NEW YORK WILL GOVERN AND BE USED TO CONSTRUE THE INDENTURE, THIS NOTE AND THE NOTE GUARANTEES. The Issuer will furnish to any Holder upon written request and without charge a copy of the Indenture. Requests may be made to: Kodiak Gas Services, Inc. 9950 Woodloch Forest Dr., 19th Floor Woodlands, Texas 77380 Attention: General Counsel


 
A-9 ASSIGNMENT FORM To assign this Note, fill in the form below: (I) or (we) assign and transfer this Note to: (Insert assignee’s legal name) (Insert assignee’s soc. sec. or tax I.D. no.) (Print or type assignee’s name, address and zip code) and irrevocably appoint to transfer this Note on the books of the Issuer. The agent may substitute another to act for him. Date: _______________ Your Signature: (Sign exactly as your name appears on the face of this Note) Signature Guarantee*: _________________________ * Participant in a recognized Signature Guarantee Medallion Program (or other signature guarantor acceptable to the Trustee).


 
A-10 OPTION OF HOLDER TO ELECT PURCHASE If you want to elect to have this Note purchased by the Issuer pursuant to Section 4.10 or 4.15 of the Indenture, check the appropriate box below:  Section 4.10  Section 4.15 If you want to elect to have only part of the Note purchased by the Issuer pursuant to Section 4.10 or Section 4.15 of the Indenture, state the amount you elect to have purchased: $_______________ Date: _______________ Your Signature: (Sign exactly as your name appears on the face of this Note) Tax Identification No.: Signature Guarantee*: _________________________ * Participant in a recognized Signature Guarantee Medallion Program (or other signature guarantor acceptable to the Trustee).


 
A-11 SCHEDULE OF EXCHANGES OF INTERESTS IN THE GLOBAL NOTE* The following exchanges of a part of this Global Note for an interest in another Global Note or for a Definitive Note, or exchanges of a part of another Global Note or Definitive Note for an interest in this Global Note, have been made: Date of Exchange Amount of decrease in Principal Amount of this Global Note Amount of increase in Principal Amount of this Global Note Principal Amount of this Global Note following such decrease (or increase) Signature of authorized officer of Trustee or Custodian * This schedule should be included only if the Note is issued in global form.


 
EXHIBIT B B-1 FORM OF CERTIFICATE OF TRANSFER Kodiak Gas Services, Inc. 9950 Woodloch Forest Dr., 19th Floor Woodlands, Texas 77380 Attention: General Counsel U.S. Bank Trust Company, National Association 1255 Corporate Drive, 6th Floor Irving, Texas 75038 Attention: Kodiak Gas Services, Inc. Administrator Re: 5.875% Senior Notes due 2031 Reference is hereby made to the Indenture, dated as of March 20, 2026 (the “Indenture”), among Kodiak Gas Services, LLC, a Delaware limited liability company (the “Issuer”), the Guarantors party thereto and U.S. Bank Trust Company, National Association, as trustee. Capitalized terms used but not defined herein shall have the meanings given to them in the Indenture. ___________________, (the “Transferor”) owns and proposes to transfer the Note[s] or interest in such Note[s] specified in Annex A hereto, in the principal amount of $___________ in such Note[s] or interests (the “Transfer”), to ___________________________ (the “Transferee”), as further specified in Annex A hereto. In connection with the Transfer, the Transferor hereby certifies that: [CHECK ALL THAT APPLY] 1.  Check if Transferee will take delivery of a beneficial interest in the 144A Global Note or a Restricted Definitive Note pursuant to Rule 144A. The Transfer is being effected pursuant to and in accordance with Rule 144A under the Securities Act of 1933, as amended (the “Securities Act”), and, accordingly, the Transferor hereby further certifies that the beneficial interest or Definitive Note is being transferred to a Person that the Transferor reasonably believes is purchasing the beneficial interest or Definitive Note for its own account, or for one or more accounts with respect to which such Person exercises sole investment discretion, and such Person and each such account is a “qualified institutional buyer” within the meaning of Rule 144A in a transaction meeting the requirements of Rule 144A, and such Transfer is in compliance with any applicable blue sky securities laws of any state of the United States. Upon consummation of the proposed Transfer in accordance with the terms of the Indenture, the transferred beneficial interest or Definitive Note will be subject to the restrictions on transfer enumerated in the Private Placement Legend printed on the 144A Global Note and/or the Restricted Definitive Note and in the Indenture and the Securities Act. 2.  Check if Transferee will take delivery of a beneficial interest in the Regulation S Global Note or a Restricted Definitive Note pursuant to Regulation S. The Transfer is being effected pursuant to and in accordance with Rule 903 or Rule 904 under the Securities Act and, accordingly, the Transferor hereby further certifies that (i) the Transfer is not being made to a Person in the United States and (x) at the time the buy order was originated, the Transferee was outside the United States or such Transferor and any Person acting on its behalf reasonably believed and believes that the Transferee was outside the United States or (y) the transaction was executed in, on or through the facilities of a designated offshore securities market and neither such Transferor nor any Person acting on its behalf knows that the transaction was prearranged with a buyer in the United States, (ii) no directed selling efforts have been made in contravention of the requirements of Rule 903(b) or Rule 904(b) of Regulation


 
B-2 S under the Securities Act, (iii) the transaction is not part of a plan or scheme to evade the registration requirements of the Securities Act and (iv) if the proposed transfer is being made prior to the expiration of the Restricted Period, the transfer is not being made to a U.S. Person or for the account or benefit of a U.S. Person (other than an Initial Purchaser). Upon consummation of the proposed transfer in accordance with the terms of the Indenture, the transferred beneficial interest or Definitive Note will be subject to the restrictions on Transfer enumerated in the Private Placement Legend printed on the Regulation S Global Note and/or the Restricted Definitive Note and in the Indenture and the Securities Act. 3.  Check and complete if, among other things, Transferee will take delivery of a beneficial interest in the IAI Global Note or a Restricted Definitive Note pursuant to any provision of the Securities Act other than Rule 144A or Regulation S. The Transfer is being effected in compliance with the transfer restrictions applicable to beneficial interests in Restricted Global Notes and Restricted Definitive Notes and pursuant to and in accordance with the Securities Act and any applicable blue sky securities laws of any state of the United States, and accordingly the Transferor hereby further certifies that (check one): (a)  such Transfer is being effected pursuant to and in accordance with Rule 144 under the Securities Act; or (b)  such Transfer is being effected to the Parent or a subsidiary thereof; or (c)  such Transfer is being effected pursuant to an effective registration statement under the Securities Act and in compliance with the prospectus delivery requirements of the Securities Act; or (d)  such Transfer is being effected to an Institutional Accredited Investor and pursuant to an exemption from the registration requirements of the Securities Act other than Rule 144A, Rule 144, Rule 903 or Rule 904, and the Transferor hereby further certifies that it has not engaged in any general solicitation within the meaning of Regulation D under the Securities Act and the Transfer complies with the transfer restrictions applicable to beneficial interests in a Restricted Global Note or Restricted Definitive Notes and the requirements of the exemption claimed, which certification is supported by (1) a certificate executed by the Transferee in the form of Exhibit D to the Indenture and (2) an Opinion of Counsel provided by the Transferor or the Transferee (a copy of which the Transferor has attached to this certification), to the effect that such Transfer is in compliance with the Securities Act. Upon consummation of the proposed transfer in accordance with the terms of the Indenture, the transferred beneficial interest or Definitive Note will be subject to the restrictions on transfer enumerated in the Private Placement Legend printed on the IAI Global Note and/or the Restricted Definitive Notes and in the Indenture and the Securities Act. 4.  Check if Transferee will take delivery of a beneficial interest in an Unrestricted Global Note or an Unrestricted Definitive Note. (a)  Check if Transfer is pursuant to Rule 144. (i) The Transfer is being effected pursuant to and in accordance with Rule 144 under the Securities Act and in compliance with the transfer restrictions


 
B-3 contained in the Indenture and any applicable blue sky securities laws of any state of the United States and (ii) the restrictions on transfer contained in the Indenture and the Private Placement Legend are not required in order to maintain compliance with the Securities Act. Upon consummation of the proposed Transfer in accordance with the terms of the Indenture, the transferred beneficial interest or Definitive Note will no longer be subject to the restrictions on transfer enumerated in the Private Placement Legend printed on the Restricted Global Notes, on Restricted Definitive Notes and in the Indenture. (b)  Check if Transfer is Pursuant to Regulation S. (i) The Transfer is being effected pursuant to and in accordance with Rule 903 or Rule 904 under the Securities Act and in compliance with the transfer restrictions contained in the Indenture and any applicable blue sky securities laws of any state of the United States and (ii) the restrictions on transfer contained in the Indenture and the Private Placement Legend are not required in order to maintain compliance with the Securities Act. Upon consummation of the proposed Transfer in accordance with the terms of the Indenture, the transferred beneficial interest or Definitive Note will no longer be subject to the restrictions on transfer enumerated in the Private Placement Legend printed on the Restricted Global Notes, on Restricted Definitive Notes and in the Indenture. (c)  Check if Transfer is Pursuant to Other Exemption. (i) The Transfer is being effected pursuant to and in compliance with an exemption from the registration requirements of the Securities Act other than Rule 144, Rule 903 or Rule 904 and in compliance with the transfer restrictions contained in the Indenture and any applicable blue sky securities laws of any State of the United States and (ii) the restrictions on transfer contained in the Indenture and the Private Placement Legend are not required in order to maintain compliance with the Securities Act. Upon consummation of the proposed Transfer in accordance with the terms of the Indenture, the transferred beneficial interest or Definitive Note will not be subject to the restrictions on transfer enumerated in the Private Placement Legend printed on the Restricted Global Notes or Restricted Definitive Notes and in the Indenture. This certificate and the statements contained herein are made for your benefit. [Insert Name of Transferor] By: Name: Title: Dated: _______________________


 
B-4 ANNEX A TO CERTIFICATE OF TRANSFER 1. The Transferor owns and proposes to transfer the following: [CHECK ONE OF (a) OR (b)] (a)  a beneficial interest in the: (i)  144A Global Note (CUSIP 50012LAF1), or (ii)  Regulation S Global Note (CUSIP U50044AG8), or (iii)  IAI Global Note (CUSIP _________); or (b)  a Restricted Definitive Note. 2. After the Transfer the Transferee will hold: [CHECK ONE] (a)  a beneficial interest in the: (i)  144A Global Note (CUSIP 50012LAF1), or (ii)  Regulation S Global Note (CUSIP U50044AG8), or (iii)  IAI Global Note (CUSIP _________); or (iv)  Unrestricted Global Note (CUSIP _________); or (b)  a Restricted Definitive Note; or (c)  an Unrestricted Definitive Note, in accordance with the terms of the Indenture.


 
EXHIBIT C C-1 FORM OF CERTIFICATE OF EXCHANGE Kodiak Gas Services, Inc. 9950 Woodloch Forest Dr., 19th Floor Woodlands, Texas 77380 Attention: General Counsel U.S. Bank Trust Company, National Association 1255 Corporate Drive, 6th Floor Irving, Texas 75038 Attention: Kodiak Gas Services, Inc. Administrator Re: 5.875% Senior Notes due 2031 (CUSIP [ ]) Reference is hereby made to the Indenture, dated as of March 20, 2026 (the “Indenture”), among Kodiak Gas Services, LLC, a Delaware limited liability company (the “Issuer”), the Guarantors party thereto and U.S. Bank Trust Company, National Association, as trustee. Capitalized terms used but not defined herein shall have the meanings given to them in the Indenture. __________________________, (the “Owner”) owns and proposes to exchange the Note[s] or interest in such Note[s] specified herein, in the principal amount of $____________ in such Note[s] or interests (the “Exchange”). In connection with the Exchange, the Owner hereby certifies that: 1. Exchange of Restricted Definitive Notes or Beneficial Interests in a Restricted Global Note for Unrestricted Definitive Notes or Beneficial Interests in an Unrestricted Global Note (a)  Check if Exchange is from beneficial interest in a Restricted Global Note to beneficial interest in an Unrestricted Global Note. In connection with the Exchange of the Owner’s beneficial interest in a Restricted Global Note for a beneficial interest in an Unrestricted Global Note in an equal principal amount, the Owner hereby certifies (i) the beneficial interest is being acquired for the Owner’s own account without transfer, (ii) such Exchange has been effected in compliance with the transfer restrictions applicable to the Global Notes and pursuant to and in accordance with the Securities Act of 1933, as amended (the “Securities Act”), (iii) the restrictions on transfer contained in the Indenture and the Private Placement Legend are not required in order to maintain compliance with the Securities Act and (iv) the beneficial interest in an Unrestricted Global Note is being acquired in compliance with any applicable blue sky securities laws of any state of the United States. (b)  Check if Exchange is from beneficial interest in a Restricted Global Note to Unrestricted Definitive Note. In connection with the Exchange of the Owner’s beneficial interest in a Restricted Global Note for an Unrestricted Definitive Note, the Owner hereby certifies (i) the Definitive Note is being acquired for the Owner’s own account without transfer, (ii) such Exchange has been effected in compliance with the transfer restrictions applicable to the Restricted Global Notes and pursuant to and in accordance with the Securities Act, (iii) the restrictions on transfer contained in the Indenture and the Private Placement Legend are not required in order to maintain compliance with the Securities Act and (iv) the Definitive Note is being acquired in compliance with any applicable blue sky securities laws of any state of the United States. (c)  Check if Exchange is from Restricted Definitive Note to beneficial interest in an Unrestricted Global Note. In connection with the Owner’s Exchange of a Restricted Definitive Note for a beneficial interest in an Unrestricted Global Note, the Owner hereby certifies (i) the beneficial interest is


 
C-2 being acquired for the Owner’s own account without transfer, (ii) such Exchange has been effected in compliance with the transfer restrictions applicable to Restricted Definitive Notes and pursuant to and in accordance with the Securities Act, (iii) the restrictions on transfer contained in the Indenture and the Private Placement Legend are not required in order to maintain compliance with the Securities Act and (iv) the beneficial interest is being acquired in compliance with any applicable blue sky securities laws of any state of the United States. (d)  Check if Exchange is from Restricted Definitive Note to Unrestricted Definitive Note. In connection with the Owner’s Exchange of a Restricted Definitive Note for an Unrestricted Definitive Note, the Owner hereby certifies (i) the Unrestricted Definitive Note is being acquired for the Owner’s own account without transfer, (ii) such Exchange has been effected in compliance with the transfer restrictions applicable to Restricted Definitive Notes and pursuant to and in accordance with the Securities Act, (iii) the restrictions on transfer contained in the Indenture and the Private Placement Legend are not required in order to maintain compliance with the Securities Act and (iv) the Unrestricted Definitive Note is being acquired in compliance with any applicable blue sky securities laws of any state of the United States. 2. Exchange of Restricted Definitive Notes or Beneficial Interests in Restricted Global Notes for Restricted Definitive Notes or Beneficial Interests in Restricted Global Notes (a)  Check if Exchange is from beneficial interest in a Restricted Global Note to Restricted Definitive Note. In connection with the Exchange of the Owner’s beneficial interest in a Restricted Global Note for a Restricted Definitive Note with an equal principal amount, the Owner hereby certifies that the Restricted Definitive Note is being acquired for the Owner’s own account without transfer. Upon consummation of the proposed Exchange in accordance with the terms of the Indenture, the Restricted Definitive Note issued will continue to be subject to the restrictions on transfer enumerated in the Private Placement Legend printed on the Restricted Definitive Note and in the Indenture and the Securities Act. (b)  Check if Exchange is from Restricted Definitive Note to beneficial interest in a Restricted Global Note. In connection with the Exchange of the Owner’s Restricted Definitive Note for a beneficial interest in the [CHECK ONE]  144A Global Note,  Regulation S Global Note,  IAI Global Note with an equal principal amount, the Owner hereby certifies (i) the beneficial interest is being acquired for the Owner’s own account without transfer and (ii) such Exchange has been effected in compliance with the transfer restrictions applicable to the Restricted Global Notes and pursuant to and in accordance with the Securities Act, and in compliance with any applicable blue sky securities laws of any state of the United States. Upon consummation of the proposed Exchange in accordance with the terms of the Indenture, the beneficial interest issued will be subject to the restrictions on transfer enumerated in the Private Placement Legend printed on the relevant Restricted Global Note and in the Indenture and the Securities Act. This certificate and the statements contained herein are made for your benefit. [Insert Name of Transferor] By: Name: Title: Dated: ______________________


 
EXHIBIT D D-1 FORM OF CERTIFICATE FROM ACQUIRING INSTITUTIONAL ACCREDITED INVESTOR Kodiak Gas Services, Inc. 9950 Woodloch Forest Dr., 19th Floor Woodlands, Texas 77380 Attention: General Counsel U.S. Bank Trust Company, National Association 1255 Corporate Drive, 6th Floor Irving, Texas 75038 Attention: Kodiak Gas Services, Inc. Administrator Re: 5.875% Senior Notes due 2031 Reference is hereby made to the Indenture, dated as of March 20, 2026 (the “Indenture”), among Kodiak Gas Services, LLC, a Delaware limited liability company (the “Issuer”), the Guarantors party thereto and U.S. Bank Trust Company, National Association, as trustee. Capitalized terms used but not defined herein shall have the meanings given to them in the Indenture. In connection with our proposed purchase of $____________ aggregate principal amount of: (a)  a beneficial interest in a Global Note, or (b)  a Definitive Note, we confirm that: 1. We understand that any subsequent transfer of the Notes or any interest therein is subject to certain restrictions and conditions set forth in the Indenture and the undersigned agrees to be bound by, and not to resell, pledge or otherwise transfer the Notes or any interest therein except in compliance with, such restrictions and conditions and the Securities Act of 1933, as amended (the “Securities Act”). 2. We understand that the offer and sale of the Notes have not been registered under the Securities Act, and that the Notes and any interest therein may not be offered or sold except as permitted in the following sentence. We agree, on our own behalf and on behalf of any accounts for which we are acting as hereinafter stated, that if we should sell the Notes or any interest therein, we will do so only (A) to the Issuer or any subsidiary thereof, (B) in accordance with Rule 144A under the Securities Act to a “qualified institutional buyer” (as defined therein), (C) to an institutional “accredited investor” (as defined below) that, prior to such transfer, furnishes (or has furnished on its behalf by a U.S. broker-dealer) to you and to the Issuer a signed letter substantially in the form of this letter and, if such transfer is in respect of a principal amount of Notes at the time of transfer of less than $250,000, an Opinion of Counsel in form reasonably acceptable to the Issuer to the effect that such transfer is in compliance with the Securities Act, (D) outside the United States in accordance with Rule 904 of Regulation S under the Securities Act, (E) pursuant to the provisions of Rule 144 under the Securities Act or (F) pursuant to an effective registration statement under the Securities Act, and we further agree to provide to any Person purchasing the Definitive Note or beneficial interest in a Global Note from us in a transaction meeting the requirements of clauses (A) through (E) of this paragraph a notice advising such purchaser that resales thereof are restricted as stated herein.


 
D-2 3. We understand that, on any proposed resale of the Notes or beneficial interest therein, we will be required to furnish to you such certifications, legal opinions and other information as you may reasonably require to confirm that the proposed sale complies with the foregoing restrictions. We further understand that the Notes purchased by us will bear a legend to the foregoing effect. 4. We are an institutional “accredited investor” (as defined in Rule 501(a)(1), (2), (3) or (7) of Regulation D under the Securities Act) and have such knowledge and experience in financial and business matters as to be capable of evaluating the merits and risks of our investment in the Notes, and we and any accounts for which we are acting are each able to bear the economic risk of our or its investment. 5. We are acquiring the Notes or beneficial interest therein purchased by us for our own account or for one or more accounts (each of which is an institutional “accredited investor”) as to each of which we exercise sole investment discretion. You are entitled to rely upon this letter and are irrevocably authorized to produce this letter or a copy hereof to any interested party in any administrative or legal proceedings or official inquiry with respect to the matters covered hereby. [Insert Name of Accredited Investor] By: Name: Title: Dated: _______________________


 
EXHIBIT E E-1 FORM OF NOTATION OF GUARANTEE For value received, each Guarantor (which term includes any successor Person under the Indenture) has, jointly and severally, unconditionally Guaranteed, to the extent set forth in the Indenture and subject to the provisions in the Indenture dated as of March 20, 2026 (the “Indenture”), among Kodiak Gas Services, LLC, a Delaware limited liability company (the “Issuer”), the Guarantors and U.S. Bank Trust Company, National Association, as trustee (the “Trustee”), (a) the due and punctual payment of the principal of, premium on, if any, and interest on, the Notes, whether at stated maturity, by acceleration, redemption or otherwise, the due and punctual payment of interest on overdue principal of, premium on, if any, and interest on, the Notes, if lawful, and the due and punctual performance of all other obligations of the Issuer to the Holders or the Trustee all in accordance with the terms of the Indenture and (b) in case of any extension of time of payment or renewal of any Notes or any of such other obligations, that the same will be promptly paid in full when due or performed in accordance with the terms of the extension or renewal, whether at stated maturity, by acceleration or otherwise. The obligations of the Guarantors to the Holders of Notes and to the Trustee pursuant to the Note Guarantee and the Indenture are expressly set forth in Article 10 of the Indenture and reference is hereby made to the Indenture for the precise terms of the Note Guarantee. Capitalized terms used but not defined herein have the meanings given to them in the Indenture. [NAME OF GUARANTOR(S)] By: Name: Title:


 
EXHIBIT F F-1 FORM OF SUPPLEMENTAL INDENTURE TO BE DELIVERED BY SUBSEQUENT GUARANTORS SUPPLEMENTAL INDENTURE (this “Supplemental Indenture”), dated as of ________________, is among __________________ (the “Guaranteeing Subsidiary”), a subsidiary of Kodiak Gas Service, LLC, a Delaware limited liability company (the “Issuer”), Kodiak Gas Services, Inc., a Delaware corporation (the “Parent”), the other Guarantors (as defined in the Indenture referred to herein) and U.S. Bank Trust Company, National Association, as trustee under the Indenture referred to below (the “Trustee”). W I T N E S S E T H: WHEREAS, the Issuer has heretofore executed and delivered to the Trustee an indenture (the “Indenture”), dated as of March 20, 2026 providing for the issuance of 5.875% Senior Notes due 2031 (the “Notes”); WHEREAS, the Indenture provides that under certain circumstances the Guaranteeing Subsidiary shall execute and deliver to the Trustee a supplemental indenture pursuant to which the Guaranteeing Subsidiary shall unconditionally Guarantee all of the Issuer’s Obligations under the Notes and the Indenture on the terms and conditions set forth herein (the “Note Guarantee”); and WHEREAS, pursuant to Section 9.01 of the Indenture, the Trustee is authorized to execute and deliver this Supplemental Indenture. NOW, THEREFORE, in consideration of the foregoing and for other good and valuable consideration, the receipt of which is hereby acknowledged, the parties hereto mutually covenant and agree for the equal and ratable benefit of the Holders of the Notes as follows: 1. CAPITALIZED TERMS. Capitalized terms used herein without definition shall have the meanings assigned to them in the Indenture. 2. AGREEMENT TO GUARANTEE. The Guaranteeing Subsidiary hereby unconditionally Guarantees all of the Issuer’s Obligations under the Notes and the Indenture on the terms and subject to the conditions set forth in the Indenture including but not limited to Article 10 thereof. 3. NO RECOURSE AGAINST OTHERS. No director, officer, partner, employee, incorporator, manager or unitholder or other owner of Capital Stock of the Issuer or any Guarantor, as such, will have any liability for any obligations of the Issuer or the Guarantors under the Notes, the Indenture or the Note Guarantees or for any claim based on, in respect of, or by reason of, such obligations or their creation. Each Holder of Notes by accepting a Note waives and releases all such liability. The waiver and release are part of the consideration for issuance of the Notes. 4. NEW YORK LAW TO GOVERN. THE LAW OF THE STATE OF NEW YORK SHALL GOVERN AND BE USED TO CONSTRUE THIS SUPPLEMENTAL INDENTURE. 5. COUNTERPARTS. The parties may sign any number of copies of this Supplemental Indenture. Each signed copy shall be an original, but all of them together represent the same agreement. 6. EFFECT OF HEADINGS. The Section headings herein are for convenience only and shall not affect the construction hereof.


 
F-2 7. THE TRUSTEE. The Trustee shall not be responsible in any manner whatsoever for or in respect of the validity or sufficiency of this Supplemental Indenture or for or in respect of the recitals contained herein, all of which recitals are made solely by the Guaranteeing Subsidiary, the other Guarantors and the Issuer.


 
F-3 IN WITNESS WHEREOF, the parties hereto have caused this Supplemental Indenture to be duly executed and attested, all as of the date first above written. Dated: _______________ [GUARANTEEING SUBSIDIARY] By: Name: Title: KODIAK GAS SERVICES, LLC By: Name: John Griggs Title: Executive Vice President and Chief Financial Officer KODIAK GAS SERVICES, INC. By: Name: John Griggs Title: Executive Vice President and Chief Financial Officer CSI COMPRESSCO SUB INC. SPARTAN ENERGY SERVICES LLC By: Name: John Griggs Title: Executive Vice President and Chief Financial Officer [OTHER EXISTING GUARANTORS] By: Name: Title: U.S. BANK TRUST COMPANY, NATIONAL ASSOCIATION, as Trustee By: Authorized Signatory